Материал: Изучение оптических и структурных свойств пигментов печатных красок

Внимание! Если размещение файла нарушает Ваши авторские права, то обязательно сообщите нам

При оценке свойств пигмента для печатных красок твepдocть или жесткость ого имеет существенное значение. Твердость пигмента затрудняет его растирание со связующим веществом для получения краски. Твердые частицы пигмента могут также царапать и шлифовать печатную форму и приводить ее в негодность раньше времени, действуя как абразивные материалы.

Чем меньше твердость вещества, тем меньше энергии и времени требуется для его размалывания и растирания. Чем меньше сопротивление вещества на раздавливание и на растяжение, тем выше степень измельчения, или дисперсности.

При растирании происходит не столько раздробление крупных частиц, сколько разделение агрегатов и более равномерное распределение твердых частиц в жидкой фазе связующего вещества.

Для печатных красок необходимо выбирать наиболее мягкие пигменты.

.3 Маслоемкость пигментов

Под маслоемкостью в обычном смысле этого слова, или маслоемкостью 1-го рода, понимают минимальное количество масла, которое необходимо прибавить к порошкообразному пигменту, чтобы получить из него пластичную массу (пасту) в форме шарика, не прилипающую к гладкой поверхности, например к поверхности фарфора. При недостаточном количестве масла образуется рассыпающаяся масса; при избытке масла получается не пластичная масса, а полужидкий или даже текучий продукт. Маслоемкость пигмента выражается процентным отношением веса израсходованного масла к весу взятого пигмента.

Под маслоемкостью 2-гo рода понимают то количество масла, с которым нужно смешать и растереть (диспергировать) пигмент, чтобы получить краску, пригодную по структурно-механическим свойствам (упруго-вязкие и др.) к употреблению. Следовательно, можно говорить о «минимальной» и «оптимальной» маслоемкости для одного и того же пигмента. Несмотря на различное содержание этого понятия, маслоемкость имеет громадное практическое значение в техническом и экономическом отношении, так как является пока еще единственным надежным методом установления количественного соотношения между пигментом и связующим при изготовлении печатных красок различного назначения. Маслоемкость выражает потребность пигмента в определенном количестве жидкой дисперсионной среды, необходимом для образования краски с определенными пластично-вязкими свойствами. Чаще всего в качестве дисперсионной среды при лабораторных испытаниях служит масло, а поэтому слово «маслоемкость» прочно вошло в практику. В понятие «жидкоемкость » можно включить и потребность пигмента в других жидких дисперсионных средах, имея в виду, что числовые значения этой величины для каждой дисперсионной среды будут различны.

Свойства краски определяются природой входящих в ее состав пигментов. Изменения соотношений компонентов в краске будут вызывать колебания ее свойств, причем для каждого пигмента характер этих колебаний будет индивидуален.

Все виды маслоемкости являются специфичными, характерными для каждого пигмента. Следовательно, химическая природа пигмента, его строение - это главные факторы, обусловливающие данное явление.

Маслоемкость можно рассматривать, как способность пигмента связывать дисперсионную жидкость.

В основе явления маслоемкости, несомненно, лежат такие процессы, как адсорбция и смачивание, связанные с поверхностным натяжением пигмента и дисперсионной среды. Адсорбция определяется природой адсорбента и свойства, связанные адсорбцией (маслоемкость, растир и стойкость краски), определяются природой пигмента.[1]

.4 Химические свойства пигментов для печатных красок

Пигменты представляют собой твердые, нерастворимые соединения, и изучение их химических превращений и свойств относится к области химии твердых тел.

В твердых телах имеют место явления диффузии. С повышением температуры диффузия усиливается, в известном температурном интервале может начаться химическая реакция, если имеется смесь порошкообразных веществ, способных реагировать между собой. При этой температуре, вследствие усиленной диффузии, частицы кристаллов подходят друг к другу на ближайшие атомные расстояния.

Особенностью химических реакций в твердом состоянии является то, что в зависимости от температуры реакция проходит несколько последовательных стадий.

Реакционная способность твердых веществ зависит от степени их дисперсности, от степени деформации, разрыхленности и от всяких дефектов кристаллической решетки. Чем рыхлее структура твердого вещества, тем оно более реакционноспособно.

Химические свойства пигментов, как твердых веществ, определяются их химическим составом и структурой, как отдельных молекул (первичной модификации), так и агрегатов молекул (вторичной модификации).[1]

.5 Разновидности пигментов и их структурные формулы

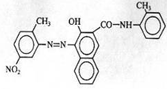
.5.1 Желтые пигменты Mono azo или arylide желтые цвета

Много желтых пигментов в настоящее время используется в производстве. Желтые пигменты правильно называют aceto-acetarylamides. Оттенки варьируются от зеленовато-желтого до ярко-теплого оттенка.

Пигменты непрозрачны, но есть некоторые сорта, которые достаточно прозрачны, чтобы быть подходящими для наложения, Arylide желтые цвета широко используются для их стойкости к свету, а также устойчивости к щелочам и мылу.желтые не так сильны, как Diarylide желтые, которые заменили их во многих областях применения в изготовлении красок. Доминированию Diarylides способствует тот факт, что arylalide желтые обладают худшими свойствами при печати.

Использование. Желтые цвета Arylide используются и в пасте и в жидких красках. Раньше они использовались при печати на литографских машинах. Они используются при печати упаковки моющих средств и мыла.

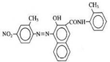
Структурные формулы


.5.2 Желтые цвета Diarylide

Diarylide желтые состоят из ряда пигментов на основе дихлорбензидина, варьируются от лимонного до золотистого оттенка и от непрозрачного к прозрачному. Желтые цвета Diarylide более широко используются чем Arylide желтые. Наиболее популярные пигменты приведены в таблице 1

Таблица 2.5.1 Цветовой индекс пигментов

Наименование

Оттенок

Прозрачность

Светостойкость

Diarylide AAA

Светло-красный

Прозрачный

Значительная

Diarylide AAMX

Зеленоватый

Прозрачный

Отличная

DiaryIidc AAOT

Зеленоватый

Непрозрачный

Хорошая

Diarylide AAOA

Желтовато-зеленый

Прозрачный

Отличная

Diarylide ADAPT

Средне-красный

Непрозрачный

Отличная

Diarylide AADMC

Красный

Непрозрачный

Прозрачный


Красочность этих пигментов значительно больше, чем в пигментах Arylide желтых. Диапазоны светостойкости от значительной до сверх отличной, стойки к значительному нагреву. Диапазон свойств Diarylide желтых цветов достаточен, чтобы удовлетворить большинству требований к краскам для большинства процессов печати.

Они могут использоваться в любой последовательности наложения цветов при печати.


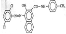
Таблица 2.5.2 Желтый пигмент

CI Пигмент

Вид

1 компонент

2 компонент

Желтый

Arylide Желтый 4R

О-хлоранилин

3-метил-1-фенил- 5-пиразолона


Тон - красный и наиболее светостойкий Аrylide желтый.

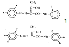
Таблица 2.5.3 Цветовой индекс пигментов

Пигмент

Компонент сцепления

Структурные варианты w x y z

AAA

Acetoacetanilide

-

-

-

-

AAMX

2.4-aceloacetoxylidide

CH3

-

CH3

-

AAOP

0-acto-aceto toluidide

CH3

-

-

-

AAOA

o-aceloacetanisidide

OCH3

-

-

-

AAPT

p-acetoacet-o-toluidide

-

-

CH3

-

AADMC

4-chloro-2'5'dimethoxyaceloacelanilide

-

OCH3

-

OCH


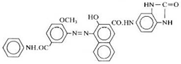
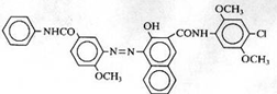
2.5.3 Желтые пигменты

Название пигмента

Структурная формула

Свойства

Использование

Желтые цвета оксида железа (CI Желтый пигмент)

Стойкий к химическим и погодным воздействиям. Многие сорта очень стойки к рассеиванию. Производители используют краски микронизированного класса. Они экономичны и непрозрачные.

Исключительная термостойкость делает их пригодными для использования в печатных поверхностях мебели и других поверхностях где требуется наименьшая токсичность.

Хромовые желтые цвета (CI Желтый пигмент)

Свинцовые хроматы формируют диапазон непрозрачных желтых пигментов, изменяющихся от легкого бледно-желтого оттенка до золотого апельсинового цвета. Они имеют высокий удельный вес.

Пригодными для использования в печатных поверхностях мебели.


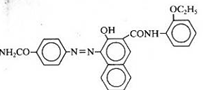
2.5.4 Красные пигменты

Структурная формула

Свойства

Использование

Бордовый FRR (F4R) (CI Красный пигмент)

Синий оттенок красных пигментов с высокой красочностью, оттенком и тоном, оттенок является немного бледным, но чрезвычайно синим. Данный пигмент обладает хорошими свойствами прочности, включая высокую устойчивость к мылу и моющим средствам.

Используется в упаковке краски..

Красный нафтол (CI Красный пигмент)

Средний красный оттенок, обладающий светостойкостью и термостойкостью.

Используется в упаковке краски. Стоимость и умеренная светостойкость ограничивает его использование.

Нафтол красный (светлый) (CI Красный пигмент)

Желтый с красным оттенком, обладающий светостойкостью и термостойкостью.

Используется в упаковке краски. Стоимость и умеренная светостойкость ограничивает его использование.

Розовый PMTA, Родамин 6D (CI Красный пигмент)

Значительный блеск розовых пигментов образуется путем объединения основных красителей с фосфорной, молибденовой и вольфрамовой кислот известный как тройкой солей (PMTA). Можно сочетать по отдельности молибденовую или вольфрамовую кислоты (PTA, PMA) с силикомарганцевой молибденовой кислотой (SM). Как правило, они известны как двойные соли. Двойные соли обычно более сильные и более дешевые, но имеют плохую светостойкость. Ни один не является стойким к щелочи или мылу, и все они с легкостью растворяются в спирте.

Он используется в качестве пурпурного в процессе печати с четырьмя цветами, и во всех типах красок, где наличие блеска является важным фактором. Они хорошо печатают и противостоят твердому парафину, но не лакированию и ламинированию. Устойчивые сорта доступны для систем, использующих жидкие краски.

Красный нафтол FGR (CI Красный пигмент)

Светлый, чистый, красного цвета, с голубоватым оттенком. Он имеет высокую прочность, красочность и высокую прозрачность. Имеет превосходную светостойкость и является стойким к кислотам, щелочам, воде и высоким температурам, но растворим в большинстве растворителей.

Используется во всех типах краски, особенно в более дешевых пигментах, к которым не требуются свойства сопротивления. Также используется для цвета телесного оттенка.

Квинакридон Пурпурный Y (CI Красный пигмент)

Ярко-синий красный оттенок, не растворяется в органических растворителях.

Благодаря слабой красочности и высокой цене, использование этого пигмента ограничивается. Он хорошо работает в большинстве систем подачи краски.

Нафтол пунцовый FBB (CI Красный пигмент)

Многоцелевая жидкость, паста, красного цвета с синим оттенком. У него есть превосходные свойства прочности, кроме некоторых органических растворителей.

Довольно дорогие, но используется там, где обязательны свойства прочности.

Медный Железоцианид Розовый (CI Красный пигмент)

Цвет подобен двойным и тройным солям (Розовый PMTA, Родамин 6D). Сопротивление свету, теплу и растворителям. Что намного сильнее, чем соли PMTA и имеет более высокое поглощение масла. Медный Железоцианид имеет плохое сопротивление кислотам и щелочам. Очень яркого цвета с сильным ярким сине-красным оттенком. Отличная светостойкость, устойчивость к мылу, воску, жиру, кислоте и щелочи.

Используется в качестве замены более дорогим солям PMTA. Как правило, она имеет яркий оттенок и отличные рабочие свойства. Обладает хорошей текучестью, и находит применение, там где требуются яркие оттенки.

Нафтол Красный F5RK (CI Красный пигмент)


Подходит для всех типов печатных красок практически в любой системе. Высокая стоимость ограничивает его использование.

Бензимидазолон Пунцовый HF 3C (CI Красный пигмент)

Очень яркий и прозрачный, сине-красного оттенка. Светостойкий, термостойкий, стойкий к кислотам, щелочам, жирам и мылу. Он широко используется для печати упаковки и металлических покрытих. Дорогой.

Краски поливинил-хлорида, алкидная эмаль смолы, лаки, используется там, где необходима высокая спецификация.