а |
б |
в |
г |
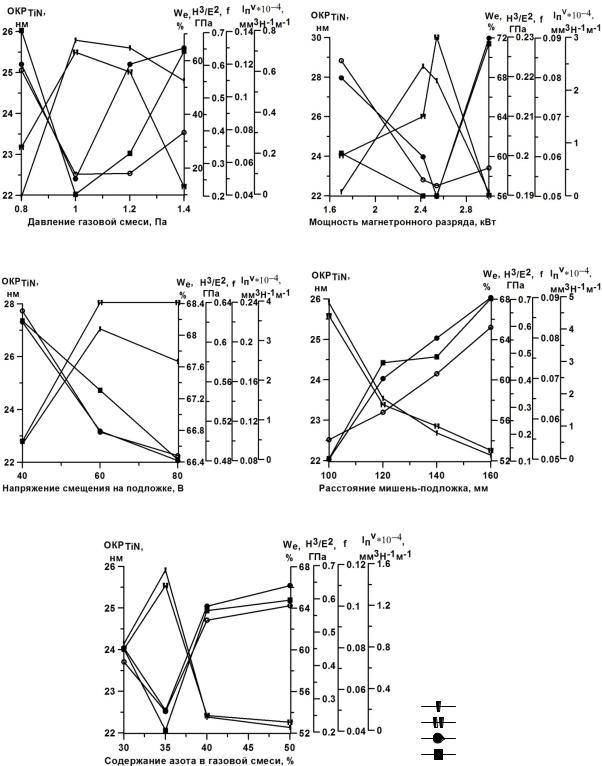
ОКР
We
Н3/Е2
f Iпv
д
Рис. 3.1. Зависимости физико-механических и трибологических свойств многослойных пленок на основе двухкомпонентныхTiN слоев от размера ОКР, изменяемого под действием ТехП МР: а) Р; б) N; в) Uсм; г) Р; д) N2
36
а |
б |
в |
г |
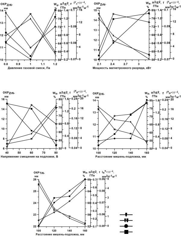
ОКР
We
Н3/Е2
f Iпv
д
Рис. 3.2. Зависимости физико-механических и трибологических свойств многослойных пленок на основе двухкомпонентных ZrN слоев от размера ОКР, изменяемого под действием ТехП МР: а) Р; б) N; в) Uсм; г) Р; д) N2
37

ОКРTiN
VTiN
ea f Iпv
а |
б |
в |
г |
Рис. 3.3. Зависимости физико-механических (а, в, д, ж, и) и трибологических (б, г, е, з, к) свойств многослойных пленок на основе двухкомпонентных TiN слоев от размера ОКР, объемной доли и деформации КР c-TiN фазы, изменяемых
под действием ТехП ЭДИ: а, б) Р; в, г) Iд; д, е) Uсм; ж, з) L; и, к) N2 (см. также с. 39)
38
д |
е |
ж |
з |
и |
к |
Рис. 3.3. Окончание
39
а |
б |
в |
г |
ОКР
We
Н3/Е2
f Iпv
д
Рис. 3.4. Зависимости физико-механических и трибологических свойств многослойных пленок на основе двухкомпонентных ZrN слоев от размера ОКР, объемной доли и деформации КР c-ZrN фазы, изменяемых под действием ТехП ЭДИ:
а) Р; б) Iд; в) Uсм; г) Р; д) N2
40