Материал: Исследование свойств кофеина и его содержания в продуктах

Внимание! Если размещение файла нарушает Ваши авторские права, то обязательно сообщите нам

Исследование свойств кофеина и его содержания в продуктах

СОДЕРЖАНИЕ

Введение

.        Теоретическая часть

.1.      История открытия кофеина, описание, свойства, получение, хранение и применение

.2.      Токсикологическое значение кофеина

.3       Метаболизм и изолирование кофеина

.4       Анализ кофеина

.4.1    Качественный

.4.2    Количественный

.        Практическая часть

.1       Анкета опроса потребления продуктов с кофеином

.2       Подготовка продуктов для анализа на кофеин

.3       Методика количественного определения кофеина методом йодометрического титрования

.        Результаты и их обсуждение

.1       Анкетирование потребления продуктов с кофеином

.2       Количественное определение кофеина методом йодометрического титрования

Заключение

Список литературы

Введение

Алкалоид кофеин (1,3,7-триметилксантин) содержится в листьях чая, зернах кофе, орехах кола, гуаране, широко используется в качестве пищевых добавок, входит в состав многих энергетических напитков. Он применяется при заболеваниях, сопровождающихся угнетением центральной нервной и сердечно-сосудистой системы, для повышения психической и физической работоспособности, уменьшения усталости и сонливости, понижает агрегацию тромбоцитов.

Кофеинсодержащие напитки находят широкое применение, в то же время границы диапазонов лечебной и токсической концентрации этого препарата близки, в связи с чем возникает актуальность необходимости контроля за содержанием кофеина в растительном сырье и пищевых продуктах.

Целью данной работы является: исследование свойств кофеина и его содержания в продуктах, наиболее часто употребляемых жителями Нижнего Новгорода.

Для осуществления цели данной работы были поставлены следующие задачи:

) Провести анализ литературы по данной теме, рассмотреть свойства, строение, получение, токсикологическое значение, качественный и количественный анализ, хранение и применение кофеина;

) Осуществить опрос, применяя метод анкетирования, жителей Нижнего Новгорода, для определения наиболее употребляемых продуктов содержащих кофеин;

) Провести количественное определение кофеина в продуктах наиболее употребляемыми жителями Нижнего Новгорода.

.       
Теоретическая часть

1.1 История открытия кофеина, описание, свойства, получение, хранение и применение

Кофеин

Coffeinum

,3,7-Триметилксантин

C8H10N4O2·H2O М.м. 212.21

Кофеин открыт впервые Рунге в 1819 г. Он содержится (до 2%) в зернах кофе (Cojfea arabica L.) семейство мареновых - Rubiaceae, листьях чая (Thea sinensis L.), семейство чайных - Theaceae и в других растениях. В небольших количествах в чае содержится теофиллин, который был открыт Косселем в 1889 г. Теобромин впервые изучен русским ученым А.А.Воскресенским в 1842 г, а в 1889 г был выделен из зерен кофе и чайных листьев [1].

Представляет собой белые, шелковистые игольчатые кристаллы или белый кристаллический порошок горьковатого вкуса, без запаха, выветривающийся на воздухе, медленно растворим в 60 частях холодной воды, легко растворим в горячей воде и хлороформе, трудно растворим в спирте, очень мало растворим в эфире. Температура плавления 234-237º.

Природным источником получения пуриновых алкалоидов служат отходы чайной промышленности (чайная пыль, обрезки листьев и т.д.), содержащие 1-3% кофеина; бобы какао, в которых находится 1,5-2% теобромина [2].

Известно несколько способов получения кофеина. Один из них основан на противоточной экстракции. Водный экстракт очищают от примесей, осаждают балластные вещества с помощью солей свинца, кальция, магния. Фильтрат затем выпаривают. Перекристаллизацию кофеина производят из охлажденных водных растворов. Аналогичным способом выделяют из бобов какао теобромин либо в виде основания, либо в виде кальциевой соли (растворимой в воде).

Значительно больший выход дает способ получения кофеина, разработанный в 1952 г. Н.А.Измайловым, Ю.В.Шостенко, В.Д.Безуглым. Он основан на адсорбции кофеина из водных растворов с последующей десорбцией хлороформом или дихлорэтаном.

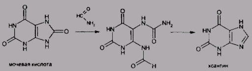
Синтетические способы получения пуриновых алкалоидов отличаются более высокой экономичностью и доступностью исходного сырья. Таким сырьем является мочевая кислота, которую предварительно синтезируют термической конденсацией двух молекул мочевины с ацеталем (110°С) или извлекают водой из экскрементов птиц (гуано), где ее количество достигает 25%. Кофеин и теобромин синтезируют после предварительного получения ксантина из мочевой кислоты действием формамида:


Ксантин затем метилируют диметилсульфатом. В зависимости от условий метилирования получают кофеин или теобромин:


Кофеин получается, если метилирование выполняют при рН 8,0-9,0, а теобромин - в присутствии гидроксида калия и метанола при 60-70° С.

Хранение.

Список Б. В хорошо укупоренной таре.

Применение.

Стимулятор центральной нервной системы и кардиотоническое средство. Кофеин производит непосредственное и прямое возбуждение различных отделов центральной нервной системы, увеличивает работоспособность поперечнополосатых мышц, является сильным мочегонным средством, повышает возбудимость и силу сердечной мышцы. Назначается внутрь в порошках, пилюлях и таблетках. Препараты: «Кофетамин», «Кофицил», «Цитрамон» и др [3-4].

Высшая разовая доза внутрь - 0,3 г.

Высшая суточная доза внутрь-1,0 г.

1.2 Токсикологическое значение кофеина

Главной особенностью кофеина как лекарственного препарата является его возбуждающее влияние на ЦНС. Кофеин содержится в листьях чая (Thea sinensis, Camellia sinensis, семейство Theaceae), орехах кола (Cola nitida, Cola acuminata, семейство Sterculiaceae), в зернах кофейного дерева (Cojfea arabica, семейство Rubiaceae).

В медицинской практике используют кофеин и кофеин-бензоат натрия. Применяют препараты внутрь 2-3 раза в день по 0,05-0,1 г в качестве стимулятора ЦНС, кардио- тонического средства, при спазмах сосудов. Для инъекций кофеин используют в виде кофеин-бензоата натрия.

Токсикомании, связанные со злоупотреблением стимуляторов ЦНС, имеют общие черты с наркоманиями амфетаминовош ряда и эфедроновой наркоманией, но протекают мягче и без тяжелых последствий. Острая интоксикация вызывает эйфорию, ощущение бодрости, прилива сил, ясности мышления, стремление к активной деятельности. Для достижения желаемого эффекта требуется постоянно увеличивать дозу. Это приводит к резкому возрастанию толерантности. В результате прием кофеина может достигать 100-200 таблеток в сутки. Длительный прием истощает организм, ощущается разбитость, усталость, повышенная сонливость, вялость, фон настроения снижен, возникают мысли суицидального характера. Одновременно отмечается стойкая бессонница, что влечет наркомана к приему снотворных.

Хроническая интоксикация крепко заваренным чаем носит название «чифиризма». Чифирь - заварка чая, при которой 50 г чая настаивают с 200-300 мл горячей воды.

Для острых отравлений кофеином (чаще всего детей) характерно поражение желудочно-кишечного тракта, возбуждение ЦНС. За счет сильной стимуляции желудочной секреции возникает боль в эпигастрии, чувство жжения, иногда рвота. Артериальное давление падает, наблюдаются эпилептоидные и клонико-тонические судороги. Смерть наступает в течение 1-2 ч после отравления.

Патологоморфологическая картина при вскрытии погибших неспецифична. Отмечают увеличение массы и объема органов за счет сосудорасширяющего действия, резкий отек легких, головного мозга и его оболочек [5].

1.3 Метаболизм и изолирование кофеина

Для кофеина характерна 1 фаза метаболизма, включающая деметилирование и окисление.


Окислению подвергаются продукты деметилирования.


Кофеин обладает слабыми основными свойствами (рКа=0,6). Устойчивых солей кофеин не образует.

При изолировании из биологических объектов общими методами (Стаса-Отто, Васильевой) кофеин экстрагируется хлороформом из растворов с рН=2 [6].

1.4     Анализ кофеина

1.4.1  Качественный

При осторожном прибавлении к раствору кофеина (1:1000) раствора танина образуется обильный осадок, растворимый в избытке реактива.

Водный раствор препарата не должен давать осадка или помутнения от 0,1 н. раствора йода, а при добавлении нескольких капель разведенной соляной кислоты образуется бурый осадок, растворимый в избытке щелочи.


Мурексидная проба: к 0,01 г кофеина прибавляют в фарфоровой чашке 10 капель пергидроля и10 капель разведенной соляной кислоты. Смесь выпаривают на водяной бане досуха; остаток желтого или красного цвета смачивают 1-2 каплями раствора аммиака - образуется пурпурно-красное окрашивание.

Она основана на разрушении молекулы пурина при нагревании с окислителем (пероксидом водорода, бромной водой, азотной кислотой и т.д.) до образования смеси метилированных производных аллоксана и диалуровой кислоты. Взаимодействуя между собой, они образуют метилированные производные аллоксантина, которые под действием избытка раствора аммиака приобретают пурпурно-красное окрашивание. Окраска обусловлена появлением аммонийной соли тетраметилпурпуровой кислоты.


При проведении ТСХ-скрининга кофеин на пластинках фиксируется реактивом Драгендорфа в виде оранжевого пятна.

При использовании в процессе аналитического скрининга осадительных реактивов кофеин образует аморфные осадки с большинством из них.

Для обнаружения кофеина используют цветные, микрокристаллоскопические реакции, хроматографию в тонком слое сорбента, УФ-спектрофотометрию, ИК-спектроскопию, ГЖХ и ВЭЖХ.

Обнаружение кофеина с помощью ТСХ проводят на пластинках «Силуфол УФ-254» со слоем силикагеля. Хроматографируют в системе растворителей хлороформ - ацетон (9:1) или толуол - ацетон - этанол - 25% раствор аммиака (45:45:7,5:2,5).

Сухой остаток растворяют в 3-4 каплях хлороформа, наносят на стартовую линию хроматографической пластинки. Рядом наносят «стандарт» (8-10 мкг) - раствор кофеина. Пластинку после окончания хроматографирования высушивают и обрабатывают реактивом Драгендорфа - образующиеся оранжевые пятна по цвету и значению Rf должны быть идентичны пятну «стандарта» (Rf для кофеина в первой системе растворителей составляет 0,25±0,02, во второй - 0,65±0,02).

Реакция с хлоридом pmymu(II). На сухой остаток на предметном стекле наносят каплю 5% раствора хлорида ртути(II). Через 10-15 мин наблюдают образование крупных шелковистых бесцветных иглообразных кристаллов. Осадок представляет собой комплексное соединение состава C8Hl0N4O2∙HgCl2 (рис. 1).

Рис. 1. Кристаллы кофеина с хлоридом ртути(II)

Реакция с золотобромоводородной кислотой. На сухой остаток на предметном стекле наносят каплю реактива, состоящего из 5% раствора хлорида золота, концентрированной хлороводородной кислоты и ацетона (1:1:1). К образовавшемуся осадку добавляют несколько кристаллов бромида калия - осадок окрашивается в оранжево-красный цвет. При рассматривании осадка под микроскопом наблюдают крупные желтовато-коричневые и бесцветные иглы (рис. 2).

Рис. 2. Кристаллы кофеина с золотобромоводородной кислотой

Обнаружение кофеина по УФ- и ИК-спектрам. Часть остатка растворяют в этиловом спирте или в 0,1 М растворе хлороводородной кислоты и регистрируют спектр поглощения полученного раствора. Спектр кофеина имеет полосу поглощения с максимумом при 272-273 нм.

Часть остатка растирают с бромидом калия, прессуют, помещают полученный диск в прибор и регистрируют ИК-спектр. При наличии в остатке кофеина обнаруживаются основные характеристические полосы при 1695, 1658 и 745 см-1.

Высокоэффективная жидкостная хроматография. Исследование рекомендовано проводить на жидкостном хроматографе «Милихром А-02» производства ЗАО «ЭкоНова». Методика основана на градиентном хроматографировании анализируемого соединения в строго стандартных условиях с детектированием при 4-5 длинах волн. Для идентификации пиков на хроматограмме определяют время удерживания вещества и спектральные отношения (табл. 1).

Таблица 1.

Хроматографические характеристики кофеина

Вещество

Время удерживания, мин

Спектральные отношения r=a1/a210



220

240

250

280

Кофеин

7,25

0,443

0,156

0,158

0,390


Газожидкостная хроматография. Для анализа используют газожидкостный хроматограф «Кристалл-2000М» с кварцевой капиллярной колонкой и неподвижной жидкой фазой НР-5. Детектор пламенно-ионизационный. Газ-носитель - азот, давление - 110 кПа, деление потока - 1:15, расход водорода - 20 мл/мин, воздуха - 200 мл/мин, температура детектора - 300°С, испарителя - 250°С, колонки - 220°С. Время анализа - 20 мин. Объем вводимой пробы - 0,5-1 мкл очищенных спиртовых растворов остатков, полученных при испарении хлороформных экстрактов из биологических объектов. Одновременно в хроматограф вводят спиртовые растворы в том же объеме веществ-«реперов», которые позволяют идентифицировать исследуемые вещества без применения стандартов, используя справочные данные. Для обнаружения ядовитого вещества в исследуемой пробе фиксируют время удерживания определяемого соединения и логарифмический индекс удерживания (для кофеина он равен 2232) [7].

1.4.2  Количественный

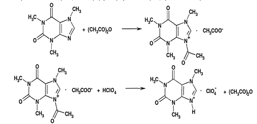
Кофеин в водных растворах проявляет очень слабые основные свойства, практически его растворы имеют нейтральную реакцию. С минеральными кислотами кофеин солей не образует (они сразу же гидролизуются). Поэтому метод нейтрализации в водных растворах для кофеина неприменим. В неводной среде (хлороформ, уксусный ангидрид, бензол) кофеин проявляет выраженные основные свойства и его можно оттитровать хлорной кислотой (индикатор кристаллический фиолетовый).

Метод неводного титрования. Прямое титрование.


ВАК (внутриаптечный контроль): йодометрический метод. Обратное титрование.

2 + 2Na2S2O3 = 2NaI + Na2S4O6

Кофеин, теобромин и теофиллин можно количественно определить цериметрическим методом. Избыток сульфата церия, используемого в качестве титранта, при нагревании окисляет их в кислой среде до образования аллоксанов (1,3-диметилаллоксан образуется при окислении кофеина, 3-метилаллоксан - при окислении теобромина). На примере кофеина процесс можно представить следующим образом: