МИНИСТЕРСТВО ОБРАЗОВАНИЯ И НАУКИ РОССИЙСКОЙ ФЕДЕРАЦИИ
ФЕДЕРАЛЬНОЕ ГОСУДАРСТВЕННОЕ БЮДЖЕТНОЕ
ОБРАЗОВАТЕЛЬНОЕ УЧРЕЖДЕНИЕ
ВЫСШЕГО ПРОФЕССИОНАЛЬНОГО ОБРАЗОВАНИЯ
«ТЮМЕНСКИЙ ГОСУДАРСТВЕННЫЙ НЕФТЕГАЗОВЫЙ
УНИВЕРСИТЕТ»
ИНСТИТУТ ПРОМЫШЛЕННЫХ ТЕХНОЛОГИЙ И ИНЖИНИРИНГА
Кафедра физики, методов контроля и
диагностики
ПОЯСНИТЕЛЬНАЯ ЗАПИСКА
к бакалаврской работе
ИССЛЕДОВАНИЕ МАГНИТОУПРУГИХ СВОЙСТВ
ФЕРРОМАГНЕТИКОВ
НОРМОКОНТРОЛЕР: доцент, к.ф-м.н.
Федоров Б.В. РУКОВОДИТЕЛЬ:
профессор, д.п.н. Казаков Р.Х.
РАЗРАБОТЧИК:
студент группы ПМКб-11-1
Еганов В.А.
Бакалаврская работа защищена с оценкой ___________
Тюмень, 2015
РЕФЕРАТ
Ключевые слова: магнитоупругий эффект, эффект Виллари, ферромагнетик, лабораторная работа, акустическая волна, магнитное поле.
Целью данной работы является обнаружение магнитоупругого эффекта при воздействии на феррит акустической волны при отсутствии и наличии внешнего постоянного магнитного поля, исследование изменения магнитоупругого эффекта при изменении величины напряженности внешнего магнитного поля, создание лабораторной работы и методических указаний.
В ходе эксперимента наблюдали магнитоупругий эффект в синусоидальном акустическом поле при резонансных частотах для выбранного ферромагнетика. Резонансными являлись частоты 84,4; 98,2; 111,960 кГц. Магнитоупругий эффект проявляется в том, что в продольной акустической волне в ферромагнетике возникает ЭДС индукции. Магнитоупругий эффект наблюдался и при отсутствии внешнего магнитного поля.
При помещении ферромагнетика в постоянное магнитное поле наблюдаем увеличение амплитуды ЭДС индукции в поле акустической волны в ферромагнетике, т.е. с ростом внешнего постоянного магнитного поля ЭДС индукции растет. Данный эффект обусловлен ростом намагниченности ферромагнетика во внешнем магнитном поле.
На основе эксперимента разработана лабораторная работа и методические
указания «Исследование магнитоупругих свойств ферромагнетиков» для студентов
направления «Приборостроение».
ABSTRACT
: magnetoelastic effect, the effect of Villari,
ferromagnetic, laboratory work, sound wave, magnetic field.aim of this work is
the detection of the magnetoelastic effect when exposed to the ferrite acoustic
wave in the absence and the presence of an external constant magnetic field,
the study of the change of the magnetoelastic effect in the change in the
magnitude of the magnetic field strength, the establishment of the laboratory
work and guidelines.the experiment, the observed magneto-elastic effect in a
sinusoidal acoustic field at resonance frequencies for a selected ferromagnetic
me. The resonant frequency was 84,4; 98,2; 111,960 kHz. Magnetoelastic effect
is manifested in the fact that the longitudinal acoustic wave in the
ferromagnetic induction EMF appears. Magnetoelastic effect was observed in the
absence of an external magnetic field.the ferromagnet in a constant magnetic
field the observed increase of the amplitude of the induced EMF in the field of
acoustic waves in a ferromagnet, i.e. with the growth of the external constant
magnetic field the induced EMF increases. This effect is due to the growth of
the magnetization of a ferromagnet in an external magnetic field.the basis of
an experiment designed laboratory work and guidelines "study of the
magnetoelastic properties of ferromagnetic materials" for students of direction
"Instrumentation".
СОДЕРЖАНИЕ
ВВЕДЕНИЕ
ЛИТЕРАТУРНЫЙ ОБЗОР
.1 Магнитоупругие явления в ферромагнетиках
.2 Экспериментальные результаты испытаний механических характеристик ферромагнетиков
.2.1 Статические нагрузки
.2.2 Динамические нагрузки
ИССЛЕДОВАТЕЛЬСКАЯ ЧАСТЬ
.1 Описание установки. Результаты практической работы
.2 Обоснование результатов экспериментов
.3 Описание лабораторной работы
ЗАКЛЮЧЕНИЕ
Список использованных
источников
Магнитоупругий эффект (Эффект Виллари) - это изменение намагниченности ферромагнитного тела при деформации. Он является термодинамически обратным магнитострикции, и его иногда называют обратным магнитострикционным эффектом.
Магнитоупругий эффект проявляется в намагниченности ферромагнетика под действием механических напряжений. Известно, что кристаллиты ферромагнетика состоят из микроскопических областей размером (0,01 - 1) мм, намагниченных до насыщения - доменов. В каждом домене вектор намагниченности ориентирован вдоль (против) характерных для каждого кристалла направлений. Между доменами существует переходной слой, в котором вектора намагниченности атомов плавно изменяют свой направление от -1800 до +1800 (180 - градусные границы) или от 900 до -900 (90 - градусные границы). Для создания границы требуется избыточная энергия. Поэтому они чаще всего располагаются в местах искажения кристаллической решетки, немагнитных включений. Междоменные границы образуют в ферромагнетике подвижный пространственный каркас. У магнитомягких материалов, таких как железо, никель, их сплавы, ферриты, трансформаторная сталь, достаточно небольших полей или механических напряжений, чтобы заставить перемещаться междоменные границы (МДГ) и перестраивать доменную структуру. У магнитотвердых материалов, таких как кобальтовые стали, альнико, бариевые ферриты, SmCo5 , NdFeB и другие, из которых делаются постоянные магниты, требующие огромные поля, чтобы междоменные границы начали двигаться.
Под действием магнитного поля весь каркас границ приходит в движение и в результате домены с намагниченностью, ориентированной вдоль поля, увеличиваются в размерах за счет антипараллельных или поперечных доменов. В больших полях МДГ исчезают и материал намагничивается до насыщения.
Действие
механических напряжений деформирует кристаллическую решетку, изменяя энергию
доменов, которая называется магнитоупругой энергией ![]()
.
Так,
если ![]()
> 0 (растяжение),
то намагниченность стремится выстроиться вдоль напряжений, если (сжатие), то ![]()
< 0 и
намагниченность стремится выстроиться в поперечном направлении. Если к
остаточно намагниченному магнетику приложить механические напряжения, то они за
счет изменения магнитоупругой энергии будут «отрывать» МДГ от дефектов решетки,
выводить их из положения равновесия и приводить в движение. Таким образом, если
материал намагнитить, а затем нагрузить, то изменением своей намагниченности он
«запомнит» величину силы.
Объект исследования: магнитоупругое явление в феррите.
Предмет исследования: магнитоупругий эффект в ферритовом стержне под действием акустического поля килогерцового диапазона при помещении стержня в постоянное магнитное поле.
Цель и задачи исследования:
создать измерительную установку;
поставить цель обнаружить магнитоупругий эффект при воздействии на феррит акустической волны при отсутствии и наличии внешнего постоянного магнитного поля;
исследовать изменение магнитоупругого эффекта при изменении величины напряженности внешнего магнитного поля;
интерпретировать
полученные экспериментальные результаты.
1.1 Магнитоупругие явления в ферромагнетиках
Ферромагнетики. Явление магнитоупругого эффекта в ферромагнетиках.
Ферромагнетики - это вещества, обладающие спонтанной намагниченностью, то есть они сохраняют намагниченность при отсутствии внешнего магнитного поля. К ферромагнетикам относятся, например, кристаллы железа, никеля, кобальта. [5]
Ферромагнитные
свойства вещества существенно зависят от температуры. С повышением температуры
остаточная намагниченность ферромагнетика уменьшается. При достаточно высокой
температуре, называемой точкой Кюри, она исчезает полностью. При нагревании
выше точки Кюри ферромагнетик превращается в обычный парамагнетик
<#"866696.files/image003.gif"> <#"866696.files/image004.gif">
<#"866696.files/image005.gif">
,
имеющего направление, противоположное полю, вызвавшему намагничение.
Напряженность ![]()
называется
коэрцитивной силой. [1]
Магнитоупругий эффект - это изменение намагниченности ферромагнитного тела при деформации. Он является термодинамически обратным магнитострикции, и его иногда называют обратным магнитострикционным эффектом. Структурная схема магнитоупругого эффекта показана на рисунке. При воздействии на кристаллы ферромагнетика механических усилий на кристаллографическую анизотропию накладывается магнитоупругая анизотропия, вызванная дополнительным магнитным взаимодействием атомов вследствие искажения атомной решетки кристалла.
Энергия
магнитоупругой анизотропии зависит от вектора намагниченности насыщения ![]()
в
кристалле и создает дополнительные выгодные энергетические направления ![]()
областей
в решетке. Упругие напряжения, действующие на ферромагнетик, приводят к
изменению ориентации магнитных моментов доменов в решетке (без изменения
абсолютного значения вектора намагниченности насыщения ![]()
).
Это приводит к изменению намагниченности ферромагнетика. Магнитоупругая энергия непосредственно связана с магнитострикцией.
Устойчивые
направления![]()
областей
в ферромагнетике определяются минимальным значением магнитной энергии
кристалла, включающей в себя три составляющие: 1) энергию магнитной анизотропии
Wk; 2) магнитоупругую энергию Wd; 3) энергию внешнего магнитного поля WH. В
зависимости от вида упругой деформации намагниченность в различных
ферромагнитных материалах изменяется различно. Характер изменения зависит от
величины и знака магнитострикции материала.
Например, для случая сильных упругих растяжений, действующих в направлении
магнитного поля Н, намагниченность М может быть определена из выражения

, (1.1)
где
α
- численный коэффициент, равный ![]()
-
магнитострикция насыщения.
Магнитоупругий
эффект зависит от материала, величины и знака его магнитострикций, температуры
окружающей среды, упругой деформации и напряженности магнитного поля. Вокруг
образца существует магнитное поле. При положительной магнитострикции материала
направление результирующей намагниченности совпадает с направлением действия
силы и магнитного поля. При отрицательной магнитострикции материала направление
результирующей намагниченности перпендикулярно к направлению действия силы и
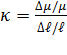
магнитного поля. Относительную чувствительность магнитоупругого материала можно
характеризовать, как и у тензорезисторов, коэффициентом тензочувствительности:

(1.2)
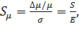
Магнитоупругие свойства материала характеризуются также относительной
магнитоупругой чувствительностью:

(1.3)
где Е - модуль упругости;
μ - магнитная проницаемость;
σ - внутреннее напряжение в материале.
Для одного и того же материала под действием механического напряжения
магнитная проницаемость в слабых полях может возрастать, в то время как в
сильных - падать.[6,7,8]
.2 Экспериментальные результаты испытаний механических характеристик
ферромагнетиков.
Целью механических испытаний ферритов является изучение деформаций образцов материалов при механических воздействиях и определение величин механических напряжений, вызывающих разрушение образцов. Механические свойства материалов - способность материалов сопротивляться деформированию и разрушению в сочетании со способностью упруго и пластически деформироваться под действием внешних механических сил.
Измерение механических характеристик различных материалов, в том числе ферритов, имеет большое практическое значение, так как при конструировании, сборке и эксплуатации различных аппаратов, приборов, волноводов и других устройств, детали, изготовленные из ферритов, могут подвергаться механическим усилиям, хотя иногда и кратковременным, но значительным по величине.
По отношению к действию механических нагрузок и по условиям, при которых происходит разрушение, можно все материалы разделить на пластичные и хрупкие. Если материал разрушается при весьма малых деформациях (2-3%), то его называют хрупким. Если же разрушение при растяжении происходит при значительных деформациях (20-30%), а при сжатии и вовсе не наступает, то такой материал называется пластичным.
По своим механическим свойствам в диапазоне рабочих температур (-100° до +125° С) ферриты относятся к хрупким материалам, так как деформации
при разрушении достигают порядка 0,03-0,2%.
Создание напряженного состояния материала во время испытаний должно по возможности соответствовать тем условиям, в которых находятся детали или образцы при эксплуатации. Поэтому испытания материалов подразделяют сообразно видам нагружения, которым подвергаются образцы в процессе исследования.
Основные виды механических испытаний ферритов следующие: 1) статические испытания на растяжение, сжатие, изгиб, кручение; 2) динамические испытания на ударную прочность (вязкость); 3) испытания на твердость; 4) определение упругих постоянных динамическим способом.
Необходимо отметить, что при испытаниях образцов из ферритов наблюдался большой разброс результатов. Этот разброс в первую очередь объясняется различными технологическими факторами (различным давлением при прессовании, различием температуры обжига, наличием микротрещин, неоднородной зернистостью и т. д.).[3]
В качестве примеров будем рассматривать ферриты марок 50В Ч2 и 2БА.
Прочность при растяжении.
Статические испытания на растяжение позволяют получить одну из важнейших характеристик - предел прочности при разрыве образца. Если образец феррита поперечного сечения F(см2) подвергается действию плавно возрастающего растягивающего усилия, то при предельном значении этого усилия Рмакс происходит разрыв образца.
Предел
прочности при растяжении ![]()
находится
из выражения:
![]()
=![]()
(1.4)
Так же прочность при растяжении зависит от температуры. У всех ферритов
прочность с увеличением температуры уменьшалась. На рисунке 1.2 и 1.3 показаны
кривые изменения прочности магнитномягкихи магнитножестких ферритов при
растяжении в зависимости от температуры.[3]