Материал: Инновационная деятельность предприятия

Внимание! Если размещение файла нарушает Ваши авторские права, то обязательно сообщите нам

Таблица 2.4.2. Материальные затраты на 1 руб. товарной продукции.

2012 год

2013 год

Товарная продукция, тыс. руб.

Материальные затраты

Товарная продукция, тыс. руб.

Материальные затраты


тыс. руб.

На 1 руб. ТП


тыс. руб.

На 1 руб. ТП

12051000

5467000

0,453

46050000

33217000

0,721


Материальные затраты на 1 руб. товарной продукции за 2012 год по сравнению с 2013 годом увеличились на 607,61%. В абсолютном выражении материальные затраты за 2013 год по сравнению с 2012 годом увеличились на 27750 млн.руб..

Таким образом, темпы роста материальных затрат в абсолютном выражении увеличились больше, чем темпы роста объема производства продукции. Рентабельность производства за 2013г составила 8,6 %.что на 6,8 пункта выше чем в 2012 г. что явилось результатом проведения мероприятий по экономии топливно-энергетических ресурсов, по снижению материалоемкости за счет применения более прогрессивных технологий, снижения потерь от брака.

Затраты по работам и услугам производственного характера, выполненных другими организациями за 2013 год составили 112000 тыс.руб. (производился ремонт и обслуживание приборов, обслуживание охранно-пожарной сигнализации, производился текущий ремонт зданий).

Таблица 2.5.2 Расходы на оплату труда за 2011 - 2013 год, тыс. руб.

Показатели

2011 год

2013 год

Темп роста, %

Расходы на оплату труда

3285000

3781000

115,1


Расходы на оплату труда увеличились в связи с увеличением объема производства. Соответственно росту заработной платы пропорционально возросли отчисления на социальные нужды.

Амортизационные отчисления возросли за 2013 год по сравнению с 2012 годом на 42,2%, или на 174 млн. руб. Это связано с тем, что увеличилась остаточная стоимость основных фондов в результате переоценки основных фондов на 01.01.2013 года (15468 млн. руб.), приобретением основных средств за 2013 год на сумму 711 млн. руб., а выбытие основных средств за 2013 год составило 3991 млн. руб.

Таблица 2.6.2. Прочие затраты по предприятию, тыс. руб.

Показатели

2012 год

2013 год

Темпы роста, %

Прочие затраты

589000

1408000

239


Прочие затраты за 2013 год возросли в меньшей степени, чем объемы производства товарной продукции (239%) и затраты на производство продукции в целом (382,0%). Это говорит о том, что удельный вес прочих затрат в общем объеме затрат на производство продукции снизился.

Платежи по страхованию увеличились в связи с обязательным государственным страхованием.

Начисленные налоги и отчисления, включаемые в себестоимость продукции, работ, услуг увеличились на 12,3% в связи с увеличением фонда заработной платы.

Глава 3. Исследование инновационных возможностей предприятия

.1 Оценка Финансово-экономических показателей

В качестве инвестиционных затрат будем рассматривать затраты, связанные с концептуальной и физической разработкой сайта; а также затраты, связанные с его внедрением. С учетом рыночной цены услуг компаний - разработчиков площадок электронной коммерции данная сумма инвестиционных затрат составит 154 тыс. руб.

В качестве ежемесячных затрат на эксплуатацию информационного сайта будем рассматривать затраты, связанные с оплатой хостинга - 2007 руб., оплата функций администрирования сайта - 2400 руб., обновление дизайна - 8200 руб. и затраты, связанные с обеспечение информационной безопасности компании.

Затраты на организацию защиты конфиденциальной информации принимают пропорционально размеру потенциального ущерба или упущенной выгоды предприятия от ее использования. Данный вид затрат определяется по формуле:

И = kL,

где И - Затраты на организацию защиты конфиденциальной информации, руб.;- Размер потенциального ущерба или упущенной выгоды, руб.;- коэффициент, учитывающий допустимую величину затрат на организацию защиты конфиденциальной информации в долях от величины потенциального ущерба или упущенной выгоды (от 0,05 до 0,2) [11, с. 162]

По мнению экспертов, если затраты на организацию защиты от информационных угроз на предприятии составили менее 5% величины упущенной выгоды или прибыли за счет использования своей конфиденциальной информации, то оно рискует собственной экономической безопасностью.

Определим допустимые издержки на безопасность информационной системы принимая размер упущенной выгоды как 5% от величины прибыли 2013 года - 3822,8 тыс. руб.

И = (3822,8 *0,05) * 0,2 = 38,22 тыс. руб.

Таким образом, суммарные годовые эксплуатационные затраты составляют 458,74 тыс. руб.

В качестве притока денежных средств рассмотрим долю увеличения выручки за счет привлечения новых потребителей услуг посредствам формирования и реализации информационного корпоративного сайта.

По данным специалистов для торговых компаний (осуществляющих не только розничную, но и оптовую торговлю) увеличение притока денежных средств может составлять до 22% [21, с. 267]

Поскольку доля оптовой торговли незначительна, то определим увеличение притока денежных средств на уровне 6 %:

Увеличение выручки от реализации составит 866,3 тыс. руб.

Для определения экономической целесообразности эксплуатации информационного сайта компании определим период окупаемости инвестиционных затрат, связанных с разработкой, с учетом эксплуатационных затрат. В этих целях используем метод дисконтирования.

Чистый дисконтированный доход представляет собой сумму дисконтированных ежегодных разностей между оттоками и притоками реальных (за вычетом налогов, выплат процентов за кредит и т. д.) денег за весь период жизни проекта. Моментом приведения будущих затрат и результатов к их текущей стоимости является предполагаемое начало осуществления проекта.

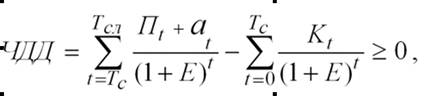
Чистый дисконтированный доход определяется как сумма текущих эффектов за весь расчетный период, приведенная к начальному шагу, или как превышение интегральных результатов над интегральными затратами и вычисляется по формуле:


где, Пt и аt - годовая чистая прибыль и амортизация в году t;

Кt - cумма инвестиций;

Е - норма дисконта;

Тс и Тсл - сроки строительства и эксплуатации (службы) объекта, лет.

Таблица 6 - Расчет прогноза окупаемости инвестиционных затрат

Показатель

2014г.

2015 год


 I полугодие

II полугодие

I полугодие

II полугодие

Инвестиции

24




Приток денежных средств, тыс. руб. (за счет эксплуатации сайта)

433,2

433,2

433,2

433,2

Эксплуатационные затраты, тыс. руб.

229,4

229,4

229,4

229,4

Прибыль, тыс. руб.

203,8

203,8

203,8

203,8

Налог на прибыль, тыс. руб.

40,76

40,76

40,76

40,76

cashflow от предпринимательской деятельности, тыс. руб.

163,04

163,04

163,04

163,04

Ставка дисконтирования, %

22

22

22

22

Коэффициент дисконтирования

1

0,82

0,76

0,64

ЧДД, тыс. руб.

163,04

133,69

123,91

104,35

ЧДД с учетом окупаемости инвестиций, тыс. руб.

139,04

133,69

123,91

104,35