Закон сохранения энергии имеет всеобщий характер. Он применим ко всем без исключения процессам, происходящим в природе. Полное количество энергии в изолированной системе тел и полей всегда остается постоянным; энергия лишь может переходить из одной формы в другую. Этот факт является проявлением неучтожимости материи и ее движения.
по наклонной плоскости
Рассмотрим движение
бруска вдоль наклонной плоскости. На
него действуют: сила тяжести
,
направленная вертикально вниз; сила
нормальной реакции опоры
,
направленная перпендикулярно к плоскости,
и сила трения
,
направленная противоположно движению
бруска вдоль плоскости (рис. 1.3).
Рис.1.3

![]()
или в скалярной форме в проекциях на оси х и у:
.
Отсюда ускорение бруска с учетом формулы (1.2) равно:
(1.4)
а сила трения
(1.5)
Брусок начинает
движение без начальной скорости с
ускорением
и проходит за время
расстояние
,
равное длине наклонной плоскости,
следовательно:
,
(1.6)
Отсюда
.
(1.7)
Применим закон сохранения энергии к движению бруска по наклонной плоскости. Так как на брусок действует сила трения, то рассматриваемую механическую систему следует считать неконсервативной. Поэтому изменение полной механической энергии бруска при его движении по наклонной плоскости равно работе силы трения:
.
(1.8)
Полная энергия
бруска на вершине наклонной плоскости
равна потенциальной энергии, так как
начальная скорость бруска равна нулю:
.
Полная энергия
бруска у основания наклонной плоскости
равна кинетической энергии:
.
Подставим это в закон сохранения энергии
(1.8):
или
![]()
.
(1.9)
Пусть тело, способное
вращаться (например, цилиндр), катится
по наклонной плоскости. Будем предполагать,
что при движении не возникает скольжения.
Это означает, что скорость тела в точке
касания А
равна нулю.
Отсутствие скольжения обеспечивается
действием сил со стороны наклонной
плоскости. На вращающееся тело действуют:
сила тяжести
,
сила нормальной реакции опоры
и сила трения
![]()
(рис. 1.5). Векторы этих сил на рисунке
показаны исходящими из их точек
приложения. При отсутствии скольжения
сила трения
есть сила трения
покоя или сила трения сцепления.
Рис. 1.5

.
В скалярной форме относительно оси х, направленной вдоль плоскости вниз, это уравнение имеет вид:
. (1.10)
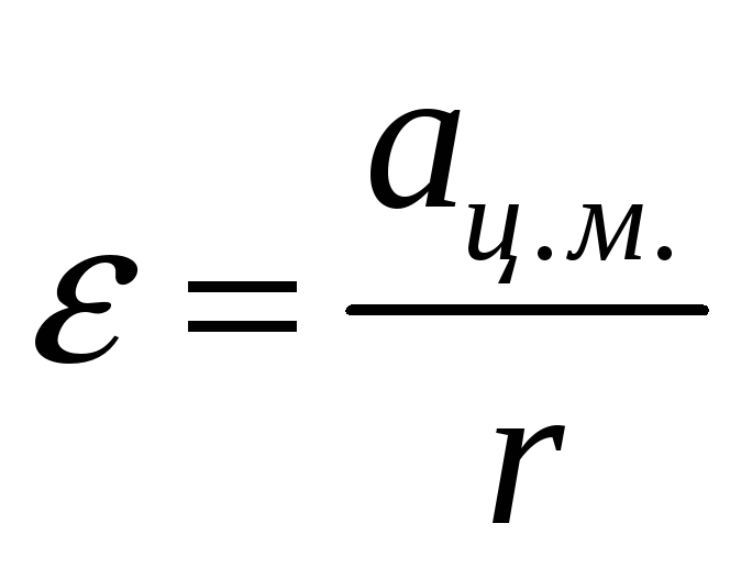
Вращение тела вокруг оси, проходящей через центр масс С, обусловлено только силой трения, так как моменты сил нормальной реакции опоры и тяжести равны нулю, поскольку линии действия этих сил проходят через ось вращения. Поэтому уравнение динамики вращательного движения имеет вид:
,
где I
– момент инерции тела,
– угловое ускорение, r
– радиус тела,
– момент силы трения. Следовательно:
(1.11)
Из выражений (1.10) и (1.11) имеем:
(1.12)
Применим закон сохранения энергии к движению цилиндра по наклонной плоскости. Кинетическая энергия вращающегося тела равна сумме кинетической энергии поступательного движения центра масс этого тела и вращательного движения точек тела относительно оси, проходящей через центр масс:
,
(1.13)
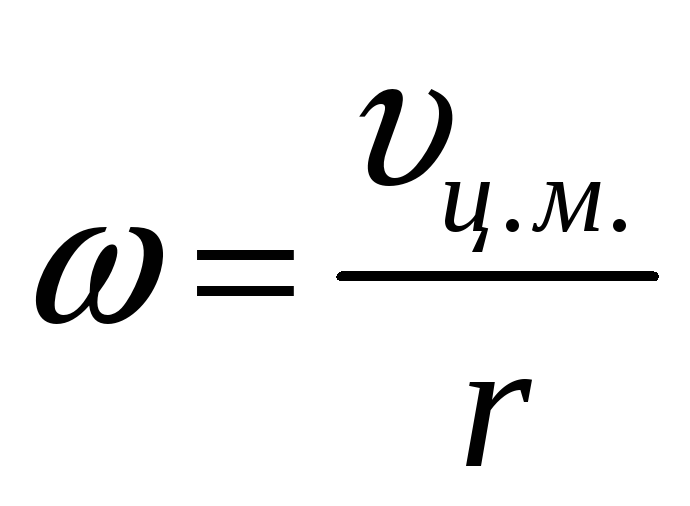
где ω – угловая скорость, которая связана со скоростью центра масс соотношением:
.
(1.14)
При отсутствии
скольжения сила трения приложена к тем
точкам тела, которые лежат на мгновенной
оси вращения А
. Мгновенная
скорость таких точек равна нулю, а потому
приложенная к ним сила
трения сцепления работы не производит
и не влияет на величину полной кинетической
энергии скатывающегося тела. Роль силы
трения сцепления
сводится
к тому, чтобы привести тело во вращение
и обеспечить чистое качение. При наличии
силы трения сцепления работа силы
тяжести идет на увеличение кинетической
энергии не только поступательного, но
и вращательного движения тела.
Следовательно, закон сохранения энергии
тела, катящегося по наклонной плоскости,
запишется в виде:
,
(1.15)
где кинетическая энергия Ек определяется по формуле (1.13), а потенциальная энергия Еп=mgh.
Рис.
2.1

Лабораторная установка (рис. 2.1.) представляет собой наклонную плоскость 1, высотой h и длиной l. В верхней точке плоскости установлен фиксирующий механизм 2; в нижней – контрольный датчик 3, соединенный с секундомером 4.
Включить в сеть электронный блок посредством сетевого шнура.
Поместить тело (брусок) в фиксирующий механизм 2, при этом показания секундомера должны быть на нуле.
Отпустить тело, при этом оно будет скользить вниз вдоль наклонной плоскости. После того как тело коснется контрольного датчика 3, снять показания с секундомера. Опыт провести не менее пяти раз.
Измерить массу бруска m.
Измерить длину l и высоту h наклонной плоскости.
Данные занести в таблицу 1.
Таблица 1
|
№ опыта |
l, м |
h, м |
sinα |
m, кг |
t, с |
μ |
а,
|
υ,
|
Дж |
Дж |
Дж |
|
1 2 3 4 5 |
|
|
|
|
|
|
|
|
|
|
|
|
среднее |
|
|
|
|
|
|
|
|
|
|
|