МИНИСТЕРСТВО ОБРАЗОВАНИЯ И НАУКИ РФ
ФГБОУ ВПО РЫБИНСКИЙ ГОСУДАРСТВЕННЫЙ АВИАЦИОННЫЙ
ТЕХНИЧЕСКИЙ УНИВЕРСИТЕТ ИМЕНИ П.А. СОЛОВЬЕВА
КАФЕДРА ОБЩЕЙ И ТЕХНИЧЕСКОЙ ФИЗИКИ
|
|
УТВЕРЖДЕНО на заседании методического семинара кафедры ОиТФ « » 2013 г.
Зав.каф. Пиралишвили Ш. А. |
|
|
ЛАБОРАТОРНАЯ РАБОТА № ФМ-4
Исследование законов движения тел
по наклонной плоскости
|
|
Переработано: к. т. н. доцент |
|
|
Каляева Н. А. _________ |
|
|
Рецензент: к. п. н., доцент Попкова Е. А. _________ |
Рыбинск 2013
Требования техники безопасности:
Необходимо выполнение общих требований безопасности, установленных в лаборатории.
Цель работы: проверка законов сохранения энергии для поступательного и вращательного движения тел по наклонной плоскости с учетом силы трения.
Приборы и оборудование:
Лабораторная наклонная плоскость;
Набор тел (брусок, сплошной цилиндр);
Электронный блок управления с секундомером;
Линейка;
Весы.
Силы трения появляются при перемещении соприкасающихся тел или их частей друг относительно друга. Трение, возникающее при относительном перемещении двух соприкасающихся тел, называется внешним; трение между частями одного и того же сплошного тела (например, жидкости или газа) носит название внутреннего трения.
Трение между поверхностями двух твердых тел при отсутствии какой-либо прослойки, например, смазки между ними, называется сухим. Трение между твердым телом и жидкой или газообразной средой, а также между слоями такой среды, называется вязким (или жидким).
Применительно к сухому трению различают трение покоя, трение скольжения и трение качения.
Трение покоя возникает при попытках вызвать скольжение одной поверхности твердого тела по другой. Рассмотрим два тела 1 и 2, из которых последнее закреплено неподвижно (рис. 1.1).
Рис. 1.1

,
направленной по нормали поверхности
соприкосновения тел. Она называется
силой нормального давления
и может быть обусловлена весом тела или
другими причинами.
Подействуем на
тело 1 внешней силой
,
постепенно увеличивая ее модуль. Вначале
тело 1 будет оставаться неподвижным. По
II
закону Ньютона это возможно в том случае,
если сила
уравновешивается некоторой силой
,
направленной по касательной к трущимся
поверхностям противоположно силе
.
Сила
и есть сила трения покоя. Она обусловлена
действием опоры, на которой лежит тело,
и согласно III
закону Ньютона принимает значение,
равное по модулю
(
=
–
).
Когда модуль внешней силы (а следовательно,
и модуль силы трения покоя) превысит
значение
,
тело начинает скользить – трение покоя
сменяется трением скольжения.
Рис. 1.2

представляет собой максимальное значение
силы трения покоя. Сама эта сила, в
зависимости от модуля внешней силы,
принимает одно из значений в интервале
от нуля до
(0<
<
).
Модуль силы трения скольжения
приблизительно равен
и зависит от скорости скольжения υ.
Примерный график зависимости
от
показан на рис. 1.2. Из графика следует,
что с увеличением скорости сила трения
скольжения вначале немного убывает, а
затем начинает возрастать.
Вертикальный
участок графика, начинающийся в нуле и
заканчивающийся при
=
,
соответствует силе трения покоя.
Энергия – это скалярная физическая величина, являющаяся универсальной мерой различных форм движения и взаимодействия тел.
Количественной характеристикой процесса обмена энергией между взаимодействующими телами является работа.
Элементарная
работа силы
на бесконечно малом перемещении
равна
скалярному произведению векторов
и
:
![]()
где α – угол между
векторами
и
;
-
элементарный путь;
-
проекция вектора
на направление вектора
(рис. 1.4).
Рис.
1.4

![]()
Кинетическая энергия механической системы – это энергия механического движения этой системы:
.
Приращение
кинетической энергии частицы на
элементарном перемещении равно
элементарной работе на том же перемещении:
а при конечном перемещении из точки 1 в
точку 2:
,
т.е. приращение
кинетической энергии частицы на некотором
перемещении равно алгебраической сумме
работ всех сил, действующих на частицу
на том же перемещении.
Потенциальная энергия механической системы определяется взаимным расположением тел системы и характером сил взаимодействия между ними.
Силы, работа которых не зависит от формы траектории тела, а определяется лишь начальным и конечным положением тела, называются консервативными. Работа консервативных сил при элементарном (бесконечно малом) изменении конфигурации системы равна приращению потенциальной энергии, взятому со знаком минус, так как работа совершается за счет убыли потенциальной энергии:
Опытным путем
установлено, что максимальная сила
трения покоя не зависит от площади
соприкосновения тел и приблизительно
пропорциональна модулю силы нормального
давления
,
прижимающей трущиеся поверхности друг
к другу:
.
(1.1)
Безразмерный
множитель
называется
коэффициентом трения покоя. Он зависит
от природы и состояния трущихся
поверхностей.
Аналогичная зависимость имеет место и для силы трения скольжения:
.
(1.2)
Здесь
– коэффициент трения скольжения, который
является функцией скорости.
Заметим, что по
III
закону Ньютона сила нормального давления
равна по модулю и противоположна по
направлению силе нормальной реакции
опоры
(
=
–
),
следовательно, выражения (1.1) и (1.2) можно
записать в виде:
и
. (1.3)
Трение качения возникает между шарообразным или цилиндрическим телом и поверхностью, по которой оно катится. Сила трения качения также подчиняется закону (1.2), но коэффициент трения качения в этом случае бывает значительно меньшим, чем при скольжении.
,
а при конечном изменении:
.
Связь между консервативной силой и потенциальной энергией:
,
где градиент
потенциальной энергии равен:
(
– единичные векторы координатных осей).
Примерами консервативных сил являются силы тяготения, тяжести, упругости.
Потенциальная энергия частицы, находящейся в поле силы тяжести равна:
,
где h отсчитывается от произвольного уровня.
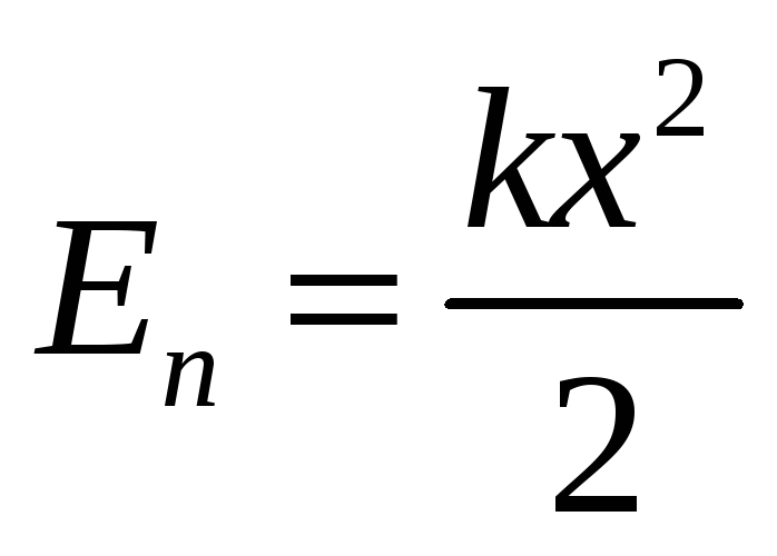
Потенциальная энергия упругодеформированного тела:
,
где k – коэффициент упругости, х – абсолютная деформация.
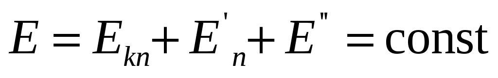
Полная энергия механической системы равна сумме кинетической и потенциальной энергии:
![]()
Закон сохранения механической энергии: полная механическая энергия системы тел, находящихся под действием только консервативных сил, остается постоянной:
,
где
– потенциальная энергия системы во
внешнем силовом поле;
– взаимная потенциальная энергия частиц
системы.
Если система
замкнута и силы взаимодействия между
частицами консервативны, то полная
энергия содержит лишь два слагаемых:
.
В этом случае закон сохранения механической
энергии гласит: полная механическая
энергия замкнутой системы материальных
точек, между которыми действуют только
консервативные силы, остается постоянной.
При наличии неконсервативных сил полная механическая энергия системы не сохраняется:
,
где
–
работа неконсервативных сил.
Неконсервативными, в частности, являются силы трения и силы сопротивления среды. Работа этих сил, как правило, отрицательна. Поэтому при наличии этих сил полная механическая энергия системы уменьшается, переходя во внутреннюю энергию тел, что приводит к их нагреванию. Такой процесс называется диссипацией. Силы, приводящие к диссипации энергии, называются диссипативными.