Материал: физика_2_9ЛР

Внимание! Если размещение файла нарушает Ваши авторские права, то обязательно сообщите нам

Минобрнауки России

Санкт-Петербургский государственный

электротехнический университет «ЛЭТИ» им. В.И. Ульянова (Ленина)

Кафедра физики

Отчет по лабораторной работе № 9 «исследование разветвленных цепей с применением компенсационного метода измерений»

Выполнила: студентка гр. 9502

Позняк В. Ю.

Преподаватель

Павловская М.В.

Оценка лабораторно-практического занятия

Выполнение ИДЗ

Подготовка к лабораторной работе

Отчет по лабораторной работе

Коллоквиум

Комплексная оценка

Санкт-Петербург

2020

ВОПРОСЫ К ЛАБОРАТОРНОЙ РАБОТЕ

Вариант №18

7. Запишите закон Ома в дифференциальной форме. Объясните, какие величины входят в формулу и в каких единицах они измеряются?

,

где  – удельная электропроводность, [ ];  - вектор плотности тока, А‎/м2; - вектор напряженности поля, В/м

21. Как рассчитывается сопротивление проводника с переменным сечением?

Сопротивление проводников с переменным сечением рассчитывается, разбивая (руководствуясь соображениями симметрии) проводники (или проводящую среду) на множество элементов длиной dl с поперечным сечением S так, чтобы плотность тока в любой точке отдельного элемента была одинаковой. Сопротивление каждого отдельного элемента

dR = dl/S(l),

где S – площади поперечного сечения проводника, а сопротивление проводника на участке от точки 1 до точки 2 равно

Если такое разбиение невозможно или зависимость S(l) слишком сложна, используют подобие электрического поля в однородной проводящей среде с током электростатическому полю в диэлектрике при условии, что удельное сопротивление проводящей среды много больше удельного сопротивления материала электродов. Иначе говоря, распределение потенциала в проводящей среде с током окажется таким же, как и в диэлектрике (или вакууме). При этом выполняется соотношение

RC = 0,

где R – сопротивление утечки между двумя электродами в проводящей среде с удельным сопротивлением ; C – взаимная электроемкость электродов в среде с относительной диэлектрической проницаемостью .

КОНТРОЛЬНЫЕ ВОПРОСЫ К ЛАБОРАТОРНОЙ РАБОТЕ

1 . Почему компенсационный метод является наиболее приемлемым при измерении эдс?

Компенсационный метод измерения основан на компенсации измеряемого напряжения (или ЭДС) падением напряжения на известном сопротивлении при прохождении тока от вспомогательного источника.

Схема измерения ЭДС компенсационным методом приведена на рис. 9.1. Вспомогательный источник G3 с ЭДС E3 создает в цепи потенциометра R2 рабочий ток I3. Источник G1 измеряемой ЭДС Ex одноименным полюсом подключен к источнику G3, а другим полюсом – через нуль-индикатор (микроамперметр с нулем в середине шкалы) PA1 и кнопку SB1 – к движку потенциометра R2. В последующем вместо измеряемого источника G1 включают источник G2 с известной (эталонной) ЭДС E0 и добиваются ее компенсации (I1 = 0), которая наступает при некотором отличном от Rx сопротивлении R0 введенного участка потенциометра R2.

Плюсы компенсационного метода при измерении ЭДС:

а)  простота вычисления (составление по правилам Кирхгофа и решение систем линейных уравнений).

б)  независимость полученного отношения Ex/E0 = Rx/R0 сравниваемых ЭДС от внутренних сопротивлений источников и других сопротивлений электрической схемы.

в) наибольшая стабильность и точность, поскольку измеряемая ЭДС непосредственно сравнивается с эталоном, и точность зависит только от точности и стабильности эталона (и чувствительности нуль-индикатора), погрешности остальных элементов схемы, в том числе и нуль-индикатора, не влияют на точность измерений.

Всё это делает компенсационный метод наиболее приемлемым при измерении ЭДС.

2. На чем основаны правила Кирхгофа?

Первое правило Кирхгофа: алгебраическая сумма токов, сходящихся в узле (точке, соединяющей более двух проводников), равна нулю:

– вытекает из уравнения непрерывности для постоянного тока:

,

– которое, в свою очередь, получается из закона сохранения электрического заряда (q = const).

Второе правило Кирхгофаалгебраическая сумма падений напряжений по замкнутому контуру равна алгебраической сумме ЭДС, действующих в данном контуре:

– вытекает из закона Ома для неоднородного участка цепи, примененного к каждому из неразветвленных участков контура:

.

3. Каковы основные источники погрешности при измерении эдс методом компенсации?

При измерении методом компенсации измеряемая величина (ЭДС в данном случае) непосредственно сравнивается с эталонами (эталонной ЭДС E0) и его точность зависит только от точности и стабильности эталонов (и чувствительности нуль-индикатора), погрешности остальных элементов схемы, не влияют на точность измерений. Таким образом основными источниками погрешности при таких измерениях являются шкала потенциометра (имеет наименьшую среди всех приборов точность градуировки), влияющая на точность значения эталона; и шкала микроамперметра, влияющая на стабильность значения эталона.

Лабораторная работа № 9 исследование разветвленных цепей с применением компенсационного метода измерений

ЦЕЛЬ РАБОТЫ

Ознакомление с компенсационным методом измерения на примере электродвижущей силы (ЭДС); приобретение навыков применения правил Кирхгофа для расчета разветвленных цепей.

ПРИБОРЫ И ПРИНАДЛЕЖНОСТИ

Стенд для сборки измерительной цепи; источники известной, вспомогательной и измеряемой ЭДС; линейный потенциометр со шкалой (реохорд); микроамперметр с нулем посередине шкалы (нуль-индикатор).

Э СКИЗ ИЛИ СХЕМА УСТАНОВКИ

Вспомогательный источник G3 с ЭДС E3 создает в цепи потенциометра R2 рабочий ток I3. Источник G1 измеряемой ЭДС Ex одноименным полюсом подключен к источнику G3, а другим полюсом – через нуль-индикатор (микроамперметр с нулем в середине шкалы) PA1 и кнопку SB1 – к движку потенциометра R2. В последующем вместо измеряемого источника G1 включают источник G2 с известной (эталонной) ЭДС E0 и добиваются ее компенсации (I1 = 0), которая наступает при некотором отличном от Rx сопротивлении R0 введенного участка потенциометра R2.

ОСНОВНЫЕ РАСЧЕТНЫЕ ФОРМУЛЫ

1) Неизвестная ЭДС Ex при эталонной ЭДС E0 

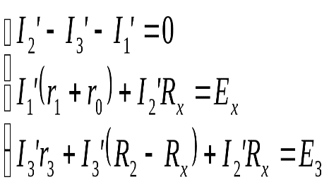
При замыкании кнопки SB1 в цепи устанавливаются токи I1, I2, I3. Выберем положительные направления этих токов в соответствии со стрелками на рисунке и применим к рассматриваемой схеме правила Кирхгофа.

Первое правило для узла A дает I2 – I3 – I1 = 0. По второму правилу для контуров A – G1 – B – A и A – G3 – C – B – A получим соответственно I1(r1 + r0) + I2Rx = Ex и I3r3 + I3(R2 – Rx) + I2Rx = E3, где Rx – сопротивление введенного участка потенциометра R2, т. е. между точками A и B; r1, r3 и r0 – внутренние сопротивления источников G1 и G3 и микроамперметра PA1 соответственно.

Полученная система уравнений полностью определяет все токи в цепи. В частном случае, когда Rx подобрано так, что через микроамперметр тока нет: I1 = 0, из уравнений получаем I2 = I3 = E3/(R2 + r3), Ex = I3Rx .

Чтобы найти Ex, необходимо определить силу рабочего тока I3, протекающего через потенциометр. Для этого вместо измеряемого источника G1 включают источник G2 с известной (эталонной) ЭДС E0 и добиваются ее компенсации (I1 = 0), которая наступает при некотором отличном от Rx сопротивлении R0 введенного участка потенциометра R2. При этом E0 = I3R0, откуда, учитывая предыдущее равенство для Ex, получаем Ex/E0 = Rx/R0.

Для так называемых линейных потенциометров (например, реохордов) отношение Rx/R0 равно отношению соответствующих координат движка nx/n0, отсчитываемых по шкале потенциометра

Ex = E0nx/n0.

2) Максимальное значение ЭДС Emax

Максимальное значение ЭДС Emax, которое можно измерить, определяется наибольшим возможным падением напряжения на введенном участке потенциометра, т. е. при полностью введенном сопротивлении R2 (показание по шкале потенциометра равно nmax). Это значение Emax = I3R2 = E3R2/(R2 + r3) меньше E3, но поскольку R2 >> r3, можно считать Emax  E3.

.

3) Внутреннее сопротивление микроамперметра r0.

По правилам Кирхгофа для разветвленных цепей имеем

По условию внутренние сопротивления  . Система уравнений придет к виду

Из первых двух уравнений,

.

С другой стороны, из третьего и первого уравнения,

,

.

Сопоставляя эти результаты, получим

.

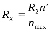
Т.к. r3 принимается за нуль, можно положить Emax = E3. Тогда, окончательно,

.

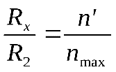
Найдем теперь сопротивление Rx

.