Материал: fizika

Внимание! Если размещение файла нарушает Ваши авторские права, то обязательно сообщите нам

13.Оптические постоянные вещества в области полос поглощения. Аномальная дисперсия.

Характеристики полос поглощения:

1. Длина волны в области максимума поглощения (λmax) – зависит от природы вещества, используется для качественного анализа.

2. Максимальная интенсивность поглощения (Imax) – зависит от числа поглощающих частиц, вероятности перехода и числа фотонов, испускаемых внешним источником в единицу времени. Используются для количественного анализа.

Мерой интенсивности поглощения являются две величины, которые можно измерить с помощью приборов:

§ светопоглощение (А) (иначе – поглощение, оптическая плотность);

§ светопропускание (Т) (иначе – пропускание).

Эти величины связаны с концентрацией вещества в растворе:

 

где Iо – интенсивность падающего светового потока;

I – интенсивность светового потока, прошедшего через слой раствора;

ε – молярный коэффициент поглощения;

l – толщина поглощающего слоя, см;

С – концентрация вещества в растворе, моль/л.

3. Ширина полосы поглощения (Δλ). В электронных спектрах ширина полос очень большая, достигает 1000 нм, а в колебательно-вращательных спектрах полосы узкие, имеют ширину до 10 см–1.

Аномальная дисперсия — вид дисперсии света, при которой показатель преломления среды уменьшается с увеличением частоты световых колебаний.

,

где   — показатель преломления среды,

 — частота волны.

14. Тепловое излучение и его характеристики. Закон Киргофа.

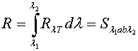
Тепловое излучение - это электромагнитное излучение, которое возникает за счет энергии вращательного и колебательного движения атомов и молекул в составе вещества. Тепловое излучение характерно для всех тел, которые имеют температуру, превышающую температуру абсолютного нуля.  Основными количественными характеристиками теплового излучения являются: - энергетическая светимость - это количество энергии электромагнитного излучения во всем диапазоне длин волн теплового излучения, которое излучается телом во всех направлениях с единицы площади поверхности за единицу времени: R = E/(S·t), [Дж/(м2с)] = [Вт/м2] Энергетическая светимость зависит от природы тела, температуры тела, состояния поверхности тела и длины волны излучения. - спектральная плотность энергетической светимости - энергетическая светимость тела для данных длин волн (λ + dλ) при данной температуре (T + dT):  Rλ,T  = f(λ, T). Энергетическая светимость тела в пределах каких-то длин волн вычисляется интегрированием Rλ,T  = f(λ, T) для T = const:

 коэффициент поглощения - отношение поглощенной телом энергии к падающей энергии. Так, если на тело падает излучение потока dФпад, то одна его часть отражается от поверхности тела - dФотр , другая часть проходит в тело и частично превращается в теплоту dФпогл, а третья часть после нескольких внутренних отражений - проходит через тело наружу dФпр :  α = dФпогл/dФпад.

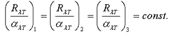
Закон Кирхгофа. Тепловое излучение является равновесным - сколько энергии излучается телом, столь ее им и поглощается. Для трех тел, находящихся в замкнутой полости можно записать:

Следствия из закона Кирхгофа: 1. Спектральная энергетическая светимость АЧТ является универсальной функцией длины волны и температуры тела. 2. Спектральная энергетическая светимость АЧТ наибольшая. 3. Спектральная энергетическая светимость произвольного тела равна произведению его коэффициента поглощения на спектральную энергетическую светимость абсолютно черного тела. 4. Любое тело при данной температуре излучает волны той же длины волны, которое оно излучает при данной температуре.

15.Абсолютно чёрное тело. Законы его излучения. Оптическая пирометрия.

Абсолютно черное тело – тело, которое полностью поглощает электромагнитные волны любых частот, т.е. все лучи, падающие на тело и ничего не отражает. Поглощая энергию, абсолютно чёрное тело нагревается и само начинает излучать. Примеры: сажа, черный бархат, платиновая чернь, Солнце. Модель а.ч.т.: непрозрачный ящик с небольшим отверстием. (днем окна домов кажутся темными).

1.Закон Стефана — Больцмана: Мощность излучения абсолютно чёрного тела прямопропорциональна площади поверхности и четвёртой степени температуры тела:

P = SεσT4, где ε - степень черноты (для всех веществ ε < 1, для абсолютно черного тела ε = 1).

σ (сигма) –постоянная Стефана — Больцмана= 5,67 Вт/(м24)

2.Закон смещения Вина Длина волны, при которой энергия излучения абсолютно чёрного тела максимальна, определяется законом смещения Вина: ms = 2,9 / T. С увеличением ms уменьшается, что и следует из закона. Пользуясь законом смещения Вина, можно измерять высокие тел на расстоянии, например, расплавленных , космических тел и др.

3. Закон Планка. Интенсивности излучения абсолютно черного тела зависят от и длины волны. По мере увеличения длины волны энергия лучей возрастает, при некоторой длине волны достигает максимума, затем убывает. Кроме того, для луча одной и той же длины волны энергия его увеличивается с возрастанием тела, испускающего лучи

4. Закон Кирхгофа. Для всякого тела излучательная и поглощательная способности зависят от и длины волны. Из закона Кирхгофа следует, что если тело обладает малой поглощательной способностью, то оно одновременно обладает и малой лучеиспускательной способностью (полированные ). Абсолютно черное тело, обладающее максимальной поглощательной способностью, имеет и наибольшую излучательную способность. "Ультрафиолетовая катастрофа" в конце XIX в. сводилась к  парадоксальному результату, согласно которому никакое тепловое равновесие невозможно, так как вся энергия системы будет постепенно передаваться электромагнитным колебаниям все более высоких частот.  Немецкий физик М.Планк в 1900 г. предположил, что энергия излучается порциями – квантами (гипотеза Планка). Каждое тело, обладающее тепловой энергией для излучения, должно излучать её практически полностью в ультрафиолетовом спектре и выше

Оптические. Позволяют визуально определять, как правило, без использования специальных устройств, температуру нагретого тела, путем сравнения его цвета с цветом эталонной нити.

Оптическая пирометрия основывается на зависимости спектральной характеристики излучения от температуры в диапазонах инфракрасного излучения и видимого света, другими словами, на зависимости цвета излучения от температуры. Так, тела, нагретые до 700-800° С, испускают темно-оранжевое свечение, при температуре около 1000° С цвет становится ярко-оранжевым, при 2000° — ярко-желтым, а при 2500° С — практически белым. Известно два основных типа оптических пирометров:

  • Яркостный пирометр определяет температуру тела путем визуального сравнения излучения объекта в видимом спектре с излучением эталонной нити. Оператор смотрит в окуляр на измеряемый объект и регулирует величину пропускаемого через нить электрического тока, при этом нить в окуляре совмещается с изображением объекта. Как только получается подобрать такое значение, при котором цвет нити совпадает с цветом объекта, изображение нити как бы "растворяется" на фоне объекта (отсюда другое название яркостного пирометра — пирометры с исчезающей нитью). По величине тока определяется температура измеряемого объекта.

  • Пирометр спектрального отношения сравнивает энергетические яркости объекта в разных областях спектра. Такой пирометр использует несколько датчиков (на практике чаще всего пару) и измеряет энергетические яркости в разных частях спектра, а затем оценивает их отношение (отсюда другое название — пирометр спектрального отношения). Мультиспектральные пирометры обладают большей точностью в сравнении с яркостными, поэтому в настоящее время используются преимущественно оптические пирометры данного типа.

16.Квантовая природа излучения . Квант энергии электромагнитного излучения.

http://fizika.ugtu.net/files/stroitelstvo/glava17.pdf

Энергия кванта электромагнитного излучения фиксирована и равна

E = hν,

где h = 4·10–15 эВ·с = 6·10–34 Дж·с — постоянная Планка, еще одна фундаментальная физическая величина, определяющая свойства нашего мира. С отдельным электроном при фотоэффекте взаимодействует отдельный квант, и если его энергии недостаточно, он не может выбить электрон из металла.

17.Фотон, масса и импульс фотона.

Фотон - это квант света. Согласно гипотезе световых квантов Эйнштейна, испускание, поглощение и распространение света происходит дискретными порциями (квантами), названными фотонами (фото – свет). Энергия фотона:

Эйнштейн получил формулу, связывающую массу и энергию. Формула Эйнштейна:

Для фотона Е= Е0, следовательно . Отсюда масса фотона:

Фотон отличается от макроскопических тел и элементарных частиц тем, что он является элементарной частицей света, которая в любой среде движет­ся со скоростью света и не имеет массы покоя m0фотона = 0.Масса покоя - это масса, которой обладает частица при V =0, т.о., покоящихся фотонов не суще­ствует. Если свет остановить, то это означает, что энергия света поглотится веществом и света не будет. Массу фотона следует считать полевой массой, это означает, что свет обладает массой связанной с элементарным полем све­товой волны. Фотон обладает энергией, но всякой энергия соответствует мас­са (это следует из ). Если понимать под Е энергию электромагнитного поля, то под m следует понимать массу электромагнитного поля световой вол­ны, т.о., поле, как и вещество, имеет энергию и массу. Поле - одна из форм су­ществования материи. Наличие у поля энергии и массы является доказательст­вом материальности электромагнитного поля.

Импульс фотона — это импульс элементарной частицы (фотона), квант электромагнитного излучения (в узком смысле — света). Это частица, способная существовать и иметь массу только двигаясь со скоростью света.  

18.Эффект Комптона, внешний и внутренний фотоэффект. Закон сохранения энергии и импульса при взаимодействии фотона с веществом.

Еще одним эффектом, в котором проявляются корпускулярные свойства света, является эффект А. Комптона (1923 г.), заключающийся в изменении длины волны, рассеянного легкими атомами (парафин, графит, бор) рентге­новского излучения.

С хема опытов Комптона: монохроматические рентгеновские лучи, соз­даваемые рентгеновской трубкой А, проходят через диафрагмы Д и узким пучком направляются на легкое рассеивающее вещество В. Лучи, рассеянные на угол θ, регистрируются приемником рентгеновских лучей Пр. - рентгенов­ским спектрографом, в котором измеряется длина волны рассеянных рентге­новских лучей. Опыты Комптона показали, что длина волны λ’ рассеянного  света больше длины волны λ падающего свежа, причем разность λ’ – λ за­висит только от угла рассеяния θ:

- комптоновская длина волны, определяется массой исследуемого вещества.

Внешним фотоэффектом (фотоэлектронной эмиссией) называется испускание электронов веществом под действием электромагнитных излучений. Электроны, вылетающие из вещества при внешнем фотоэффекте, называются фотоэлектронами, а электрический ток, образуемый ими при упорядоченном движении во внешнем электрическом поле, называется фототоком.

Внутренним фотоэффектом называется перераспределение электронов по энергетическим состояниям в твёрдых и жидких полупроводниках и диэлектриках, происходящее под действием излучений. Он проявляется в изменении концентрации носителей зарядов в среде и приводит к возникновению фотопроводимости иливентильного фотоэффекта.

Законы сохранения энергии и импульса при фотоэффекте могут быть представлены в виде:

hν = Те + Ii + Тя,   и    

где , − кинетическая энергия ядра отдачи; I− энергия ионизации i-й оболочки атома; . Так как обычно hν >> Ii + Тя, то энергия фотоэлектронов Те ≈ hν, и, следовательно, энергетический спектр фотоэлектронов близок к монохроматическому.     Из законов сохранения энергии и импульса следует, что фотоэффект не может происходить на свободном электроне. Докажем это "от противного": предположим, что такой процесс возможен. Тогда законы сохранения будут выглядеть так

    Отсюда получаем уравнение 1 − β = √1 − β2, которое имеет два корня β = 0 и β = 1. Первый из них соответствует Те = hν = 0, а второй не имеет физического смысла для частиц с массой отличной от нуля.     Еще нагляднее это доказательство выглядит для нерелятивистского случая: hν = mev2/2 и hν/c = mev. Решение системы приводит к выражению v = 2с, чего не может быть.     Таким образом, свободный электрон не может поглощать фотон. Для фотоэффекта существенна связь электрона с атомом, которому передается часть импульса фотона. Фотоэффект возможен лишь на связанном электроне. Чем меньше энергия связи электрона с атомом по сравнению с энергией фотона, тем менее вероятен фотоэффект. Это обстоятельство определяет все основные свойства фотоэффекта:

a) ход сечения с энергией фотона − σф(hν) ,

b) соотношение вероятностей фотоэффекта на разных электронных оболочках,

c) зависимость сечения от Z среды.