Материал: fizika (1)

Внимание! Если размещение файла нарушает Ваши авторские права, то обязательно сообщите нам

1. 1. Спектр атомарного водорода, серии Лаймана, Бальмера, Пашена, Модель водорода по Бору (постулаты Бора, вывод радиуса орбит, энергии электрона), спектральные линии водорода.

Изолированные атомы в виде разреженного газа или паров металла испускают спектр, состоящий из отдельных спектральных линий → спектр испускания атомов – линейчатый.

Спектр — распределение значений физической величины (обычно энергии, частоты или массы). Обычно под спектром подразумевается электромагнитный спектр — распределение интенсивности электромагнитного излучения по частотам или по длинам волн.

Спектральная линия — линия в спектре электромагнитного излучения атомов, молекул и других квантовых систем. Излучение, соответствующее данной спектральной линии, характеризуется определенной длиной волны и, следовательно, частоты. Каждая спектральная линия отвечает определенному квантовому переходу.

Линии в спектрах расположены не беспорядочно, а объединяются в группы — серии линий.

С пектральная серия — набор спектральных линий, которые получаются при переходе электронов с любого из вышележащих термов (состояние электронной подсистемы, определяющая энергетический уровень, энергия данного уровня) на один нижележащий, являющийся основным для данной серии.

Рис.1: Часть спектра атомарного водорода в видимой УФ-области. Линии располагаются в определенном порядке. Расстояние между линиями закономерно убывает по мере перехода от более длинных волн к более коротким.

Б альмер обнаружил, что длины волн серии водорода могут быть точно предсталены формулой:

Е сли перейти от длины волны λ к частоте ω, то получится такая формула Бальмера, а соответствующая ей серия спектральных линий – серия Бальмера.

– постоянная ридберга R=2,07*1016 c-1

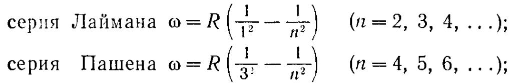
В спектре водорода имеется несколько серий. В УФ-части спектра — серия Лаймана, а в инфракрасной области — серия Пашена.

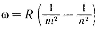
Частоты всех линий спектра водородного атома можно представить формулой, которая носит название обобщенная формула Бальмера:

, где m-значение 1 для серии Бальмера, 2 для Лаймана, 3 для Пашена и тд. При заданном m число n принимает все целочисленные значения, начиная с m+1.

Граница серии – предельное значение: R/m^2=T(n), к которому стремится при возрастании n частота линии каждой серии (H-бесконечность на рисунке с водородной серией). Частота любой линии спектра водорода может быть представлена в идее разности двух чисел близких границ серии. Эти числа будут называться термами. Так, частота первой линии Бальмера для водорода будет равна Т(2)-Т(3).

Модель атома Томпсона. Атом – равномерно заполненный положительным электричеством шар, внутри которого находится электрон. Суммарный заряд атома равен заряду электрона, так что в целом атом нейтрален.

Модель атома по Резерфорду. Атом – система зарядов, в центре которой расположены Z электронов, распределенных по всему объему, занимаемому атомом. Почти вся масса атома сосредоточена ядре. Электроны движутся вокруг ядра по искривленной траектории.

Эти теории не смогли объяснить устойчивость атома и характер атомного спектра, механизм возникновения линейчатых спектров и смысл целых чисел, входящих в формулы спектральных линий водорода (и ряда других атомов), оставались непонятными. Решил эту проблему датский физик Нильс Бор, сформулировав постулаты, противоречащие классическим представлениям. Он создал теорию строения атома, способную объяснить опыты Резерфорда и спектр излучения паров водорода.

Модель атома по Бору: Атом состоит из положительно заряженного ядра – протона, а также из отрицательно заряженного электрона, который вращается вокруг ядра по круговой орбите. Их заряды равны по абсолютному значению.

Постулаты Бора

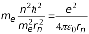
  1. Из бесконечного множества электронных орбит, возможных с точки зрения классической механики, осуществляются в действительности только некоторые дискретные орбиты, удовлетворяющие определенным квантовым условиям.Это означает, что электроны могут двигаться только по определенным орбитам, соотетствующим их стационарным состояниям. Электрон, находящийся на одной из этих орбит, несмотря на то, что он движется с ускорением, не излучает электромагнитных волн (света).

Момент импульса электрона на этих орбитах кратен постоянной Планка:

, где me – масса электрона, - скорость электрона на орбите с номером n, rn – радиус орбиты с номером n, n =1,2,3,….

Дж·с – постоянная Планка.

  1. И злучение испускается или поглощается в виде светового кванта энергии при переходе электрона из одного стационарного (устойчивого) состояния в другого. Величина светового кванта (энергия кванта) равна разности энергий тех стационарных состояний, между которыми совершается кантовый скачок электрона: , где E n1 и E n2 - энергия электрона в состоянии 1 и 2 (т.е. на орбитах 1 и 2), - частота электромагнитных волн, - постоянная Планка.

+М (момент импульса) = постоянная Планка*n

Радиус орбиты электрона в атоме водорода.

Согласно 1-му постулату Бора, .

Число n – главное кантовое число

Выразим скорость электрона:

. (3)

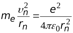
Рассмотрим круговые электронные орбиты. На электрон с зарядом -e со стороны ядра с зарядом +e действует сила Кулона F, сообщая электрону нормальное ускорение,

.

По 2-му закону Ньютона,

. (4)

Сократим и подставим скорость из (3):

.

Отсюда

.

Радиус первой орбиты электрона (n = 1), называется радиусом Бора или r0

= 0.53·10-10 м.

Радиус орбиты электрона в атоме водорода

, n =1,2,3,…. – номер орбиты.

Энергия электрона в атоме водорода.

Энергия электрона представляет собой сумму кинетической энергии и потенциальной (энергия взаимодействия электрона с ядром)

и .

Потенциальная энергия – это энергия электрона с зарядом в электрическом поле ядра. Из уравнения (4) видно, что

.

Тогда на n –ой орбите энергия электрона равна

= = .

Т.е. кинетическая энергия электрона равна полной энергии, взятой со знаком «-».

Также полную энергию можно записать через потенциальную:

= , или

.

Подставим . Тогда

= .

Энергия на первой орбите (на первом энергетическом уровне) равна

= = -13,6 эВ.

Величину = 13,6 эВ = 2,18∙10-18 Дж называют энергией ионизации (эта энергия необходима, чтобы перевести электрон, находящийся на первом уровне, в свободное состояние, т.е. чтобы ионизовать атом). Окончательно, энергия электрона на n –ом энергетическом уровне (на n –ой орбите) записывается как

= .

Спектр излучения водорода.

Энергия излучаемого или поглощаемого кванта:

.

Частота , длина волны, - скорость света в вакууме.

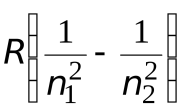
= + = ,

= .

= - формула Бальмера,

определяет длины волн в спектре атома водорода.

= 1,1∙107 м-1 - постоянная Ридберга.

и - номера энергетических состояний (номера орбит) электрона.

Переходы электрона с возбужденных энергетических состояний на основной энергетический уровень ( = 1) сопровождаются излучением вУФ области спектра (серия линий Лаймана),

переходы на уровень с = 2 приводят к линиямв видимой области (серия Бальмера),

переходы на уровень с = 3, 4, 5, … приводят излучению в ИК области.

Теория Бора не смогла объяснить строение сложных атомов. Для объяснения поведения микрочастиц была развита квантовая механика.

Она основана на том, что любая микрочастица, наряду с корпускулярными, обладает также волновыми свойствами (гипотеза де Бройля).

2. Распределение электронов в атоме. Периодическая система элементов д. И. Менделеева.

Квантовые числа - энергетические параметры, определяющие состояние электрона и тип атомной орбитали, на которой он находится.

n, l – характеризуют размер и форму облака (орбиты),