Материал: Финансовое состояние предприятия, его оценка и пути укрепления в современных условиях

Внимание! Если размещение файла нарушает Ваши авторские права, то обязательно сообщите нам

Трендовый (горизонтальный) финансовый анализ базируется на изучении динамики отдельных финансовых показателей во времени. В процессе осуществления этого анализа рассчитываются темпы роста (прироста) отдельных показателей и определяются общие тенденции их изменения (или тренд).

Наибольшее распространение получили следующие формы трендового (горизонтального) анализа:

Рисунок 4. Виды финансового анализа.

Примечание - Составлено автором на основании данных источника 22, с.56.

) сравнение финансовых показателей отчетного периода с показателями предшествующего периода (например, с показателями предшествующей декады, месяца, квартала);

) сравнение финансовых показателей отчетного периода с показателями аналогичного периода прошлого года (например, показателей второго квартала отчетного года с аналогичными показателями второго квартала предшествующего года). Эта форма анализа применяется на предприятиях с ярко выраженными сезонными особенностями хозяйственной деятельности;

) сравнение финансовых показателей за ряд предшествующих периодов. Целью такого анализа является выявление тенденции изменения отдельных показателей, характеризующих результаты финансовой деятельности предприятия. Результаты такого анализа обычно оформляются графически в виде линейных графиков или столбиковой диаграммы изменения показателя в динамике.

Структурный (вертикальный) финансовый анализ базируется на структурном разложении отдельных показателей. В процессе осуществления этого анализа рассчитываются удельные веса отдельных структурных составляющих финансовых показателей. Наибольшее распространение получили следующие формы структурного (вертикального) анализа: анализ активов, капитала, денежных потоков.

) структурный анализ активов. В процессе этого анализа определяются соотношение (удельные веса) оборотных и внеоборотных активов, состав используемых оборотных активов, состав используемых внеоборотных активов, состав активов предприятия по степени их ликвидности, состав инвестиционного портфеля и другие;

) структурный анализ капитала. В процессе этого анализа определяются удельный вес собственного и заемного капиталов, состав используемого собственного капитала, состав используемого заемного капитала по видам, состав используемого заемного капитала по срочности обязательств (возврату) и другие;

) структурный анализ денежных потоков. В процессе этого анализа в составе общего денежного потока выделяют денежные потоки по оперативной (производственной) деятельности, по финансовой и по инвестиционной деятельности. Каждый из этих видов денежных потоков в свою очередь может быть глубоко структурирован по отдельным составляющим его элементам.

Результаты структурного (вертикального) анализа также могут быть оформлены графически в виде столбиковой или секторной диаграммы структуры показателя.

Сравнительный финансовый анализ базируется на сопоставлении значений отдельных групп аналогичных финансовых показателей между собой. В процессе осуществления этого анализа рассчитываются размеры абсолютных и относительных отклонений сравниваемых показателей. Наибольшее распространение получили следующие формы сравнительного анализа: анализ финансовых показателей предприятия и среднеотраслевых показателей, анализ финансовых показателей данного предприятия и предприятий-конкурентов, анализ финансовых показателей отдельных структурных единиц и подразделений данного предприятия, анализ отчетных и плановых (нормативных) финансовых показателей:

) сравнительный анализ финансовых показателей предприятия и среднеотраслевых показателей. В процессе этого анализа выявляют степень отклонения основных результатов финансовой деятельности данного предприятия от среднеотраслевых в целях дальнейшего повышения ее эффективности;

) сравнительный анализ финансовых показателей данного предприятия и предприятий-конкурентов. В процессе этого анализа выявляются слабые стороны деятельности предприятия с целью разработки мероприятий по повышению его конкурентной позиции;

) сравнительный анализ финансовых показателей отдельных структурных единиц и подразделений данного предприятия. Такой анализ проводится в разрезе сформированных на предприятии центров экономической ответственности с целью сравнительной оценки эффективности их финансовой деятельности;

) сравнительный анализ отчетных и плановых (нормативных) финансовых показателей. В процессе этого анализа выявляется степень отклонения отчетных показателей от плановых (нормативных), определяются причины этих отклонений и вносятся соответствующие коррективы в последующую финансовую деятельность.

. Анализ финансовых коэффициентов базируется на расчете соотношения различных абсолютных показателей между собой. В процессе осуществления этого анализа определяются различные относительные показатели, характеризующие различные аспекты финансовой деятельности. Наибольшее распространение получили следующие аспекты такого анализа: финансовой устойчивости, платежеспособности, оборачиваемости активов и рентабельности. [7, с.114].

) Анализ финансовой устойчивости. В процессе этого анализа выявляется уровень финансового риска, связанного со структурой источников формирования капитала предприятия, а соответственно и степень финансовой стабильности предстоящего развития предприятия.

Для проведения такого анализа используются следующие основные финансовые коэффициенты:

а) коэффициент автономии (КА). Он показывает, в какой степени используемые предприятием активы сформированы за счет собственного капитала. Расчет этого показателя осуществляется по формуле:

                    (1)

где: ССК - сумма собственного капитала;

СА - сумма всех используемых активов [8, с.86];

б) коэффициент финансирования (КФ). Он показывает, какая сумма заемных средств привлечена предприятием в расчете на единицу собственного капитала. Расчет этого показателя проводится по формуле:

                            (2)

где: СЗС - сумма используемых заемных средств (сумма заемного капитала) [9, с.112];

в) коэффициент задолженности (КЗ). Он показывает, какая сумма заемных средств приходится на единицу всего используемого капитала. Этот показатель рассчитывается по формуле:

                    (3)

где: СК - сумма всего используемого капитала;

г) коэффициент долгосрочной финансовой независимости (КДН). Этот показатель определяется по формуле [10, с.67]:

                 (4)

) Анализ платежеспособности. В процессе этого анализа выявляется возможность предприятия своевременно расплачиваться по своим обязательствам в зависимости от состояния ликвидности его активов.

Проведение такого анализа требует предварительной группировки активов предприятия по уровню ликвидности, а его обязательств - по срочности погашения.

Таблица 1 - Группировка активов предприятия по уровню ликвидности.

АКТИВЫ

Группы активов по уровню ликвидности

Виды активов, входящих в группу

А1 - активы в ликвидной форме

Денежные средства в кассе и на расчетном счете, краткосрочные финансовые вложения

А2 - быстрореализуемые активы

Дебиторская задолженность по текущим хозяйственным операциям

А3 - медленнореализуемые активы

Запасы товарно-материальных ценностей, незавершенное производство, расходы будущих периодов

А4 - активы в трудноликвидной и неликвидной форме

Основные средства, нематериальные активы, незавершенные кап.вложения, долгосрочные финансовые вложения

Примечание - Составлено автором на основе источника 10, с.89.


Для осуществления анализа платежеспособности используются следующие основные финансовые коэффициенты.

а) коэффициент абсолютной платежеспособности (КАП). Он показывает, в какой степени неотложные обязательства предприятия могут быть удовлетворены за счет имеющихся активов в ликвидной форме. Расчет этого показателя производится по формуле:

                            (5)

где: ДА - денежные активы;

КФВ - краткосрочные финансовые вложения;

НО - неотложные обязательства [11, с.75];

Таблица 2 - Группировка обязательств предприятия по срокам погашения

Пассивы

Группы обязательств по срокам погашения

Виды пассивов, входящих в группу

О1 - неотложные обязательства

Краткосрочная задолженность по текущим хозяйственным обязательствам, перед бюджетом и по оплате труда

О2 - краткосрочные обязательства

Краткосрочные заемные средства, краткосрочные кредиты банков, кредиторская задолженность (кроме тех видов, которые входят в первую группу

О3 - долгосрочные обязательства

Долгосрочные заемные средства, долгосрочные кредиты банков.

Примечание - Составлено автором на основе источника 10, с.89.


б) коэффициент промежуточной платежеспособности (КПП). Он показывает, в какой мере все текущие обязательства (неотложные и краткосрочные) могут быть удовлетворены за счет активов в ликвидной форме и быстрореализуемых активов. Расчет этого показателя осуществляется по формуле:

                           (6)

где: А1 - активы в ликвидной форме;

А2 - быстрореализуемые активы; , O2 - все виды текущих обязательств [11, с.75];

в) коэффициент текущей платежеспособности (КТП). Он показывает, в какой мере все текущие обязательства предприятия могут быть удовлетворены за счет всех его текущих (оборотных) активов. Расчет этого показателя осуществляется по формуле:

                 (7)

где: Al, A2, A3 - все виды оборотных активов; , O2 - все виды текущих обязательств [14, с.84].;

) Анализ оборачиваемости активов. В процессе этого анализа устанавливается, насколько быстро средства, вложенные в активы, оборачиваются в процессе деятельности предприятия. Для проведения анализа оборачиваемости активов используются следующие основные финансовые коэффициенты:

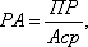
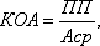
а) коэффициент оборачиваемости всех используемых активов (КОА). Он определяется по формуле:

                           (8)

где: ПП - объем продажи продукции (товаров, услуг);

Аср - средняя стоимость используемых активов [15, с.116].

Средняя стоимость используемых активов рассчитывается при этом за тот же период, что и объем продажи. Для расчета средней стоимости активов (А) используется следующая формула:

   (9)

где: An - сумма активов в n-периоде; - число периодов (кварталов, месяцев) [15, с.117];

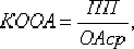
б) коэффициент оборачиваемости оборотных активов (КООА). Он рассчитывается по формуле:

            (10)

где: ОАср - средняя сумма оборотных активов [14, с.84];

в) продолжительность оборота используемых активов (ПОА). Для расчета этого показателя используется формула:

            (11)

где: ПД - число дней в периоде;

КОА - коэффициент оборачиваемости всех используемых активов [11, с.76];

г) продолжительность оборота оборотных активов (ПООА). Она определяется по формуле:

                 (12)

Коэффициенты оборачиваемости и продолжительности оборота могут быть рассчитаны и по отдельным видам оборотных активов (денежным средствам, товарно-материальным запасам и т. п.) [20, с.78];

) Анализ рентабельности. В процессе этого анализа устанавливается уровень прибыльности использования капитала в целом или отдельных его частей, а также уровень прибыли по отношению к другим показателям хозяйственной деятельности. Для проведения анализа рентабельности используются следующие основные финансовые коэффициенты:

а) коэффициент рентабельности всех используемых активов или коэффициент финансовой рентабельности (РА). Он показывает уровень прибыльности всех используемых активов (или всего используемого капитала). Расчет этого показателя осуществляется по формуле:

                   (13)

где: ПР - прибыль;

Аср - средняя сумма используемых активов[16, с.127];

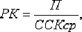
б) коэффициент рентабельности собственного капитала или коэффициент финансовой рентабельности (РК). Он показывает уровень прибыльности собственных средств предприятия. Расчет этого показателя производится по формуле:

             (14)

где: ССКср - средняя сумма собственных средств предприятия[17, с.84];

в) коэффициент рентабельности продажи продукции (РП). Его расчет осуществляется по формуле:

                    (15)

г) коэффициент рентабельности текущих затрат (РЗ). Для определения этого показателя используется формула:

            (16)

где: ВР - сумма валовых расходов производства и обращения. [18, с.73].

Коэффициент рентабельности может быть рассчитан также и по отдельным видам активов (оборотным, внеоборотным).

Только на основе финансового анализа, выявления сильных и слабых сторон в финансовом положении предприятия, в его производственно-хозяйственной деятельности можно наметить меры по его укреплению или выходу из сложившейся ситуации.

. ФИНАНСОВЫЙ АНАЛИЗ ДЕЯТЕЛЬНОСТИ КОМПАНИИ НА ПРИМЕРЕ ТОО «3TECH»

.1 Краткая характеристика предприятия

Финансовый менеджмент является частью общего управления предприятием. Общий же менеджмент может реализовать разные управленческие схемы - либо традиционные и хорошо себя зарекомендовавшие в условиях стабильности линейно-функциональные структуры управления, либо более гибкие и адаптивные к меняющимся рыночным условиям дивизионально-штабные схемы, а также продуктовые, матричные, проектные и пр. типы управленческих структур.