Материал: Эпюры нормальных и касательных напряжений

Внимание! Если размещение файла нарушает Ваши авторские права, то обязательно сообщите нам

Эпюры нормальных и касательных напряжений

Для 5 задач выбираются последние 5 цифр, т.е. 09733.

эпюра балка сечение стержень

3

0

9

7

3

3

а

б

в

г

д

е


Задача 1

Стальной стержень (Е=2·105 МПа) находится под действием продольной силы Р. Постройте эпюры продольных сил N, напряжений σ, перемещений Δ. Проверьте прочность стержня.

Дано: схема III,F=19 cм2, a=2.7 м, b=2,3 м, c=1,3 м, P=170 кH


Решение. В заделках возникают реакции RA и RD (направление произвольное).

Уравнение статики:


Уравнение - одно, неизвестных - два.

Задача один раз статически неопределима.

Надо использовать условие совместности деформации: перемещение сечения D отсутствует, ΔD=0.

Заменяем заделку реакцией RD.

От действия сил Р стержень удлиняется и сечение D перемещается вниз ΔPD.

От действия реакции RD стержень сжимается и сечение D перемещается вверх .

В действительности сечение D не перемещается


Далее:


Таким образом, раскрыли статическую неопределимость. Задача стала статически определимой.

Строим эпюру продольных сил N:

=-RD =-60.4 кН (сжатие)=-RD =-60.4 кН (сжатие)=-RD +P =-60.4+170=109.6 кН (растяжение)

Напряжения σ на каждом участке равны:



Строим эпюру перемещений:

ΔА=0 (заделка).

Далее:



0

9

7

3

3

б

в

г

д

е


Задача 5

К стальному валу приложены три известных момента: М1 М2 М3. Требуется:

) установить, при каком значении момента X угол поворота правого концевого сечения вала равен нулю;

) для найденного значения X построить эпюру крутящих моментов;

) при заданном значении [τ] определить диаметр вала из расчета на прочность и округлить его значение до ближайшего, равного: 10, 35, 40, 45, 50, 60, 70, 80, 90, 100 мм;

) построить эпюру углов закручивания;

) найти наибольший относительный угол закручивания (на 1 м).

Дано: схема III,

=1,7 м, b=1,3 м, c=1.3 м, 1700 Н∙м, 1300 Н∙м, 1300 Н∙м,  75МПа,

Решение:

1.      Из условия задачи известно

В соответствии с принципом независимости действия сил имеем:


Вычислим значения крутящихся моментов на участках вала.


Наибольший крутящий момент:  936,67Н∙м.

2.      Определим диаметр вала из условия прочности.


,

Где

.

Откуда


Принимаем D=40мм.

Крутильная жесткость вала


3.      Определяем углы закручивания сечений a, b, c, d, e рад,


Наибольший относительный угол закручивания на участке a-b



3

0

9

7

3

3

а

б

в

г

д

е



Задача 7

Для заданного в поперечного сечения, состоящего из швеллера и равнобокого уголка требуется:

) определить положение центра тяжести;

) найти осевые (экваториальные) и центробежный моменты инерции относительно случайных осей, проходящих через центр тяжести (zc и ус);

) определить направление главных центральных осей (и и υ);

) найти моменты инерции относительно главных центральных осей

) вычертить сечение в масштабе 1:2 и указать на нем все размеры в числах и все оси.

Дано: схема III,


Швеллер № 27: 270 мм, 95 мм, 6 мм, 35,2 см2, =4160 см4,262 см4, z0I=2,47 см.

Уголок равнополочный №9 (90х90х8)

90 мм, 13.93 см2, 106,11 см4, Jx0max = 168 см4, Jy0min = 43.8 см4 62,3 см4, z0=2,51 см.

Решение:

1.      Определяем координаты центра тяжести сечения в системе координат X*OY*



так как


Центр тяжести лежит на прямой С1С2.

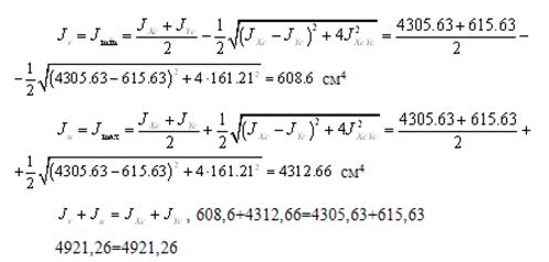
2.      Вычисляем Jxc, Jyc Jxcус сечения

где  ,

 .

Проверка:



3.      Определим угол наклона главных центральных осей


Так как угол отрицательный, ось ХсОУс необходимо повернуть по часовой стрелки на угол .


309733






а

б

в

г

д

е


Задача 8

Для заданных двух схем балок требуется написать выражения Q и М для каждого участка в общем виде, построить эпюры Q и М, найти Мmax и подобрать: а) для схемы (а) деревянную балку круглого поперечного сечения при [σ]=8 МПа; (б при [σ]= 180 МПа

Дано: l1=1,3 м, l2=3 м, , 7 кН∙м, 3 кН, 3 кН/м.


Решение:

1.      Определим внутренние усилия ,  с помощью метода сечений.

Запишем для каждого выделенного участка балки выражения внутренних усилий и найдем их значения на границах участков.


,

 кН, кН

,

 кН∙м,  кН∙м.

2.      Второй участок  м.

,

 кН, кН.

,

 кН∙м,         кН∙м

3.      м.


 кН, поперечная сила постоянна на все участке.

,

 кН∙м.,  кН∙м.


Определим размеры сечения балки из условия прочности.

Наиболее опасным является сечение , в котором изгибающий момент достигает максимального по модулю значения  кН∙м.

Из условия прочности при изгибе  определим максимальную величину момента сопротивления:

,  м3.

Круглое сечение .

, м.

Принимаем 63 cм.

Расчет на прочность двутавровой балки.

Подобрать стальную балку двутаврового поперечного сечения.

Дано: l1=1,3 м, l2=3 м, , 7 кН∙м, 3 кН, 3 кН/м.


Решение:

1.      Из уравнений статики:

: ,

:   ,


Проверка.

 .

2.      Определим внутренние усилия ,  с помощью метода сечений.

Запишем для каждого выделенного участка балки выражения внутренних усилий и найдем их значения на границах участков.

в сечении С  кН, Mx=0

в сечении A(слева)  кН, Mx=-1,22кНм

в сечении А(спарва)  кН, кНм

в сечении D  3.51кН, Mx=1,94кНм

в сечении Е(слева)  -0,09кН, Mx=4кНм

в сечении Е(справа)  -3,09кН, Mx=4кНм

в сечении В  -5,79кН, Mx= 0кНм

Найдем на участке DE точку , где

 3,51-q·z0, м.

кНм


Опасное сечение , где изгибающий момент принимает максимальное по модулю значение  кН∙м, Подберем двутавр из условия прочности по нормальным напряжениям.

Из условия прочности при изгибе  определим максимальную величину момента сопротивления:

, м3.

Принимаем двутавр №10 с моментом сопротивления  39.7 см3,

3

0

9

7

3

3

а

б

в

г

д

е