Материал: ЭП курсовой 2019

Внимание! Если размещение файла нарушает Ваши авторские права, то обязательно сообщите нам

Результаты расчетов механических характеристик для каждого значения частоты заносим в отдельные таблицы, аналогичные табл. 2.

По результатам расчетов строится семейство искусственных механических характеристик, примерный вид которых показан на рис. 6.

На координатной плоскости необходимо дополнительно нанести две прямые: вертикальная соответствует приведенному статическому моменту МПР, а горизонтальная – требуемой угловой частоте вращения ω3. Точка пересечения этих прямых позволит определить требуемую частоту f1 питающего напряжения, на которой электродвигатель будет работать с угловой частотой ω3 при моменте нагрузки равному МПР.

13 Проектирование системы управления

13.1 Обоснование принципа построения системы автоматического управления

Из определения электропривод представляется как физическая система, осуществляющая управляемое электромеханическое преобразование энергии. Алгоритм его функционирования определяется требуемым характером обслуживаемого технологического процесса, то есть строгой последовательностью действий, приводящих к достижению заданной цели, например подъёму груза на заданную высоту.

Величины, желаемый закон изменения которых во времени определяется технологическим процессом, носят название управляемых или регулируемых переменных. Как правило, это – скорость, положение или ускорение рабочего органа. Часто в качестве регулируемой координаты выступает одна величина, например скорость, а все остальные должны изменятся так, чтобы обеспечить требуемый закон. Под управлением понимается такая организация преобразования электрической энергии в механическую, при которой обеспечивается необходимый закон изменения во времени регулируемых координат и, следовательно, реализуется требуемый алгоритм функциони­рования электропривода и обслуживаемой им технологической установки.

Объектом управления электропривода называется совокупность элементов, входящих в его силовой канал: электрический, электромеханический, механические преобразователи и рабочий орган. Все входные воздействия на объект управления можно разделить на две группы: управляющие и возмущающие воздействия, закон изменения которых определяется внешними факторами (момент нагрузки на валу, напряжение питающей сети). Процессом управления называется процесс формирования управляющих воздействий на объект управления для реализации требуемого закона изменения выходных регулируемых координат, а устройством управления – совокупность технических средств, обеспечивающих процесс управления.

Совокупность всех элементов информационного канала, участвующих в процессе управления, называется системой управления электропривода. В зависимости от количества каналов передачи информации между устройством управления и объектом управления все системы делятся: на разомкнутые и замкнутые. В разомкнутых системах алгоритм управления реализуется управляющим устройством, без наличия информации о текущем состоянии объекта управления и существует только один канал передачи информации – управляющих воздействий от устройства управления к объекту управления. Таким образом, в разомкнутых системах отсутствует контроль за фактическим изменением регулируемых координат. Главный недостаток разомкнутых систем – управление «вслепую». Устройство управления может продолжать выполнение функций даже тогда. когда произошёл отказ в исполнительном механизме.

Повысить качество работы и надёжность системы управления можно, снабдив её информационно-измерительной системой, добавив канал передачи информации от этой системы к устройству управления, то есть, введя обратную связь. Такие системы управления называются замкнутыми.

Наибольшее применение получили два типа построения замкнутых систем регулирования: с общим суммирующим усилителем и с n последовательными суммирующими усилителями – системы подчинённого регулирования с последовательной коррекцией.

Отличительной особенностью систем первого типа является наличие одного суммирующего усилителя, на вход которого подаётся алгебраическая сумма задающего сигнала и всех обратных связей. Выходной сигнал усилителя, таким образом, зависит сразу от нескольких переменных, что делает практически невозможным регулирование какой-то одной переменной независимо от других.

Для разделения действий обратных связей применяют отсечки (блоки нелинейности). Но и в этом случае единственный задающий сигнал не определяет заданного значения выбранной для регулирования переменной. Придание системе требуемых динамических свойств, при таком построении обычно достигается применением сложных корректирующих устройств, включаемых в цепь сигналов управления при малой мощности управления (последовательная коррекция) или параллельно некоторым блокам системы (параллельная коррекция). При этом нельзя осуществить независимую настройку качества регулирования всех переменных. В целом получить требуемое или оптимальное качество регулирования в таких системах крайне затруднительно, а в ряде случаев и невозможно.

Система подчинённого регулирования состоит из ряда контуров, число которых равно числу регулируемых переменных или постоянных времени системы, причём каждый внутренний контур регулирования подчинён следующему по порядку внешнему (по отношению к внутреннему контору). Эта подчинённость выражается в том, что заданное значение регулируемой переменной любого внутреннего контура определяется выходным сигналом регулятора следующего по порядку контура. В итоге, все внутренние контуры работают, как подчинённые задаче регулирования выходной координаты системе. Каждый контур строится по отклонению (по ошибке) и имеет свою обычно жёсткую отрицательную обратную связь по регулируемой переменной и свой регулятор (суммирующий усилитель). Для каждого внешнего контура внутренний контур входит в состав объекта регулирования.

В системе подчинённого регулирования появляется возможность раздельного регулирования переменных и раздельной настройки контуров, а также коррекция переходных процессов в каждом контуре, что существенно упрощает как техническую реализацию коррекции, так и практическую настройку системы.

Для разрабатываемого электропривода, будет синтезироваться замкнутая система автоматического управления по принципу подчинённого регулирования, имеющая безусловные преимущества.

13.2 Синтез системы автоматического управления

В разрабатываемом электроприводе есть реальная необходимость регулирования только одной координаты – скорости. Это связано с тем, что к скорости, а также её изменению во времени (ускорению), предъявляются жёсткие регламентирующие требования со стороны технологического процесса. Так скорость подъема груза, а соответственно и частота вращения двигателя, при пуске должна плавно нарастать до установившегося значения, причём темп её нарастания, определяемый ускорением не должен превышать допустимого значения.

Под синтезом системы автоматического управления подразумевается введение обратной связи и расчёт регулятора для управляемой координаты. В нашем случае, будет вводиться отрицательная обратная связь по скорости и регулятор скорости. Для их расчёта необходимо математически описать силовую часть электропривода, включающую преобразователь, двигатель и механическую часть.

Преобразователь частоты описывается уравнением

, (60)

где 0  синхронная угловая частота вращения двигателя;

kП  коэффициент передачи преобразователя частоты;

UУ  напряжение управления.

Из этого уравнения передаточная функция преобразователя частоты определится как

. (61)

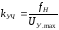
Коэффициент передачи преобразователя частоты найдём из формулы

, (62)

где рП – число пар полюсов;

kУЧ  коэффициент передачи по частоте,

, (63)

где Uу,max  максимальное напряжение управления, UУ,max = 10 В.

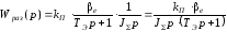
Математическое описание асинхронного двигателя соответствует уравнению

. (64)

Отсюда передаточная функция асинхронного двигателя имеет вид

, (65)

где е  модуль жёсткости естественной характеристики асинхронного двигателя;

ТЭ  электромагнитная постоянная времени двигателя;

Модуль жёсткости естественной характеристики асинхронного двигателя рассчитывается по формуле

, (66)

где МК  максимальный (критический) момент двигателя;

0  синхронная угловая частота двигателя,

, (67)

sК  критическое скольжение двигателя.

Электромагнитная постоянная времени асинхронного двигателя

, (68)

где Э  круговая частота питающего напряжения,

ωЭ = 2π ∙ fН . (69)

Механическая часть электропривода описывается уравнением

(70)

Тогда передаточная функция механической части привода

, (71)

где J  суммарный момент инерции, приведённый к валу двигателя.

По передаточным функциям построим структурную схему разомкнутой системы, приведённую на рис. 7.

Рис. 7 – Структурная схема разомкнутой системы

Для построения графиков переходных процессов воспользуемся программным пакетом Matlab Simulink. Входной управляющий сигнал UУ задается элементом «Step», возмущающее воздействие МПР имитируется элементом «Constant», передаточная функция усилительного звена реализуется элементом «Gain», передаточная функция апериодического звена реализуется элементом «Transfer». Графики переходных процессов отображаются виртуальным осциллографом «Scope». Пример имитационной модели разомкнутой системы в программе Matlab показан на рис. 8.

Рис. 8 – Имитационная модель разомкнутой системы в программе Matlab

Графики переходных процессов по скорости и по моменту представлены на рис. 9 и рис. 10.

Рис. 9 – График переходного процесса по скорости

Рис. 10 – График переходного процесса по моменту

Добавив отрицательную обратную связь по скорости и регулятор скорости к структурной схеме разомкнутой системы управления, получим структурную схему замкнутой системы управления для расчёта контура регулирования скорости, изображённую на рис. 11.

Рис.11 – Структурная схема замкнутой системы управления для расчёта контура регулирования скорости

Для расчёта регулятора скорости мы пренебрегаем внутренней э.д.с. двигателя и моментом статического сопротивления, тогда передаточная функция разомкнутой системы запишется

. (72)

Подставляя выражения передаточных функций, получим

. (73)

При настройке контура регулирования на технический оптимум желаемая передаточная функция будет иметь вид

, (74)

где аС  соотношение постоянных времени контура, аС = 2;

Т  некомпенсируемая постоянная времени, Т = ТЭ;

kОС  коэффициент обратной связи по скорости,

, (75)

где UЗ.max  максимальное управляющее напряжение задатчика интенсивности, UЗ.max = 10 В;

ω3 – угловая частота вращения двигателя.

Передаточную функцию регулятора скорости определяем как отношение

(76)

или, после подстановки выражений

. (77)

Передаточная функция регулятора скорости имеет вид пропорционального регулятора. Коэффициент передачи регулятора скорости определим из формулы

.

Передаточная функция задатчика интенсивности описывается интегрирующим звеном

, (78)

где ТЗИ – постоянная времени задатчика интенсивности, ТЗИ = 0,125 с.

Структурная схема замкнутой системы управления приведена на рис. 12. Пример имитационной модели замкнутой системы в программе Matlab показан на рис. 13.

Рис. 12 – Структурная схема замкнутой системы

Рис. 13 – Имитационная модель замкнутой системы в программе Matlab

Используя полученную математическую модель замкнутой системы управления электропривода в программе MATLAB, получим графики переходных процессов (рис. 14 и рис. 15).

Рис.14 График переходного процесса по скорости с регулятором скорости

Рис. 15 График переходного процесса по моменту с регулятором скорости