Материал: ЭП курсовой 2019

Внимание! Если размещение файла нарушает Ваши авторские права, то обязательно сообщите нам

5 Приведение моментов инерции

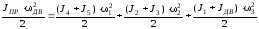
Приведение моментов инерции к одной оси вращения основано на том, что суммарный запас кинетической энергии движущихся частей привода, отнесенный к одной оси, остается неизменным. При наличии вращающихся частей, обладающих моментами инерции J1, J2J5 и угловыми скоростями ω1, ω1, ω3, можно заменить их динамическое действие действием одного момента инерции JПР, приведенного к скорости вала двигателя.

Исходя из закона сохранения кинетической энергии можно записать

. (21)

Тогда результирующий момент инерции, приведенный к валу двигателя можно рассчитать по формуле

(22)

Суммарный момент инерции при движении с грузом

(23)

Суммарный момент инерции при движении без груза

(24)

6 Расчет динамических моментов

Расчет динамических нагрузок электропривода подъемника проводится для того, чтобы определить дополнительные нагрузки на двигатель в момент разгона и торможения. Если эти нагрузки будут превышать номинальные характеристики электропривода, тогда следует выбирать двигатель большей мощности.

Рассчитаем динамические нагрузки, возникающие во всех возможных переходных процессах по обобщенной формуле динамического момента

. (25)

Угловое ускорение на шкиве

, (26)

где а – максимально допустимое ускорение, м/с2.

Угловое ускорение на промежуточном валу редуктора

(27)

Угловое ускорение на валу двигателя

(28)

Для обеспечения точной остановки принимаем замедление в три раза меньше, чем ускорение. Угловое ускорение при торможении на валу двигателя

. (29)

  1. Движение с грузом.

Динамический режим при пуске

. (30)

Динамический режим при торможении

. (31)

2) Движение без груза

Динамический режим при пуске

. (32)

Динамический режим при торможении

. (33)

7 Расчет тахограммы работы электродвигателя

Грузоподъемный механизм является механизмом циклического действия с повторно-кратковременным режимом работы. Тахограмма содержит участки пуска, торможения, работы с установившейся скоростью и паузы. Знание параметров тахограммы необходимо для расчета эквивалентного момента и проверки двигателя. Определим отрезки пути и времени работы на отдельных участках тахограммы.

Время пуска с постоянным ускорением

. (34)

Для обеспечения точной остановки принимаем замедление в три раза меньше, чем ускорение. Тогда время торможения

. (35)

Время полного цикла работы механизма подъема зависит от количества циклов в час и рассчитывается по формуле

, (36)

где NЦ – число циклов в час.

Каждый цикл характеризуется чередованием периодов работы и технологических пауз. В этот период двигатель не включен и механизм не работает. Это время используется для загрузки и разгрузки грузозахватного устройства и для подготовки проведения следующего процесса работы механизма.

Полное время цикла работы механизма грузоподъемной машины складывается из времени пуска tПУСК, времени движения с установившейся скоростью tУСТ, времени торможения tТОРМ и времени пауз tПАУЗ.

Путь, проходимый грузом за время пуска

. (37)

Путь, проходимый грузом за время торможения

. (38)

Путь, проходимый грузом с установившейся скоростью:

, (39)

где h – максимальная высота подъема груза.

Время движения груза с установившейся скоростью

. (40)

Время паузы

. (41)

По полученным значениям строим тахограмму работы электропривода

Рис. 2 Тахограмма работы электропривода

8 Расчет нагрузочной диаграммы электродвигателя

На основании основного уравнения движения электропривода определяем величину суммарного момента на валу двигателя во всех возможных режимах работы

(42)

1) Подъем с грузом:

пуск: ;

установившийся режим ;

торможение .

2)Спуск с грузом.

пуск: ;

установившийся режим ;

торможение .

3)Подъем без груза.

пуск: ;

установившийся режим ;

торможение .

4)Спуск без груза.

пуск: ;

установившийся режим ;

торможение .

Рис.3 Нагрузочная диаграмма работы электропривода

Нагрузочная диаграмма используется для предварительной проверки двигателя по нагреву, пусковой и перегрузочной способностям.

Для проверки двигателя по нагреву используется несколько методов: метод средних потерь и методы эквивалентных величин (тока, момента и мощности). Первый из них является наиболее точным, остальные же (методы эквивалентных величин) отличаются большей удобностью применения, но меньшей точностью.

Для двигателей, работающих с постоянным магнитным потоком (двигатели постоянного тока независимого и параллельного возбуждения, асинхронные двигатели, работающие при скольжениях, меньших критического), наиболее часто применяется метод эквивалентного момента, для которого условием правильного выбора двигателя по нагреву является условие

, (43)

19,2<30,1

где MЭКВ – эквивалентный момент нагрузки;

MН – номинальный момент двигателя.

Эквивалентный момент нагрузки двигателя, работающего в повторно-кратковременном режиме с переменной нагрузкой определяется следующим образом

, (44)

где n – число рабочих интервалов в цикле, n = 12;

m – количество пусков и торможений в цикле, m = 4;

k – количество пауз, k = 4;

l – количество интервалов установившегося движения, l = 4;

α0 – коэффициент ухудшения условий охлаждения при пуске, торможении двигателя с самовентиляцией, для асинхронных двигателей α0 ≈ 0,5;

β0 – коэффициент, учитывающий ухудшение охлаждения самовентилируе­мого двигателя при отключении, для закрытых двигателей β0 = 0,5, для защищенных β0 = 0,3.

Номинальный вращающий момент двигателя

. (45)

Номинальная угловая частота вращения ротора

(46)

Номинальная скорость вращения ротора

. (47)

После этого выполняем перерасчет на стандартную продолжительность включения.

Согласно ГОСТ 185-53 установлены следующие стандартные продолжи­тельности включения ПВСТ: 15, 25, 40 и 60%; при этом принято, что продолжительность одного цикла не превышает 10 мин.

Расчетная продолжительность включения

. (48)

Уточняем требуемую мощность двигателя

, (49)

где ПВСТ – ближайшее значение стандартной продолжительности включения.

Если требуемая мощность электродвигателя больше, чем у предварительно выбранного, то необходимо выбрать двигатель большей мощности.

9 Проверка электродвигателя по перегрузочной способности и условиям пуска

При выборе асинхронного двигателя из двигателей серии 4А, предназначенных как для продолжительных, так и повторно-кратковременного режима, рекомендуется проверить его по перегрузке и условиям пуска.

Проверка двигателя по перегрузочной способности.

Выбранный двигатель проходит по условиям перегрузки если выполняется следующее условие

, (50)

75,3>47,3

где MК – критический момент двигателя;

Mmах – максимальный момент нагрузки, определяемый из нагрузочной диаграммы.

Критический момент двигателя

(51)

Проверяем условие (54). Если условие не выполняется, то необходимо выбрать двигатель большей мощности.

Проверка двигателя по условиям пуска.

Выбранный двигатель проходит по условиям пуска, если выполняется следующее условие

, (52)

60,2>47,3

где МП. – пусковой момент двигателя;

МП.НАГР. – наибольший пусковой момент нагрузки, определяемый из нагрузочной диаграммы.

Пусковой момент электродвигателя

(53)

Проверяем условие (56). Если условие не выполняется, то необходимо выбрать двигатель большей мощности.