1. З-н ЭМИ (формулир. Фарадея и Максвелла). Принцип Ленца. З-н Ампера.
Фарадей:
При
движении проводника в магнитн поле в
нём индуктируется электродв сила (ЭДС).
e= -BlV, где В – магн.индукц. поля (Тл=В*с/м^2), l – длина проводника в магн. поле, V – скорость движ проводника.
Направление ЭДС определ по правилу правой руки. Знак минус выражает правило Ленца: индуктируемая ЭДС противодействует причине, её вызывающей. Максвелл: V=dx/dt; ldx=dS; BdS=dФ =>
ЭДС ЭМИ в контуре равна скорости изменения магнитн потока (Вб) через контур, взятой с противоположн знаком.
Если
магнитн поток создается с помощью
катушки, то имеет место потокосцепление.![]()
Потокосцепление – общий магнитн поток, сцепляющийся со всеми витками катушки. сумме потоков, сцепляющихся с отдельн витками. e=-ddt.
З-н Ампера: если проводник замкнуть, то в нем появится ток, и на проводник будет действов ЭМ сила Ампера: fэм=Bli. Направлен по прав лев руки.
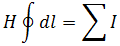
2. З-н полного тока. З-н Ома для магнитной цепи.
Полн ток: Линейн интеграл по замкн контуру от напряженности магнитного поля равен сумме токов в проводниках, охваченных этим контуром.
Направ
силовых линий поля по правилу буравчика.![]()
H – напряженность магн поля (А/м); dl – элемент замкнутого контура. Если витки катушки размещены на ферромагнитн материале (магнитопроводе), то магнитн поток распределяется равномерно.
HLср = IW; H = IW/Lср= F/Lср, где F – магнитодвижущая сила, Lср – средняя длина магнитной силовой линии в магнитопроводе.
З-н Ома для магн цепи: Магн цепь – совокупн ферромагнитных и немагнитных участков, по которым замыкаются магнитные силовые линии (магнитопровод, сердечник).
З-н: В неразветвлённой магнитн цепи магнитный поток пропорционален магнитодвижущ силе и прямопропорц полному магнитн сопротивлению.
Ф=F/Rм, где F=I*W – магнитодвижущ сила.
Rм= Lср/мюS; мю – абсолютная магнитная проницаемость сердечника.
3. З-н Ома для участка цепи и замкнутой цепи. З-ны Кирхгофа.
Эл цепь – совокупн устр-в, образующих замкнут контур и обеспечивающих прохождение эл тока.
R0
– внутр сопротивл источн электроэнерг
(Ом); U0
– напряжен источника (В); U
– падение напряжения на потребителе
R.
Если пренебречь сопротивл проводов, то U0=U, тогда I = U/R – з-н Ома участ цепи.
I=U/R0+R – з-н Ома для замкнутой цепи.
З-ны Кирхгофа: Ветвь эл цепи – участок, по ктрому протекает один и тот же ток. Узел эл цепи – место соединен 3 и более ветвей.
1 з-н Кирхгофа: Сумма токов в проводниках, сходящихся к узлу цепи равна 0. (токи, направл к узлу берут с одним знаком, от узла – с другим).
2
з-н Кирхгофа:
Сумма ЭДС источников в любом замкнутом
контуре цепи равна сумме падений
напряжений на всех участках конутра.![]()
ЭДС и токи, совпадающ с направлен обхода контура, принимают положительн, а не совпадающ – отрицательными.
Простейший
генератор: магнит + ферромагнитн
сердечник цилиндрич формы, в пазах
ктрого уложен виток провода.
При постоян частоте вращения w в каждой активной стороне витка по з-ну ЭМИ индуктируется ЭДС. |e’|= BLV. Полюсам придают сферич форму, чтобы индукц поля вдоль окружн сердечника изменялась по синусоид з-ну.
B=Bm*sina.
a
зависит от частоты и врмени (a=wt).
e=Em*sin(wt), где Bm и Em – max или амплит знач
Период
T
(с) – время, за ктрое происходит полн
цикл изменения.
Частота f (Гц) обратн периоду.
Угловая
частота: w=2pi*f
(рад/с)
e=Em*sin(wt+ф),
где
ф – начальная фаза, ктрая определяет
значен ф-ции при t=0.
Если синусоида сдвинута влево от нач
координ, то ф>0 и наоборот.
Сдвиг по фазе – разность м/у начальными фазами двух переменных величин, изменяющихся во времени периодически с одинаковой частотой.
Амплитудн значен – максимальное значение.
Измерительн приборы переменного тока показывают действ (среднеквадратичн) значения.
E,U,I – среднеквадратичные значения.
Перемен ток с действующ значен эквивалентен по тепловому действию пост току такого же значения.
I=Im/
; E=Em/
; U=Um/
;
Средн значен синусоидальн ф-ции за ½ периода:
Eср=2Em/pi; Uср=2Um/pi; Iср=2Im/pi;
6. Изображение синусоид ф-ций вращающимися векторами. Понятие о векторных диаграммах.
По вращающемуся вектору можно определить мгновенное значение синусоидальной ф-ции.


Векторная диаграмма – совокупность векторов, изображающ син ф-ции времени одной частоты.


Длина результир вектора определит амплитуду суммар тока, а его положен определит сдвиг фазы.
7. Активн нагрузка в цепи перемен тока. Времен и векторн диаграммы. Мгновен знач мощности.
Активн нагрузка – участок цепи, на ктром вся эл энергия необратимо преобразуется в тепловую.

8.
Индукт нагрузка в цепи перемен тока.
Времен и векторн диаграммы. Мгновен
знач мощности.

Вводят понятие реакт мощн Ql=I^2*Xl=U^2/Xl (ВАр)
9. Ёмкостн нагрузка в цепи перемен тока. Времен и векторн диаграммы. Мгновен знач мощности.

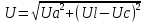
10. Неразветвл цепь перемен тока с последовател соединен r,L,C. Векторн диаграмма для случая XL>Xc. Треугольн сопротивлений и мощностей.
В последоват цепи общим для всех элементов явл-ся протекающ по ним ток, пэтому именно с него начинаем построение векторной диаграммы.
oAB – треугольник напряжений.
U^2=Ua^2+Up^2
Если разделить все стороны треугольн напряжений на ток, то получим подобный ему треугольник сопротивлений.
z
– полное
сопротивл цепи.

I=U/z – з-н Ома



Если умножить все стороны треуг напряжен на ток, то получим подобный ему треуг мощностей.
S
– полная мощность,
(ВА)
(Вт);
(ВАр)
XL=Xc – случай резонанса напряжений.
1)UL=Uc
;

;
-
ток наибольший.
Если XL=Xc >> r, то UL=Uc >> U. Резонанс вызывает скачки напряжен, тока, нагрев.
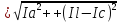
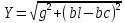
12. Разветвл цепь перемен тока с параллельным соединен r,L,C. Векторн диаграмма для случая bL>bc. Треугольн проводимостей и мощностей.
;
;
;
;
где
g,
bL,
bc
– проводимости.
i=ia+iL+ic;
.


Если раздел все стороны треугольн токов на напряжение, то получим подобный ему треугольн проводимостей.
Y – полная проводимость.
З-н Ома: I=U*Y;

;

Если умножить все стороны треуг токов на напряж, то получим подобный ему треугольн мощностей.
(ВА)
bL=bc – случай резонанса токов.
1)IL=Ic
;

;
-
ток минимальный.
Если bL=bc >> g, то IL=Ic >> I.
Резонанс вызывает скачки напряжен, тока, нагрев.
Вращающ векторы синусоидальн ф-ций можно представить комплексными числами. При этом геометрич операции с векторами заменяются алгебраич операциями с комплексными числами.
Формы
записи комп числа:
1)
Алгебраическая
; a1
и a2
– проекции вектора на вещественную и
мнимую оси; j
– мнимая единица.
Длина вектора - модуль, а угол - аргумент комлексн числа.
;
;
;
2)
Тригонометрическая:
3)
Показательная:

2 комплексных числа назыв сопряженными, если их мнимые части отличаются знаком.
У
синусоидальн ф-ций угол зависит от
частоты, времени и начальной фазы.

,
где действ значение U
– модуль, а начальная фаза ψu
– аргумент.

З-н
Ома:
,
где
- комплекс полного сопротивления,
-
комплекс полн проводимости.
