Материал: Элементы линейной алгебры. Глушко Е.Г., Дубровская А.П

Внимание! Если размещение файла нарушает Ваши авторские права, то обязательно сообщите нам

 

 

 

 

 

 

 

0

 

1

 

 

1

 

.

 

e

=(-1,1); e

 

 

 

 

 

 

,

 

 

 

 

 

 

 

 

 

 

 

 

 

 

 

2

 

 

 

 

2

 

 

2

 

 

2

 

 

 

 

 

 

 

 

 

 

 

 

 

 

 

 

3. Строим новую систему координат, взяв в качестве

 

0

 

 

0

. В новой системе координат уравнение

нового базиса e

 

,e

 

1

 

 

2

 

 

 

 

 

 

 

 

 

 

 

 

 

 

 

кривой примет вид:

 

 

 

 

 

 

 

 

 

 

 

 

 

 

 

 

 

 

 

 

 

1

x 2

 

1

x 2

 

a .

 

 

 

 

 

 

 

 

 

 

 

 

 

 

 

 

 

 

 

2

1

 

2

2

 

 

 

 

 

 

 

 

Если a>0, то получим равностороннюю гиперболу:

x 2

 

x 2

 

1

 

2

 

1.

 

 

 

 

 

 

 

( 2a )2

 

( 2a )2

 

 

Если a<0, то получим равностороннюю гиперболу, сопряженную к рассмотренной выше:

 

x

2

 

 

 

x

2

 

 

2

 

1

 

1.

 

 

 

 

 

 

 

 

 

(

 

2a )2

(

 

2a )2

 

 

 

Пример. Привести к каноническому виду уравнение кривой:

5 x12 +4x1x2+8 x22 -32x1-56x2+80=0.

Решение.

1.Записываем симметрическую матрицу, порожденную квадратичной формой 5 x12 +4x1x2+8 x22 :

A5 2 .

2 8

2.Находим собственные значения и собственные векторы этой матрицы:

 

5

2

0;

2-13 +36=0, 1=4, 2=9,

 

2

8

 

 

 

 

 

 

 

Предположим, e1

=(l1,m1), e2

=(l2,m2), следовательно,

(5 4)l1 2m1 0 , 2l1 4m1 0 .

131

Пусть l1=2, тогда m1=-1,

т.е.

 

=(2,-1).

e1

Аналогично,

 

=(1,2).

Таким

образом,

новый базис

e2

определяется

ортами

 

0

2

 

1

 

 

0

1

 

 

2

и,

 

e

 

 

 

,

 

 

,e

 

 

 

 

 

,

 

 

 

 

 

 

 

 

 

 

 

 

 

 

 

 

 

 

 

1

5

 

5

2

 

 

 

5

 

5

 

 

 

 

 

 

 

 

 

 

 

 

 

 

 

 

 

 

 

 

 

 

 

 

 

 

 

2

 

 

 

1

 

 

 

 

 

 

 

 

 

 

 

 

 

 

 

 

 

 

 

 

 

 

 

 

 

 

 

 

 

 

 

 

 

 

 

 

 

 

 

 

 

 

 

 

 

 

 

 

следовательно,

матрица

перехода T

 

 

5

 

 

5 .

Отсюда

 

 

 

 

 

 

 

 

 

 

 

1

 

 

2

 

 

 

 

 

 

 

 

 

 

 

 

 

 

 

 

 

 

 

 

 

 

 

 

 

 

 

 

 

 

 

 

 

 

 

 

 

 

 

 

 

 

 

 

5

 

5

 

 

 

 

 

следует, что поворот системы координат выполняется на угол

=arctg(-2).

 

 

 

 

 

 

 

 

 

 

 

 

 

 

 

 

 

 

 

 

 

 

 

 

 

 

 

 

 

 

 

3. Группа старших в уравнении (квадратичная форма)

5 x2

+4x1x2+8 x2

в

 

 

 

 

 

 

 

 

новом

 

базисе

будет иметь

1

2

 

 

 

 

 

 

 

 

 

 

 

 

 

 

 

 

 

 

 

 

 

 

 

 

 

 

 

 

 

 

 

канонический вид 4x 2

9x 2 .

 

 

 

 

 

 

 

 

 

 

 

 

 

 

 

 

 

 

 

 

1

2

 

 

 

 

 

 

 

 

 

 

 

 

 

 

 

 

 

 

 

 

 

 

 

Преобразуем члены содержащие x1

и x2

 

в первой

степени, используя формулу X=TX', т.е.:

 

 

 

 

 

 

 

 

 

 

 

x

2

 

 

 

 

x

1

 

 

x

 

 

 

 

 

 

 

 

 

 

 

 

 

 

 

 

 

 

 

 

 

 

 

 

 

 

 

 

 

 

 

 

 

 

 

 

1

5

 

 

 

1

5

 

 

2

,

 

 

 

 

 

 

 

 

 

 

 

1

 

 

 

 

 

2

 

 

 

 

 

 

 

 

 

 

 

 

x

 

 

 

 

x

 

x

 

 

 

 

 

 

 

 

 

 

 

 

 

 

 

 

 

 

 

 

 

 

 

 

 

 

 

 

 

 

 

 

 

 

 

 

 

 

 

2

5

1

5

2

 

 

 

 

 

 

 

 

поэтому

 

 

 

 

 

 

 

 

 

 

 

 

 

 

 

 

 

 

 

 

 

 

 

 

 

 

 

 

 

 

-32x1-56x2=

64x1

32x2

 

56x1

 

 

 

 

112x2

 

 

8x1

 

144x2

.

 

 

 

 

 

 

 

 

 

 

 

 

 

 

 

 

 

 

 

 

 

 

 

 

 

 

 

 

 

 

 

5

 

 

 

 

 

 

 

 

 

 

 

 

 

 

5

 

 

 

 

 

 

 

 

 

 

 

 

 

 

 

 

 

 

 

 

 

Таким образом, в новой системе координат уравнение

кривой принимает вид:

 

 

 

 

 

 

 

 

 

 

 

 

 

 

 

 

 

 

 

 

 

 

 

 

 

 

 

 

 

 

4x 2

9x 2

8

 

 

 

x

 

144

 

x

80

 

0

 

 

 

 

 

 

 

 

 

 

 

 

 

 

 

 

 

 

 

 

 

 

 

1

2

5

 

1

5

2

 

 

 

 

 

 

 

 

 

4. Выделяя полный квадрат по x1

и x2 , получаем:

132

 

 

 

 

 

 

 

 

 

 

 

 

1

2

 

 

 

 

 

 

8

 

2

 

 

 

 

 

 

 

 

 

 

4

x1

 

 

 

 

9 x2

 

36 .

 

 

 

 

 

 

 

 

 

 

 

 

 

 

 

 

 

 

 

 

 

 

 

 

 

 

 

 

 

 

 

 

 

 

 

 

 

 

 

 

 

 

 

 

 

 

 

 

 

 

 

 

5

 

 

5

 

 

 

 

 

 

 

 

 

 

 

 

 

 

 

 

 

 

 

 

 

 

 

 

 

 

 

 

 

 

Обозначим

x

1

 

x" ;

x

 

8

 

 

x"

и выполним

 

 

 

 

 

 

 

 

 

 

 

 

 

 

 

 

 

 

 

 

 

 

 

 

 

 

 

 

 

 

 

 

 

 

 

 

 

 

1

 

 

5

 

 

 

1

 

2

5

2

 

 

 

 

 

 

 

 

 

 

 

 

 

 

 

 

 

 

 

 

 

 

 

 

 

 

 

 

 

 

 

 

 

 

 

 

 

 

 

 

 

 

 

 

 

 

 

 

 

 

 

 

 

 

 

 

 

 

 

 

0

0

) в

параллельный перенос координатных осей базиса ( e

 

,e

 

 

 

 

 

 

 

 

 

 

 

 

 

 

 

 

 

 

 

 

 

 

 

 

 

 

 

 

 

1

 

2

 

 

точку

1

 

,

8

 

.

Во вновь

 

полученной

системе координат

 

 

 

 

 

 

 

5

5

 

 

 

 

 

 

 

 

 

 

 

 

 

 

 

 

 

 

 

 

 

 

 

 

 

 

 

 

 

 

 

 

 

 

 

 

 

x" , x"

уравнение кривой представлено в виде:

 

 

 

 

1

2

 

 

 

 

 

 

 

 

 

 

 

 

 

 

 

 

 

 

 

 

 

 

 

 

 

 

 

 

 

 

 

 

 

 

 

 

 

 

 

 

 

 

 

 

 

 

 

x" 2

 

 

x" 2

 

 

 

 

 

 

 

 

 

 

 

 

 

 

 

 

 

 

 

 

 

 

 

 

 

1

 

 

2

 

 

 

1.

 

 

 

 

 

 

 

 

 

 

 

 

 

 

 

 

 

 

 

 

 

 

 

9

 

 

4

 

 

 

 

 

 

 

 

 

 

 

 

 

 

 

 

 

 

 

 

 

 

 

 

 

 

 

 

 

 

 

 

 

 

 

 

 

 

 

 

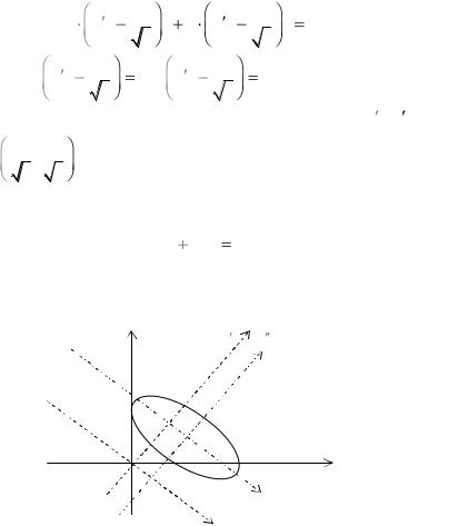
Это каноническое уравнение эллипса с полуосями a=3,b=2.

 

 

 

 

 

 

 

 

 

 

 

 

 

 

x2

 

 

 

 

 

 

 

 

 

 

 

 

 

 

 

 

 

 

 

 

 

 

 

 

 

 

 

 

 

 

 

 

 

 

 

 

 

 

 

 

x2

 

x2

 

 

 

 

 

0

x1

x"1

x'1

7.5. Исследование общего уравнения поверхностей второго порядка

Общее уравнение поверхностей второго порядка содержит:

1)квадраты всех текущих координат;

2)все попарные произведения текущих координат;

133

3)первые степени всех координат;

4)свободный член.

Если в общем уравнении отсутствуют попарные произведения текущих координат, то выделяя полные квадраты и введя замены, что соответствует параллельному переносу системы координат, получаем канонические уравнения поверхностей второго порядка. Поэтому особо рассмотрим случай, когда уравнение поверхностей содержит попарные произведения текущих координат.

Уравнение поверхности второго порядка имеет вид:

3

3

3

 

aij xi x j

2 a j x j a 0 ;

i 1

j 1

j 1

или

a11 x12 +2a12x1x2+a22 x22 +2a13x1x3+a33 x32 +2a23x2x3+

+2a1x1+2a2x2+2a3x3+a=0.

Группа членов второй степени относительно x1,x2,x3, т.е.:

L(x1,x2,x3)=a11 x12 +2a12x1x2+a22 x22 +2a13x1x3+a33 x32 +2a23x23

является квадратичной формой трѐх переменных.

Если теперь перейти к новому базису, взяв в качестве него орты собственных векторов матрицы

a11 a12 a13

A a21 a22 a23 , a31 a32 a33

где a12=a21, a13=a31, a23=a32, то квадратичная форма в новом базисе примет следующий канонический вид:

L( x1 , x2

, x3

)= 1 x 2

+

2 x 2

+

3 x 2

 

 

1

 

2

 

3

( 1, 2, 3 - собственные значения матрицы A), а переменные x1,x2,x3 связаны с переменными x1 , x2 , x3 формулами:

xi=ti1 x1 +ti2 x2 +ti3 x3 ,

где tij - элементы матрицы перехода от старого базиса к новому. Таким образом, переход от старого базиса к новому

134

(базис из ортов собственных векторов матрицы A) позволяет избавиться от попарных произведений текущих координат. От членов же первого порядка можно избавиться параллельным переносом системы координат. В результате мы получим каноническое уравнение поверхностей второго порядка в виде:

1 x1 2 + 2 x2 2 + 3 x3 2 =c.

Будем считать c>0.

Пример. Привести к каноническому виду уравнение поверхности:

2 x12 + x22 -4x1x2-4x2x3=16.

Решение.

1. Выписываем симметрическую матрицу квадратичной формы:

2 2 0 A 2 1 2

02 0

2.Составляем характеристическое уравнение :

 

 

2

 

2

0

 

 

 

 

2

1

 

2

 

0

 

 

0

 

2

 

 

 

и решаем его 3-3 2-6 +8=0:

 

1=4,

2=1,

3=-2.

3.

В базисе из ортов собственных

векторов матрицы A

уравнение поверхности будет иметь следующий канонический вид:

4 x1 2 + x2 2 -2 x3 2 =16;

или

x 2

 

x 2

 

x 2

 

1

 

2

 

3

1.

4

16

8

 

135