Тогда:
Это значит, что амплитуда отражённой волны равна амплитуде падающей волны. При этом фаза отражённой волны с нормальной поляризацией приобретает при отражении дополнительный фазовый сдвиг, равный 180 градусам [1, 7].
1. Рассчитаем коэффициенты отражения и преломления на
границах раздела сред. Найдем коэффициент отражения по формуле:
Подставим значения и рассчитаем коэффициенты отражения:
Знак минус говорит о том, что фаза электромагнитной волны изменяется на 180 градусов.
Найдем коэффициент преломления по формуле:
Подставим значения и рассчитаем коэффициент преломления:
Проверка:
. Найдем угол падения, при котором будет отсутствовать
преломленная волна:
Т.к.
, то преломленная волна будет присутствовать при любом угле
падения волны на границе раздела сред.
Найдем нормальные и тангенциальные составляющие векторов
в средах при условии, что граница не
заряжена.
Найдём волновое сопротивление по формуле:
Найдём абсолютную магнитную величину:
Подставим значения и получим:
Найдём напряженность магнитного поля:
Рассчитаем нормальные составляющие векторов
в первой среде при условии, что
граница не заряжена:
Подставим значения и произведем расчеты:
Подставим значения и произведем расчеты:
Подставим значения и произведем расчеты:
,
Подставим значения и произведем расчеты:
Подставим значения и произведем расчеты:
Тл.

.
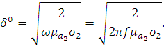
4. Найдём глубину проникновения во вторую среду по формуле:
электромагнитный отражение преломление амплитуда
В данной курсовой работе нами были рассмотрены процессы движения плоских электромагнитных волн сквозь проводящую и диэлектрическую среду, а также рассмотрен механизм их поглощения и отражения.
В результате курсовой работы был произведен анализ процесса
отражения и преломления плоских волн от плоской границы сред. Мы рассчитали
коэффициенты отражения
=-0,189 и преломления
=0,811. Фаза отраженной волны будет
изменяться на 180 градусов, поскольку
<0. Фаза преломлённой волны
остаётся прежней, так как
>0.
При нахождении угла падения, при котором будет отсутствовать
преломленная волна, мы получили, что
=1,545, это говорит о том, что
преломлённая волна будет присутствовать при любом угле падения волны на границе
раздела сред.
Мы рассчитали нормальные и тангенциальные составляющие векторов в первой и второй среде при условии, что граница не заряжена
Также мы рассчитали и получили глубину проникновения волны во
вторую среду:
=
1. Бессонов Л.А. Теоретические основы электротехники: Электромагнитное поле: Учебник для студентов вузов.-7-е изд., перераб. и доп.- М.: Высш. школа, 2008. - 231 с.
2. Волынский В.А. и др. Электротехника /Б.А. Волынский, Е.Н. Зейн, В.Е. Шатерников: Учеб. пособие для вузов. - М.: Энергоатомиздат, 2007.-528с.
. Материалы в приборостроении и автоматике: Справочник / Под ред. Ю.М. Пятина. - М.: Машиностроение, 1992. - 528 с.
. Матханов П.А. Основы анализа электрических цепей. - М.: Высш. шк., 1990. - 400 с.
. Матханов П.А. Основы анализа электрических цепей. - М.: Высш. шк., 1990. - 400 с.
. Нейман Л.Р., Демирчян К.С. Теоретические основы электротехники. В 2-х т.: Учебник для вузов. Том 1. - 3-е изд., перераб. и доп. - Л.: Энергоиздат, 2007. - 536 с.
. Теоретические основы электротехники. В 3-х ч. - Ч. I. Атабеков Г.И. Линейные электрические цепи: Учебник для вузов. - 5-е изд., испр. и доп. - М.: Энергия, 2008. - 592 с.
. Теоретические основы электротехники. В 3-х ч. - Ч. I. Атабеков Г.И. Линейные электрические цепи: Учебник для вузов. - 5-е изд., испр. и доп. - М.: Энергия, 2008. - 592 с.
. Электротехника и электроника в 3-х кн. Под ред. В.Г. Герасимова Кн.1. Электрические и магнитные цепи. - М.: Высшая шк. - 2009. - 386 с.