Материал: Электромагнитные волны в проводящей среде и диэлектрики: теория и практика

Внимание! Если размещение файла нарушает Ваши авторские права, то обязательно сообщите нам

Электромагнитные волны в проводящей среде и диэлектрики: теория и практика

Содержание

Введение

. Движение электромагнитных волн в веществе

.1 Плоские волны в идеальном диэлектрике

.2 Электромагнитные волны в однородной проводящей среде

. Плоские волны на поверхностях раздела двух сред

.1 Отражение и преломление плоской однородной волны на плоской поверхности раздела двух сред

.2 Формулы Френеля

.3 Отражение и преломление на границе двух идеальных диэлектриков

.4 Отражение и преломление на границе раздела с проводником

. Практическая часть

Заключение

Список использованной литературы

Введение


В вещественной среде существуют не только стационарные и ква-зистационарные поля, но и распространяются электромагнитные волны. В последней главе курса проанализированы особенности электромагнитных волн в веществе. Свет по своей макроскопической природе - электромагнитная волна. В данной работе показано, как некоторые исходные положения, оптики раскрываются на основе теории Максвелла.

Изучение явлений отражения и преломления электромагнитных волн представляет определённый практический интерес. В частности изучение плоских электромагнитных волн. Плоской электромагнитной волной называется волна, имеющая плоский фронт. Плоская волна с неменяющейся амплитудой называется плоской однородной волной. Свойства отражения и преломления электромагнитной волны используются довольно часто.

Актуальность курсовой работы заключается в том, чтосвойства отражения и преломления электромагнитных волн используются в различных областях науки и техники - медицине (например: в микроскопических методах исследования), биологии, астрономии, физике, оружейных технологиях (в оптических прицелах), защите и добычи информации (анализ возможных каналов утечки информации в волоконно-оптических линиях связи: нарушение полного внутреннего отражения) и др.

Целью работы является рассмотрение закономерностей движения полоских электромагнитных волн в проводящей и дмэлектрической среде.

Основными задачами, выделяемыми в рамках данной цели, являются:

-    характеристика движения электромагнитных волн в диэлектрике и однородной проводящей среде;

-       описание закономерностей отражения и преломления плоских волн на плоской поверхности раздела сред и на границе раздела с проводником;

-       решение практической задачи.

1. Движение электромагнитных волн в веществе

.1 Плоские волны в идеальном диэлектрике


Допустим, что пространство заполняет однородный диэлектрик с постоянными диэлектрической и магнитной проницаемостями е и fi и проводимостью, равной нулю (γ = 0).

Такая модель диэлектрика уже использовалась при изучении стационарных процессов, и она достаточно точно отображает реальные свойства сред в стационарных полях. В случае переменных полей, особенно при высоких частотах колебаний, указанные допущения оказываются слишком грубыми. Тем не менее с помощью этой простой модели удается получить многие важнейшие качественные заключения об электромагнитных, в частности световых, волнах в веществе. Воспользуемся уравнениями поля в потенциалах для однородного диэлектрика. При отсутствии свободных зарядов применяется волновая калибровка: φ = 0, divА= 0 [2].

Уравнения приобретают вид:

  = 0

Общее решение волнового уравнения (1.1) можно представить в виде суперпозиции гармоник всевозможных частот и направлений распространения.

Отдельная гармоника есть плоская монохроматическая волна:

= 0cos(t)

Она отличается от таких же по форме волн в вакууме скоростью распространения. По виду уравнения (1.1) заключаем, что в среде фазовая скорость волны равна:

 

где с - фазовая скорость электромагнитных волн в вакууме.

Соответственно изменяется соотношение между волновым числом k и циклической частотой w. Если для вакуума выполнялось равенство

,

то теперь для волн в веществе:

 

К векторам поля  и  перейдем с помощью формул их связи с потенциалами:

 

Получим для волны в диэлектрике:

 

Условие (1.2) дает A0 ± k, а с учетом формул (1.6) далее следуют поперечность электромагнитных волн в веществе, правило правой тройки для последовательности векторов , , , связь между модулями векторов поля:

 

Последнее соотношение приобретает симметричную форму, если его записать для модулей векторов  и :

 

Из формул (1.7) также видно, что векторы  и  изменяются во времени синфазно. В идеальном диэлектрике ε не зависит ни от величины напряженности поля , ни от его частоты w.

Поэтому фазовая скорость распространения волн в среде не зависит от частоты и равна групповой скорости. Говорят, что идеальная среда, как и вакуум, не обладает дисперсией. Однако опыт свидетельствует о зависимости распространения электромагнитных волн от частоты, что объясняется в соответствии с формулой (1.4) зависимостью диэлектри-ческой проницаемости среды от частоты колебаний поля:

 

(для диэлектриков μ = 1, и эту величину можно исключить из рассмотрения).

Таким образом, реальные среды обладают дисперсией. Определяя волновое число для среды с дисперсией тем же соотношением (1.7), что и для идеального диэлектрика, получаем для произвольного волнового поля гармоники вида (1.8) [5, c.81 - 83]:

 

По-прежнему векторы , ,  образуют правую тройку, причем Е = с'В, но теперь скорость волн зависит от частоты:


Поэтому усложняется зависимость от частоты волнового вектора (cоответственно длина волны

λ = ):


При наличии дисперсии групповая скорость (скорость волнового пакета или скорость переноса энергии) может заметно отличаться от фазовой скорости гармоник. Вычислим плотность энергии и импульса волны в среде. Согласно общей формуле имеем:

 

С помощью равенства (1.11) получим:

 

 

Это свидетельствует о равном вкладе электрической и магнитной составляющей поля в энергию волны.

Плотность потока энергии определяется соотношением:

 

Эта формула может быть записана в нескольких видах:

 

где 0 = .

Обратимся теперь к импульсу волн в веществе. Сопоставим выражение для плотности импульса (1.17) с формулой для плотности энергии и потока энергии.

 

Векторы и  имеют одинаковое направление. С помощью соотношений (1.4) и (1.12) заключаем, что для их модулей справедливо равенство (1.18), откуда следует [5, 9]:

 

w = gc’


 

Теперь, как это нетрудно подсчитать, w = gc в соответствии с теорией относительности. Однако в таком случае теряется связь между импульсом и потоком энергии: энергия переносится со скоростью с', а импульс соответствует движению энергии со скоростью с. По этой причине считают, что нельзя однозначно определить импульс электромагнитного поля в рамках феноменологической модели вещества, отраженной в уравнениях [1, 9]:

 

.2 Электромагнитные волны в однородной проводящей среде


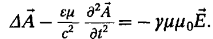
Рассмотрим вопрос о распространении электромагнитных волн в проводящей среде, т. е. при условии у . Будем, как и в других случаях, опираться на уравнения поля в потенциалах, для того чтобы использовать их готовые решения. Уравнения векторного потенциала поля совместно с материальным уравнением для зависимости плотности тока в среде от проводимости  =  приводит к следующему исходному для поставленной задачи уравнению [2]:

 

Объемные заряды в проводниках отсутствуют. Применим волновую калибровку потенциала. Если

,

то уравнение (1.22) примет вид:

 

Ищем решение уравнения (1.23), совпадающее по форме с плоскими волнами, распространяющимися вдоль оси Ох:

 

Подстановка этого выражения в уравнение (1.23) приводит к равенству

 

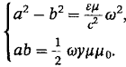
Таким образом, модуль волнового вектора q в предлагаемом решении оказался комплексным числом:

 

Чтобы выяснить физический смысл соответствующей волны, выделим в комплексном q действительную и мнимую части: q = а - ib.

Возведя последнее равенство в квадрат и сравнивая с уравнением (23.18), получаем систему уравнений:

 

Решая систему относительно а и b, имеем:

 

 

Отсюда

= ± (k - is),

а решение для потенциала поля в проводнике таково:

 

Это волна с вещественным волновым вектором k и переменной вдоль луча амплитудой. Поскольку физического смысла неограниченно растущая амплитуда не имеет, то при х > 0 используется только решение со знаком "минус" перед $. Окончательно для волны потенциала, распространяющейся в положительном направлении оси Ох, имеем [2, 4]:

 

Отсюда видно, что волна в проводящей среде затухает. Затухание характеризуется параметром s, зависящим от свойств среды и частоты волны. Для всех веществ, в которых предположение о постоянстве е и имеет смысл, 1. Поэтому коэффициент затухания s определяется диэлектрической постоянной с и проводимостью среды γ.

При низких частотах

 

этот параметр уже получен в задаче о скин-эффекте (связь явлений распространения волн в проводящей среде и скин-эффекта как соответствующего предельного случая очевидна).

Если среда является хорошим проводником, то затухание так велико, что о распространении волн в ней говорить не приходится. Количественная оценка для металлов с помощью формулы (1.21) показывает, что для частот видимого света амплитуда волн уменьшается в е раз на отрезке

м,

т. е. на расстояниях, много меньших длины волны. Это значит, что волны в проводнике не распространяются.

При падении электромагнитной волны на поверхность проводника происходит поглощение и отражение. Переменное электромагнитное поле возбуждает токи в очень тонком  поверхностном слое проводника, а с их помощью генерируется отраженная или рассеянная волна, часть падающей энергии переходит в джоулево тепло. На этом свойстве проводников основано экранирование от электромагнитных волн с помощью металлических оболочек, футляров, кожухов.

Как показывает формула (1.24), в среде имеет место зависимость волнового вектора k от проводимости у и диэлектрической проницаемости £, носящая название дисперсии проводящей среды. Дисперсия приводит к зависимости скорости распространения волн (а значит, и показателя преломления проводящей среды) от частоты.

В соответствии с формулой (1.21) в среде (1.32) функция k(w) задана соотношением (1.29) [5, c.174 - 175].

 

Рассмотрим сначала предельный случай идеального диэлектрика (у= 0).

Из формулы (1.30) получим:

 

Подставляя найденное значение k в формулу (1.31), имеем:

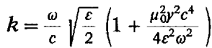
Теперь обратимся к слабопроводящей среде с малой, но отличной от нуля проводимостью и выполним оценку для k. Считая γ малой величиной, с помощью формулы (23.20) имеем

 

Как и ожидалось, волновой вектор и скорость волн в проводящей среде оказались зависящими от частоты колебаний и проводимости среды. Имеет место дисперсия проводящей среды. Определим также характер волн для векторов поля в слабопроводящей среде, для чего найдем векторы поля через потенциал (1.29). При волновой калибровке:

 

Для того чтобы придать этим выражениям удобный для анализа вид, необходимо записать комплексные множители ш и s + ik в экспоненциальной форме, т. е. выделить вещественные амплитуды волн. Поскольку

,

то справедливо: