Материал: Экономическая стратегия развития предприятия в современных условиях в Республике Казахстан

Внимание! Если размещение файла нарушает Ваши авторские права, то обязательно сообщите нам

Для наступательной тактики характерно применение не столько оперативных, сколько стратегических мероприятий. В этом случае не ряду с экономными, ресурсосберегающими мероприятиями проводятся активный маркетинг, изучение и завоевание новых рынков сбыта, политика более высоких цен, увеличение расходов на совершенствование производства за счет его модернизации, обновления основных фондов, внедрения перспективных технологий [13].

Рисунок. 3. 1. Управление кризисными ситуациями предприятия

Для выбора той или иной стратегии управления необходимо ознакомиться с экономическим потенциалом предприятия. он характеризуется несколькими основными чертами.

Черта первая. Экономический потенциал предприятия оценивается его реальными возможностями в избранной сфере деятельности.

Черта вторая. Возможности каждого предприятия (ТОО «Темп-2» в том числе) в сильной мере зависят от наличия у него ресурсов и резервов как вовлеченных, так и не вовлеченных в производство.

Черта третья. Экономический потенциал предприятия определяется не только имеющимися ресурсами и возможностями, но и деловыми качествами работающего на нем персонала. И, прежде всего профессиональные способности менеджеров, их умение организовать выпуск продукции, приносящий максимальный доход.

Сегодня модель экономического потенциала предприятия можно представить так:


Модель экономического потенциала любого предприятия, в том числе и ТОО «Темп-2», определяется:

Объемом и качеством имеющихся резервов (численность занятых и их профессиональные способности; основные производственные и непроизводственные фонды; оборотные фонды; материальные запасы; финансовые и нематериальные ресурсы - лицензии, патенты, технологии информация);

Инновационными и другими способностями (то есть способностями предприятия к обновлению производства, смене технологии, структуры управления и тому подобное).

К основным показателям, характеризующим использование ресурсного потенциала предприятия, можно отнести ресурсоемкость и ресурсоотдачу.

В общем виде стратегия эффективного хозяйствования может быть выражена следующим образом:


где Дс и Рс - соответственно совокупные доходы, остающиеся в распоряжении предприятия после уплаты налогов и добровольных отчислений, и совокупные ресурсы (человеческий капитал и оборотный капитал) предприятия в стоимостной оценке [31].


Стратегия хозяйствования на ТОО «Темп-2» неэффективна и требует совершенствования безубыточности производства.

Для выбора стратегии, приносящей эффективность предприятию ТОО «Темп-2», какой она будет оборонительной (защитной), наступательной или смешанной, необходимо провести анализ безубыточности производства.

В целях изучения зависимости между изменениями объема производства, совокупного дохода от продаж, расходов и чистой прибыли проводят анализ безубыточности производства. При этом особое внимание уделяется анализу выпуска продукции, что позволяет руководству предприятия определить («мертвые») точки объема производства. Критической является такая точка объема продаж, при которой предприятие имеет затраты, равные выручке от реализации всей продукции. В этой системе нет ни прибыли, ни убытков.

Анализ безубыточности производства определяет зависимости между объемом продаж, расходами и прибылью в течении короткого промежутка времени. Период, в течении которого по результатам анализа даются рекомендации, ограничен имеющимися в данное время производственными мощностями.

В международной практике используют три метода определения критической точки: управление, маржинальный доход, графическое изображение.

Метод управления основан на исчислении чистой прибыли по формулам:


Детализируя порядок расчета показателей формулы, ее можно представить в следующем виде:


Таблица 3. 1 Показатели работы предприятия ТОО «Темп-2»

за 2011 год

Показатель

Величина

1. Объем реализации, кв. м.

3686,1

2. Цена за кв. м., т. тенге

3,46

3. Переменные расходы на кв. м., т. тенге

1,753

4. Переменные расходы на весь объем реализации, т. тенге

6463,46

5. Постоянные расходы, т. тенге

3223,54

6. Маржинальный доход, т. тенге

6223,54

7. Выручка от реализации, т. тенге

12757

8. Чистая прибыль, т. тенге

3070


Чистая прибыль = 3686, 1 * 3, 46 - 3686,1 * 1, 753 - 3223, 54 = 3070 т. тенге

Если через Х обозначить какой-то объем производства (количество квадратных метров), при котором предприятие имеет затраты, равные выручке, получим уравнение:

,46 Х - 1,753 Х = 3223,54

Х (3,46 - 1,753) = 3,223,54

Х = 1888,4 КВ. м.,

То есть критический объем производства для ТОО «Темп-2» равен 1888,4 кв. метра.



Графический метод выявляет теоретическую зависимость совокупного дохода от реализации, издержек и прибыли от объема производства на основе построения графиков безубыточности - это график линейной зависимости совокупного дохода и совокупных издержек от изменения объема производства.

Основанием для анализа служит расчет точки безубыточности (критической точки). Зона прибыли и зона убытков распространяется направо и налево от критической точки (рис. 3. 2).

На графике представлена одна точка безубыточности В и приемлемый диапазон объем производства. При этом линия АК показывает постоянные затраты, АД - совокупные издержки, отрезок КД характеризует величину переменных затрат, ОС - выручка от реализации продукции [15].

Если выручку представить как произведение цены продаж единицы продукции (Р) и количества проданных единиц (q), а затраты пересчитать на единицу продукта, то получим развернутое уравнение:

Р * q = Zc + Zv * q

где с - постоянные расходы на весь объем производства продукции;- переменные расходы в расчете на единицу изделия.

Рисунок. 3.2 график безубыточности производства

Это уравнение является основным для получения необходимых оценок. Расчет критического объема производства:


где: q - объем производства продукции;- маржинальный доход на единицу изделия, т. тенге= 1888, 4 т. тенге

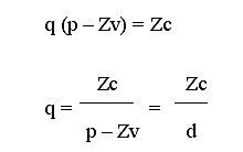
расчет критического объема выручки (реализации). Для определения критического объема реализации используются уравнения критического объема производства. Умножив левую и правую части этого уравнения на цену (Р), получим необходимую формулу:


где условные обозначения соответствуют принятым ранее.

. расчет критического уровня постоянных затрат.

Для расчета используется исходная формула выручки.

= Zcost + Zvar

Отсюда имеем

= N - Zvar = p q - Zv q = q (1 - Zv), то есть Zcost = q d= 6223,54 т. тенге

. расчет критической цены реализации. Цена реализации определяется исходя из заданного объема реализации и уровня постоянных и переменных затрат в расчете на 1 м².

Имеем

  


. расчет уровня минимального маржинального дохода. Если известны величина постоянных расходов и ожидаемая величина выручки, то уровень минимального маржинального дохода в процентах к выручке определяется из формулы:


Таким образом, для того, чтобы предприятие не несло убытков критический объем производства должен составить не выше 1888,4 кв. м., объем выручки от реализации при этом 6606, 007 т. тенге, объем критического уровня постоянных затрат не превышать должен маржинального дохода, то есть 6223,54 т. тенге, критическая цена реализации 2, 63 т. тенге за квадратный метр, уровень маржинального дохода критический не должен превышать 25, 3 % от выручки.

Предприятие ТОО «Темп-2» выполняет объем производства работ выше критического, но, тем не менее, находится в критической ситуации, поэтому необходимо проверить издержки, прибыль и объем производства на оптимальность [42].

Оптимизация прибыли, издержек и объема производства.

Объем производства продукции, цена продаж и издержки находятся в определенной функциональной зависимости друг от друга. Поэтому получение максимальной прибыли возможно при определенных сочетаниях между этими величинами. При принятии решений, нацеленных на увеличение прибыли предприятия, необходимо учитывать предполагаемые величины предельного дохода и предельных издержек. Предельный доход - это прирост выручки от реализации на единицу прироста количества производимого продукта. Соответственно предельные издержки равны приросту затрат на производство продукции, приходящемуся на единицу прироста количества продукта. Чтобы прибыль была максимальной, необходимо равенство предельных издержек и предельного дохода.

Введем следующие условные обозначения:-количество товара;

Р - цена единицы товара;* Р - доход (выручка) от реализации товара;

С - издержки производства (затраты);- прибыль от реализации.

Тогда стремление получить максимальную прибыль может быть представлено в формальном виде следующей функцией:

(Р * Q) - С = max

Применение предельного дохода к этой функции дает следующее соотношение:


Отсюда следует, чтобы прибыль была максимальной необходимо равенство предельных издержек и предельных доходов. Это соотношение позволяет найти оптимальный размер объема производства при известных функциях спроса Р = f (Q) и издержек С = q (С) [16].

Проведем анализ на оптимальность объема производства по предприятию ТОО «Темп-2». Предварительно сделаем необходимые выписки исходных данных для последующих расчетов (таблица 3. 2).

Таблица 3.2 Исходные данные для анализа

Показатель

Значение по годам


2009 г.

2010 г.

2011 г.

1. Производство продукции в натуральном выражении (Q), кв. м.

1935,12

3394,2

3686,1

2. Цена единицы продукта (Р), т. тенге

2,93

2,93

3,46

3. Затраты (издержки производства) по полной себестоимости (С), т. тенге

8751

8916

9687

4. Выручка от реализации (Р * Q),т. тенге

5667

9940

12757

5. Прибыль (R), т. тенге

-3084

1024

3070


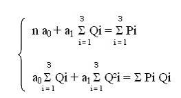
Анализ зависимости между ценой продукта и его количеством в динамике позволяет выбрать для функции спроса линейную форму вида P = a0 + a1Q. По методу наименьших квадратов определяются неизвестные параметры a0 и a1 на основе составления и решения системы нормальных уравнений вида


где n - число наблюдений (лет),

Рi - цена единицы продукта,- количество продукции в натуральном выражении.

При подстановки данных получим:


Тогда, функция спроса примет вид Р = 2,4987268 + 0,0002023Q

Для функции издержек выбрана так же линейная форма вида С = в0 + в1Q. Неизвестные параметры в1 и в0 также находятся по методу наименьших квадратов на основе составления и решения системы уравнения вида


Тогда функция издержек примет вид


Таблица 3. 3 Анализ оптимальности показателей

Показатель

Фактически 2011 г.

Оптимум

Отклонение

1. Показатель продукции в натуральном выражении, кв. м.

3686,1

5190,582

1504,482

2. Цена единицы продукции, т. тенге

3,46

3,54878

0,08878

3. Затраты по полной себестоимости, т. тенге

9687

9989,155

302,155

4. выручка от реализации, т. тенге

12757

18420,233

5663,233

5. прибыль, т. тенге

3070

8431,078

5361,078


Применение предельного анализа показывает, что у предприятия имеются возможности увеличить прибыль на 5361, 078 т. тенге (40,815 %) за счет увеличения объемов производства и реализации продукции. При этом затраты предприятия возрастут всего на 302, 155 т. тенге, или примерно на 3,1 %. Оптимальная цена продукта составит 3, 54878 т. тенге, что выше фактической цены на 2, 6 %.

Предприятие может в перспективе придерживаться стратегии, направленной на рост объемов производства, однако необходимо при этом сохранить достигнутый уровень затрат на производство или увеличить его лишь до оптимального уровня.

Таким образом, на основе проведенного анализа во второй главе, анализа безубыточности производства и оптимизации в третьей главе пришли к выводу, что для предприятия ТОО «Темп-2» приемлема смешанная стратегия управления кризисной ситуацией, то есть защитные мероприятия сопровождаются наступательными: ростом объема производства до оптимального, разработка маркетинговых программ и др. защитные мероприятия включают сокращение затрат.

.2 Активизация сбытовой деятельности предприятия

Для большинства предприятий и ТОО «Темп-2» не является исключением, характерны общие проблемы, связанные с «наследием прошлых лет». Однако главной проблемой этих предприятий является практически полное отсутствие планов маркетинга и развития предприятия, преимущественно из-за существовавшего ранее и частично сохраненного госзаказа.