нюватиме 0, а формула A → B – 1), а також існує такий набір, на якому обидві формули A та B набуватимуть однакових значень (на цьому наборі обидві формули A ~ B та A → B дорівнюватимуть 1). Тоді на першому із цих наборів формула B → A дорівнюватиме 0, а на другому вона дорівнюватиме 1. Отже, формула
B→ A – нейтральна.
9.Відомо, що B A → ¬ A. Що можна сказати про формулу A?
Формула A є суперечністю. Якщо припустити, що формула A не є суперечністю, то вона виконувана, тобто принаймні на одному наборі значень пропозиційних змінних формула A набуватиме значення 1. Тоді на цьому наборі формула A → ¬ A дорівнюватиме 0, що суперечить умові задачі. ◄
Порядок виконання операцій у формулі визначається за до-
помогою дужок. Задля зменшення їх кількості випускають зовнішні дужки й запроваджують такий порядок (пріоритет) виконання операцій у разі відсутності дужок: ¬, , , →, ~ (за спаданням). Часто у формулах алгебри висловлень випускають знак кон'юнкції і замість a b записують ab.
Для визначення порядку виконання операцій у формулі пріоритету операцій не достатньо. Потрібно ще вказувати для однакових операцій, групуються вони зліва направо чи справа наліво. Наприклад, операції та групуються зліва направо, а операція → – справа наліво. Тому для формули a b c дужки розставляємо таким чином: ((a b) c), для формули a → b → a дужки розставляємо так: (a → (b → a)). Зазначимо, що для операцій та порядок групування не є суттєвим, але для операції → він є важливим. Тому для формули a → b → a при групуванні дужок справа наліво отримаємо формулу (a → (b → a)), яка не еквівалентна попередній формулі (a → (b → a)). Переконайтесь у цьому самостійно. Для операції еквівалентності групування не використовують.
Приклад 1.10. Розставитидужки у формулі: a → b → ¬ b a → c a ¬ c.
► Починаємо із пошуку операцій найвищого пріоритету й беремо відповідну підформулу в дужки. Тут операцією з найви-
22
щим пріоритетом є заперечення. Воно зустрічається двічі. Отримуємо формулу
a → b → (¬ b) a → c a (¬ c).
Наступна за пріоритетом операція – це . Така операція має два аргументи. Беремо відповідні підформули в дужки:
a → b → ((¬b) a) → c (a (¬ c)).
Далі виокремлюємо підформулу з операцією . Дістали a → b → ((¬b) a) → (c (a (¬ c))).
Наступна за пріоритетом операція – імплікація →. Однак тут треба врахувати порядок групування, тому отримуємо остаточний результат:
(a → (b → (((¬ b) a) → (c (a (¬ c)))))). ◄
Структура формули. Розстановка дужок у формулі вказує не лише на порядок виконання операцій, а фактично задає її структуру. Тут важливими є поняття головної операції у формулі та її аргументів.
Приклад 1.11. Проаналізувати структуру формули
(a → (b → (((¬ b) a) → (c (a (¬ c))))))
із прикладу 1.10.
► Головною буде перша імплікація (позначаємо головну операцію зірочкою *). Маємо такий запис:
( a →* (b → (((¬b) a) → (c (a (¬ c)))))).
Далі аналізуємо підформули. Підформули
a та (b → (((¬ b) a) → (c (a (¬ c)))))
задають перший і другий аргументи цієї операції. Для другої підформули головною буде перша імплікація, тобто
(b →* (((¬ b) a) → (c (a (¬ c))))).
Далі, у підформулі
(((¬ b) a) → (c (a (¬ c))))
головною є імплікація, тому отримуємо
(((¬b) a) →* (c (a (¬c)))).
Аргументами є підформули
|
((¬ b) a) та (c (a (¬ c))). |
Подаємо першу підформулу у вигляді |
|
|
((¬ b) * a), |
а другу – |
(c * (a (¬ c))). |
|
23 |
Продовжуючи таким чином, підійдемо до найпростіших підформул a , b, c.
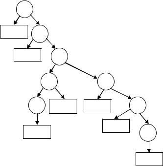
Структуру формули часто подають деревом синтаксичного аналізу формули. У ньому дужки не вказують. Для проаналізованої формули дерево синтаксичного аналізу має вигляд:
|
→ |
|
|
|
a |
→ |
|
|
|
|
b |
→ |
|
|
|
|
|
|
|
|
¬ |
a |
c |
|
|
b |
|
|
a |
|
|
|
¬ |
c
Наведене дерево дає наочне уявлення про порядок виконання операцій, оскільки спочатку виконуються операції, записані внизу дерева, а потім ті, які йдуть вище. ◄
Проблема розв'язності в алгебрі висловлень – це задача знаходження алгоритму, за допомогою якого для будь-якої формули A алгебри висловлень можна визначити, є A тотожно істинною (тавтологією), чи ні.
Для алгебри висловлень цю проблему можна, зокрема, роз- в'язати такими двома способами:
1) побудувати таблицю істинності для формули A й перевірити, чи складається стовпчик значень A лише з одиниць;
24
2) застосувати спосіб відшукання контрприкладу. Аналогічно можна сформулювати й розв'язати проблему роз-
в'язності для визначення того, чи є певна формула алгебри висловлень суперечністю або виконуваною.
Завдання для самостійної роботи
1. Визначити, чи є наведена послідовність символів формулою алгебри висловлень:
(а) (((x → y) (¬z)) ~ ((¬x) → (y → x)));
(б) (((¬x) ~ ((¬y) + 1)) → (x 5y)); (в) (((¬y) ~ (x (¬z))) → ((¬ y) x)); (г) (((((x → y) ~ (¬z)) x) (¬ y))).
2.Виписати всі підформули даної формули: (а) (((x → (¬ y)) (¬z)) ~ ((¬ x) → (x z)));
(б) ((((y (¬ z)) → (y z)) ~ ((¬ y) x)); (в) ((z → (¬ y)) ((¬x) (¬(y (¬ x)))));
(г) (((¬x y) (x ~ ((¬y) → x)).
3.Занумерувати послідовність виконання операцій у формулі:
(а) (((y ~ (¬ z)) (¬ x)) → ((¬ z) ~ (x y)));
(б) (((x → (¬ y)) → (y ((¬ z) → x))) ~ (¬ x)).
4.Занумерувати послідовність виконання операцій у формулі
зурахуванням їхніх пріоритетів:
(а) (a → ¬ b) (¬ a ~ c) b (c → ¬ (a ~ b));
(б) (a → ¬ ((b c) ¬ a)) → (¬ c b) a ~ ¬ (a → ¬ b).
5. Знайти значення істинності формули:
(а) (a ~ b) ((¬ c → b) (¬ a c) (a ¬ b)) при a = 0, b = 1, c = 0;
(б) ((b → a) (¬ c (a ~ ¬ b))) → (a (d ¬ b)) при a = 1, b = 1, c = 0, d = 1;
(в) ¬ a (a ~ c) (¬ b (¬ c → a)) при a = 1, b = 0, c = 1.
6. Знайти значення істинності складеного висловлення:
(а) Якщо ми успішно складемо іспити (a), то поїдемо відпочивати до моря (b), і ми або успішно складемо іспити, або здійснимо турпохід у Карпати (c) тоді й тільки тоді, коли погода
25
буде хорошою (d). Значення істинності елементарних вислов-
лень такі: a = 1, b = 0, c = 0, d = 1.
(б) Якщо ми успішно виконаємо домашнє завдання з математичної логіки (a), то ми отримаємо заліковий бал (b) або візьмемо участь у науковому семінарі (c), водночас якщо ми візьмемо участь у науковому семінарі й отримаємо заліковий бал, то достроково складемо іспит з математичної логіки (d). Зна-
чення істинності елементарних висловлень: a = 0, b = 1, c = 0, d = 1.
7. Скласти таблицю істинності для формули алгебри висловлень:
(а) (a → ¬ (b c)) → (c → ¬ a); (б) ((¬ a b) ~ (a ¬ c)) (a → b); (в) ((a → b) ~ (b → ¬c)) → (c a); (г) (a → b) → ((b → c) → (a → c)).
8. Побудувати таблицю істинності й показати, що дана формула алгебри висловлень є тотожно істинною (тавтологією):
(а) ¬ a ¬ b a b; (б) a → (b → a);
(в) (a → b) → ((b → c) → (a → c));
(г) (a → c) → ((b → c) → ((a b) → c)).
9. Способом відшукання контрприкладу встановити, що наведена формула алгебри висловлень є тавтологією:
(а) ((a → b) (c → d)) → ((a c) → (b d)); (б) (a → (b → c)) → ((d → b) → (a → (d → c)));
(в) (a → (b → c)) → ((a → b) → (a → c)); (г) (a → b) → ((a → c) → (a → (b c))).
10. Довести, що формула ((a → b) (b → c)) → (a → c) є тавтологією (транзитивна властивість імплікації). Чи буде тавтологією обернена імплікація (a → c) → ((a → b) (b → c))?
11. Довести, що формула ((a ~ b) (b ~ c)) → (a ~ c) є тавтологією (транзитивна властивість еквівалентності). Чи буде тавтологією обернена імплікація (a ~ c) → ((a ~ b) (b ~ c))?
12. Довести, що формула ((a → b) (b → c)) → ((a b) → c) є тавтологією. Чи буде тавтологією обернена імплікація
((a b) → c) → ((a → b) (b → c))?
26