Материал: Динамика элементов систем криогенного обеспечения

Внимание! Если размещение файла нарушает Ваши авторские права, то обязательно сообщите нам

При разработке математической модели (рис. 5) принимаем, что распределение внешнего теплового потока на наружной поверхности оболочки канала имеет вид трапеции.

Рис. 5. Схема расчета распределенных динамических параметров

в подсистемах радиационного теплообменного аппарата

По аналогии с расчетом рекуперативного теплообменника составляем тепловой баланс элементарного участка между сечениями i + 1 и i и после его преобразования получаем уравнение для определения температуры оболочки канала:

,

где Ezi,τ, Exi,τ, Eyi,τ, - динамические коэффициенты,

;

;

.

Температуру рабочего вещества определяем по уравнению

,

где  - коэффициенты,

;

.

Устойчивое решение по явной схеме конечно-разностных уравнений (10) и (11) с учетом реального изменения термодинамических и теплофизических свойств рабочего вещества и процесса теплоотдачи от внутренней поверхности оболочки канала к потоку обеспечивается при правильно выбранных шагах расчета по времени и длине аппарата. Эти исходные данные определяем из соотношений (8), (5)-(7).

На рис. 6 изображена блок-схема реализации алгоритма расчета динамических параметров радиационного теплообменного аппарата. Структура алгоритма в основном совпадает со структурой расчета параметров рекуперативного теплообменника (см. рис. 2). Различие заключается в содержании блока 3, в котором осуществляется расчет статических характеристик одномерного радиационного теплообменника.

Рис. 6. Блок-схема алгоритма расчета динамики радиационного теплообменного аппарата

Динамическая модель парогенерирующей поверхности криогенной системы с сосредоточенными параметрами. Парогенерирующие поверхности являются основными элементами криогенных систем. Они представляют собой ванны теплообменников нагрузки циркуляционных систем или криостаты криоэнергетических машин и устройств. Этими элементами воспринимаются стационарные тепловые потоки и различные по форме, интенсивности и продолжительности действия динамические тепловые возмущения. Передача возмущающего воздействия при переходных процессах объекта криостатирования во многом зависит от теплоаккумулирующей способности парогенерирующей поверхности криогенной системы.

На рис. 7 показаны физическая модель парогенерирующего элемента криогенной системы и процессы в диаграмме T-s.

Рис. 7. Схема расчета динамических параметров парогенерирующей

поверхности элемента криогенной системы:

а - физическая модель парогенерирующего элемента;

б - процессы в T-s диаграмме

криогенный моделирование динамический парогенерирующий

Переходные процессы в данном элементе могут возникать под действием различных факторов возмущения, в частности при изменении расхода вещества подаваемого жидкого криогенного продукта GL и его энергетического состояния, а также воздействии на расход пара и тепловой поток Q. При стационарном режиме обеспечивается соблюдение материального баланса , постоянство уровня жидкости и энергетического баланса QL + Q = Q0 (QL - тепловой поток, вносимый с жидким криогенным продуктом; Q - тепловой поток от объекта криостатирования; QG - тепловой поток, выносимый паром).

Появление возмущающих факторов приводит к нарушению материального и энергетического баланса и вызывает изменение давления в паровом пространстве. Закон изменения давления получаем в результате совместного решения уравнений материального и энергетического баланса при нестационарных режимах с учетом уравнения состояния вещества [26].

Уравнение материального баланса


показывает, что разница между притоком жидкого криопродукта GL и стоком пара GG соответствует изменению расхода вещества в паровом VG и жидкостном VL объемах.

Энергетический баланс устанавливает, что разница между притоком и стоком теплоты идет на изменение тепловой энергии, заключенной в объемах пара, жидкости и металла:

.

При определении количества теплоты Qм = GмcмΔTм , аккумулированной металлом, принимаем, что температура греющей поверхности равна температуре жидкого гелия.

Плотность сухого насыщенного пара ρG, кипящей жидкости ρL и теплоемкость сG и сL являются функциями давления p, поэтому уравнения состояния в общем виде таковы:


Из геометрических соотношений вытекает равенство V = VG + VL , из которого следует, что

.

Текущие значения объемов VG и VL определяем из баланса масс объема аппарата:

,

где ρ(p) - приведенная плотность жидкого и парообразного гелия.

Рассмотрим динамический процесс, в котором в качестве возмущения используется скачкообразное увеличение теплоподвода с Q до Q1. После линеаризации и преобразования исходной системы уравнений зависимость для определения динамической температуры насыщения кипящего криоагента может быть записана в виде

,

Для нахождения величин ATP и ATL обычно вводят понятие теплоемкости тела cx, соответствующей процессу при x = const, где x - некоторая функция, связывающая два независимых параметра, т. е. . В рассматриваемом случае значения теплоемкости cG и cL вычисляем для насыщенных пара и жидкости. В качестве независимого параметра принято давление p и р + Δp.

Далее по значению температуры Tτ+Δτ рассчитываем давление насыщенных паров:

.

Следует отметить, что неравновесность процесса испарения в модели не учитывается, поскольку время релаксации значительно меньше времени переходных процессов в криогенной установке (системе).

Уровень жидкости  в объеме V может быть найден из уравнения (16), причем вначале определяем значение приведенной плотности , a затем по разности притока и стока GΘ,τ+Δτ вещества за промежуток времени Δτ в объеме V - новое значение приведенной плотности:

.

Тогда объем парового пространства в момент времени τ + Δτ

,

где ρG,τ+Δτ и ρL,τ+Δτ - плотность пара и жидкости, вычисленная по полученным значениям температуры Tτ+Δτ и давления pτ+Δτ, а объем жидкости

.

Таким образом, с помощью динамической модели парогенерирующей поверхности криогенной системы определяем разгонную характеристику криогенной гелиевой установки, т. е. закономерности изменения параметров обратного потока на входе в основной теплообменный аппарат нижней ступени охлаждения и условия криостатирования объекта.

. Динамические характеристики нижней ступени охлаждения КГУ

Система криогенного обеспечения высокой эффективности должна обладать возможностью согласования режимов работы криогенной установки и объекта криостатирования. С точки зрения эксплуатации определенную перспективу имеют двухконтурные системы криостатирования, в которых объект охлаждается однофазным циркуляционным потоком гелия при сверхкритическом давлении.

Из существующих различных схемных решений низкотемпературных ступеней охлаждения для моделирования выбрана нижняя ступень с дросселированием и криогенным нагнетателем. На рис. 8 показана принципиальная схема этой ступени.

Рис. 8. Принципиальная расчетная схема низкотемпературной ступени охлаждения:

а - ступень охлаждения; б - расчетная схема теплообменника;

в - расчетная схема теплообменника нагрузки; - основной теплообменный аппарат (рекуперативный теплообменник); , IV - дроссельные вентили; III - сборник жидкого гелия; - теплообменник нагрузки; - криогенный (низкотемпературный) нагнетатель;

-9 - характерные точки процесса

Рассмотрим поведение низкотемпературной ступени охлаждения при наличии импульсного тепловыделения. При увеличении тепловыделения нарушается материальный и энергетический баланс аппарата V, что приводит к повышению давления паров гелия и увеличению равновесной температуры. Происходит изменение соотношений объемов пара и жидкости в межтрубном пространстве аппарата V. Повышение давления в паровом пространстве влечет за собой уменьшение расхода гелия через дроссель IV и увеличение уровня жидкости в сборнике III. Изменение параметров состояния паров гелия на входе в нагнетатель VI вызывает перемещение рабочей точки по его характеристике и увеличение расхода обратного потока, приводит к появлению переходного процесса в аппарате I, в результате чего изменяется температура газа перед дросселем II и понижается температура обратного потока на выходе вследствие недоиспользования холода при рекуперации. Скорость изменения давления жидкого гелия в межтрубном пространстве теплообменника V зависит от аккумулирующей емкости аппарата.

Все изложенное является качественным описанием переходного процесса, который характеризуется достаточно большим числом связей, поэтому единственный путь количественной оценки этого режима - моделирование его на ЭВМ.

Для расчета динамических характеристик необходимо знать статическое распределение параметров в основных элементах ступени охлаждения, к которым относятся рекуперативный теплообменник I, дроссельный вентиль IV, криогенный нагнетатель VI и парогенерирующая поверхность аппарата V (см. рис. 8, а).

В численном эксперименте параметры гелия и конструктивные размеры основного теплообменника соответствуют характеристикам низкотемпературной ступени охлаждения криогенной гелиевой установки КГУ-250/4,5.

Параметры гелия: давление прямого потока гелия на входе в теплообменник I р1 = 1,4 МПа; температура T1 = 10 К; давление обратного потока р3 = 0,13 МПа. Температура кипения в ванне теплообменника нагрузки T60 = 3,5 К. Основной теплообменник I представляет собой витой поперечноточный аппарат с оребренными трубками.

Нижняя ступень охлаждения рассматривается как комбинированная модель, в которой теплообменник I является объектом с распределенными параметрами, а другие элементы - с сосредоточенными параметрами.

Поскольку эффективность теплообмена в аппарате I в определенной мере характеризуется изменением коэффициентов теплоотдачи по длине теплообменника, в предварительном численном экспери-менте получены данные об их распределении вдоль канала.

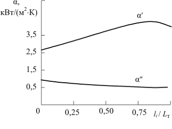
Коэффициент теплоотдачи обратного потока  (рис. 9) почти постоянен по длине теплообменника. Некоторое исключение составляют лишь участки, расположенные вблизи выхода потока из теплообменника, где в связи с более интенсивным изменением физических свойств обратного потока происходит незначительное возрастание . Изменение коэффициента теплоотдачи прямого потока  связано с изменением  по длине теплообменника. При p1 = 1,4 МПа температура Тmах, соответствующая максимуму cp, составляет около 9,4 К. По полученному распределению температур зона с температурой прямого потока, близкой к Тmах, располагается между третьим и четвертым сечениями теплообменника, считая от входа в аппарат. Как следует из графика на рис. 9, в этой зоне значение коэффициента теплоотдачи  максимально, далее по длине теплообменника  убывает одновременно с уменьшением .

Рис. 9. Изменение коэффициента теплоотдачи прямого и обратного потоков по длине теплообменника нижней дроссельной ступени

Таким образом, полученные данные по распределению коэффициентов теплоотдачи прямого и обратного потоков достаточно достоверно отражают процессы, протекающие в теплообменнике нижней ступени охлаждения. На тепловой режим низкотемпературной ступени охлаждения определенное влияние оказывает низкотемпературный нагнетатель VI, применяемый для создания необходимого уровня разрежения над поверхностью кипящего гелия в ванне теплообменника V (см. рис. 8). Степень разрежения в теплообменнике нагрузки будет определяться напорной характеристикой нагнетателя, которая должна быть подобрана таким образом, чтобы обеспечивалась нормальная работа нагнетателя при переменных тепловых нагрузках на низкотемпературную ступень охлаждения.

Напорная характеристика нагнетателя с достаточной точностью может быть аппроксимирована полиномом вида

,

где ε - отношение давлений; Gпр - приведенный расход вещества; A, B, C - постоянные величины, подбираемые по характеристике нагнетателя; e - показатель степени, принимаемый в диапазоне 2…4.

Расход гелия через нагнетатель рассчитываем с помощью следующего выражения:

,

где G0 - расходный коэффициент нагнетателя; p, T - давление и температура на входе в нагнетатель; p0, T0 - давление и температура на выходе из нагнетателя.

Как следует из выражений (20) и (21), расчетный расход гелия через нагнетатель зависит от ряда структурных коэффициентов, поэтому методом их варьирования обеспечивается необходимая холодопроизводительность ступени охлаждения.

Для моделирования расходной характеристики криогенного нагнетателя используем процедуру NAGNET, в которой по выражениям (20) и (21) определяем параметры криогенного нагнетателя.







Для удобства записи расчетных выражений при анализе было принято, что цифровые индексы у символов, обозначающих материальные, энергетические потоки и параметры состояния гелия, соответствуют нумерации узловых точек на рис. 8. Индекс «нуль» означает исходный режим.

Статические характеристики ступени охлаждения определяем в соответствии с блок-схемой на рис. 10.

Расчет начинаем по данным блока 1 с определения параметров парогенерирующей поверхности и расходной характеристики нагнетателя VI, для чего по процедурам программы Термодинамическое поле (блок 2), CRPS(T6O), FAZA2(P3) и FAZA2(P60) вычисляем параметры гелия в характерных точках аппарата V (см. рис. 8, б) и расход гелия G60.

Далее по процедуре DROSL(P4,T4,P6) определяем энергетическое состояние потока гелия G40 и статическую холодопроизводительность ступени охлаждения:

,