![]()
Найдем полные реакции в опорах:
![]()
![]()
Рассчитываем подшипник в опоре В как наиболее нагруженный.
Таким образом, эквивалентная динамическая нагрузка:
![]()
Учитывая,
что динамическая грузоподъемность для
подшипника N313
С=89кН, m=3,
:
![]()
Долговечность подшипников обеспечена.
Рисунок
4.
На
выходном валу, на который действуют
радиальная сила
и
осевая сила
,
устанавливаем роликовые конические
однорядные подшипники
N7318
(
).
Найдем реакции, возникающие в опорах:
![]()
![]()
![]()

Принимаю
![]()
![]()
![]()
Для подшипника в опоре А определяем эквивалентную нагрузку:
![]()
,
,
.
;
находим ресурс:
;![]()
Значит:
.
Долговечность подшипника обеспечена.
Подшипник в опоре В менее нагружен , для него расчёт можно не проводить.
Расчеты ведем с помощью / 3/.
Выполним
расчет на прочность входного вала.
Крутящий момент
подводится
к шлицам и передается по валу к
цилиндрической прямозубой шестерне.
Расчетная схема вала с нагрузками представлена на рисунке 5:
Рисунок 5.
![]()
Переменный крутящий
момент от крутильных колебаний будем
считать равным 0,2 от номинального (
).
Учитывая приближенный характер расчета, устанавливаем [S]=1,8.
Примем в качестве расчетного следующие сечения:
(наружные
эвольвентные шлицы с модулем m=2
мм)
(галтель)
(зубья,
нарезанные на поверхности вала)
Расчет ведем с помощью ЭВМ. Исходные данные и результаты расчета представлены в приложении А. Условие прочности выполняется. Большое значение запаса прочности не может быть уменьшено, так как иначе не будет обеспечена достаточная жесткость вала.
Выполним
расчет на прочность промежуточного
вала. Крутящий момент
подводится
к цилиндрическому колесу первой ступени
и передается по валу к цилиндрической
прямозубой шестерне.
Расчетная схема вала с нагрузками представлена на рисунке 6 .
Р
исунок
6.
![]()
Переменный крутящий
момент от крутильных колебаний будем
считать равным 0,2 от номинального (
).
Учитывая приближенный характер расчета, устанавливаем [S]=1,8.
Примем в качестве расчетных следующие сечения:
(эвольвентные
шлицы с модулем m=2 мм)
(зубья
шестерни с модулем m=2,75
мм)
(галтель)
Расчет ведем с помощью ЭВМ. Исходные данные и результаты расчета представлены в приложении Б. Большие значения запаса прочности не могут быть уменьшены, так как иначе не будет обеспечена достаточная жесткость вала.
Выполним
расчет на прочность выходного вала.
Крутящий момент
подводится
к цилиндрическому прямозубому колесу
и передается по валу на винт.
Расчетная схема вала с нагрузками представлена на рисунке 7.
Р
исунок
7.
![]()
Переменный крутящий
момент от крутильных колебаний будем
считать равным 0,2 от номинального (
).
Учитывая приближенный характер расчета, устанавливаем [S]=1,8.
Примем в качестве расчетных следующие сечения:
(опасное
сечение под подшипником)
(поперечное
отверстие)
Расчет ведем с помощью ЭВМ. Исходные данные и результаты расчета представлены в приложении В. Условие прочности выполняется. Большое значение запаса прочности не может быть уменьшено, так как иначе не будет обеспечена достаточная жесткость вала.
10. Расчет шлицевых соединений
10.1 Расчет шлиц на входном валу
Расчет ведем по / 4/.
Произведем расчет шлиц входного вала. При расчете на смятие должно выполняться условие:
;
Асм=(0,9…1,0)ml
коэффициент
неравномерности распределения нагрузки
![]()
Dxzxm=40x18x2; l=30мм
=90…150
МПа
,
т.е. необходимое условие прочности выполняется
10.2 Расчет шлиц выходного вала
Произведем расчет шлиц выходного вала.
Dxzxm=70x22x2,5; l=40мм
,
т.е. необходимое условие прочности выполняется
10.3 Расчет шлицевого соединения ступицы зубчатого колеса с валом
Произведем расчет шлицевого соединения ступицы зубчатого колеса с валом. Dxzxm=75x24x2; l=20мм
,
т.е. необходимое условие прочности
выполняется.
11. Расчет болтовых соединений
11.1 Расчет болтов крепления редуктора к раме
Расчет болтов крепления редуктора к раме рассмотрен в приложении. Расчет произведен на ЭВМ с использованием данных по болтам, их расположению, а также по данным корпуса.
Расчетное напряжение не превышает допускаемое. Результаты расчета представлены в приложении Г.
11.2 Расчет болтов крепления зубчатого колеса к валу
Расчет ведем по / 5/.
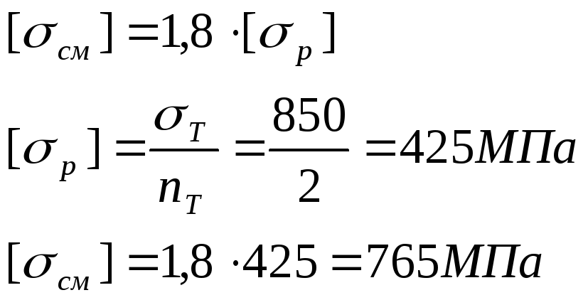
Болты установлены без зазора. Материал (30ХГСА), из которого изготовлены болты, имеет следующие характеристики:
![]()
Стержень болта работает на срез и смятие и рассчитывается следующим образом.
Условие прочности по напряжениям среза:
![]()
,
где z
— число
болтов(z=8).
Условие прочности на смятие:
![]()
