КFL = 1 (т.к. NFЕ > 4106);
КFC = 0,8 (т.к. нагружение реверсивное );
SF = 1,7 (таблица 7 /1/, при термообработке - цементация);
МПа
3. Проектирование первой цилиндрической передачи
3.1. Определение основных габаритов передачи
Расчет проводим согласно схеме на рис.6 /1/ для цилиндрической передачи :
K’ = 1,4;
Кa = 49,5 (т.к. принимаю = 0).
Принимаю ba = 0,26.
Допускаемое
напряжение для передачи
=
1150 МПа.
;
bW =baaW = 0,25210 = 52,5 мм; Принимаю bW = 54 мм ;
;
;
КV = 1,15 (из табл.9/1/ )
![]()
K = 1,09
K = KV K = 1,251,09 = 1,3625 K’
3.2. Определение модуля и чисел зубьев
mmin = 2,5 ZV = 20 X1 = 0
Y
= 1
YF
= 4,08
Допускаемое
напряжение для передачи
=
471 МПа.
мм;
Принимаем стандартное значение модуля: m = 3 мм
Z
=
![]()
![]()
![]()
![]()
Z2 = Z - Z1= 140 - 33 = 107
![]()
3.3. Определение геометрических параметров передачи
t = = 20
мм
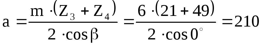
Примем: aW = a = 210 мм.
tw = 20
X1 = X2 = 0
y = 0
y = 0;
d1 = mz1/cos = 333 =99 мм
d2 = mz2/cos = 3107 = 321 мм
db1 = d1cos t = 99cos 20 = 93 мм
db2 = d2cos t = 321cos 20 = 302 мм
da1 = d1 + 2(1+X1 - y)m = 99 + 23 = 105 мм
da2 = d2 + 2(1+X2 - y)m = 302 + 23 = 308 мм
dw1 = 2aw /(U1-2+1) = 2210/(3,24+1) = 99 мм
dw2 = 2aw U1-2/(U1-2+1) = 22103,24/(3,24+1) = 321 мм
Коэффициент торцевого перекрытия для передачи 1-2 :
;
3.4. Проверочный расчет передачи на контактную и изгибную прочность
Проведем проверочный расчет на контактную прочность в передаче 1-2.
K = 1,09
![]()
KV = 1,25
K=KVK = 1,251,09 = 1,3625
ZM
=
275
![]()
![]()
Z = 1
Мпа

Проведем проверочный расчет шестерни на изгибную прочность :
![]()
Y = 1
Y = 1
МПа

Проведем проверочный расчет колеса на изгибную прочность :
![]()
Мпа
<
![]()
4. Проектирование второй цилиндрической передачи
4.1. Определение основных габаритов передачи
Расчет проводим согласно схеме на рис.6 /1/ для цилиндрической передачи :
K’ = 1,4;
Кa = 49,5 (т.к. принимаю = 0).
Принимаю ba = 0,25.
Допускаемое
напряжение для передачи
=
1380 МПа.
;
bW
=
= 75 мм;
;
;
КV = 1,15 (из табл.9/1/ )
![]()
K = 1,16
K = KV K = 1,151,16 = 1,334 K’
4.2. Определение модуля и чисел зубьев
mmin = 2,5 ZV = 20 X1 = 0
Y
= 1
YF
= 4,08
Допускаемое
напряжение для передачи
=
471 МПа.
мм;
Принимаем стандартное значение модуля: m = 6
Z
=
![]()
![]()
![]()
![]()
Z4 = Z - Z3= 70 - 21 = 49
![]()
4.3. Определение геометрических параметров передачи
t = = 20
мм
Примем: aW = a = 210 мм.
tw = 20
X1 = X2 = 0
y = 0
y = 0;
d3 = mz3/cos = 621 =126 мм
d4 = mz4/cos = 649 = 294 мм
db3 = d3cos t = 126cos 20 = 118 мм
db4 = d4cos t = 294cos 20 = 276 мм
da3 = d3 + 2(1+X1 - y)m = 126 + 26 = 138 мм
da4 = d4 + 2(1+X2 - y)m = 294 + 26 = 306 мм
dw3 = 2aw /(U3-4+1) = 2210/(2,33+1) = 126 мм
dw4 = 2aw U3-4/(U3-4+1) = 22102,33/(2,33+1) = 294 мм
Коэффициент торцевого перекрытия для передачи 1-2 :
;
Проведем проверочный расчет на контактную прочность в передаче 3-4.
K = 1,16
![]()
KV = 1,15
K=KVK = 1,151,16 = 1,3625
ZM = 275
![]()
Z = 1
Мпа

Проведем проверочный расчет шестерни на изгибную прочность :
![]()
Y = 1
Y = 1
МПа

Проведем проверочный расчет колеса на изгибную прочность :
![]()
Мпа
<
![]()
Возьмем полые валы.
Примем допускаемые касательные напряжения равными
для входного вала [] = 65 Мпа, =0,8;
для выходного вала [] = 70 Мпа, =0,75;
для промежуточного вала [] = 75 Мпа, =0,7;
Определим диаметр первого вала:
Принимаем
dI
= 50 мм.
Определим диаметр второго вала:
Принимаем
dII
= 65 мм.
Определим диаметр третьего вала:
Принимаем
dIII
= 90 мм.
6. Предварительный подбор подшипников
Подбор подшипников проводим по справочнику-каталогу /3/.
Для входного вала возьмем радиальный однорядные шарикоподшипники средней серии: №310 .Для промежуточного вала возьмем радиальные однорядные шарикоподшипники средней серии: №313
Для выходного вала возьмем два радиально-упорных однорядных конических роликовых подшипника средней серии: №7318.
7. Определение сил в зацеплениях
![]()
![]()
Определение сил во второй ступени:
![]()
![]()
8.Подбор подшипников на заданный ресурс и надежность
8.1 Расчет подшипников, установленных на входном валу.
Р
исунок
2.
В опорах установлены шариковые радиальные однорядные подшипники N310. Найдем реакции в этих опорах, возникающих от действия сил в зацеплении в горизонтальной плоскости:
![]()
![]()
Найдем реакции в этих опорах, возникающих от действия сил в зацеплении в вертикальной плоскости:
![]()
![]()
Найдем полные реакции в опорах:
![]()
![]()
Таким образом, эквивалентная динамическая нагрузка:
![]()
![]()
Учитывая,
что динамическая грузоподъемность для
подшипника N310
С=48,5кН, m=3,
:
![]()
![]()
Долговечность подшипников обеспечена.

Рисунок 3.
В опорах установлены шариковые радиальные однорядные подшипники N313. Найдем реакции в этих опорах, возникающих от действия сил в зацеплении в горизонтальной плоскости:
![]()
![]()
Найдем реакции в этих опорах, возникающих от действия сил в зацеплении в вертикальной плоскости:
![]()