Материал: Датчик скорости в современном автомобиле

Внимание! Если размещение файла нарушает Ваши авторские права, то обязательно сообщите нам

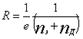
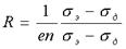
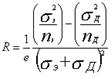
 (a) для слабых полей

(4)

 (б) для сильных полей.

При nэ = nд, = n для всей области магнитных полей :

,

а знак R указывает на преобладающий тип проводимости.

Для металлов величина R зависит от зонной структуры и формы Ферми поверхности. В случае замкнутых поверхностей Ферми и в сильных магнитных полях (Wt»1) коэффициент Холла изотропен, а выражения для R совпадают с формулой 4,б. Для открытых поверхностей Ферми коэффициент R анизотропен. Однако, если направление Н относительно кристаллографических осей выбрано так, что не возникает открытых сечений поверхности Ферми, то выражение для R аналогично 4,б.

Заключение

В работе были рассмотрены общие свойства датчиков измерения скорости и область их применения. Более подробно затрагиваются датчики скорости, объясняется принцип действия на примере конкретных моделей.

Сегодня индустрия полупроводниковых датчиков уже использует второе поколение активных сенсорных технологий, включающих схемы компенсации ошибок и обработки сигнала. Новейшее направление развитие новых цифровых интерфейсов для аналоговых линейных датчиков, оснащенных блоком управления, которые характеризуются как повышенной помехоустойчивостью, так и большей эффективностью коммуникации в реальном времени. Преимуществом датчиков, созданных на основе новых технологий, является их бесконтактность, но, несмотря на это, потенциометры очень не скоро сдадут свои рыночные позиции, поскольку имеют низкую цену и увеличенную надежность.

Список используемой литературы

1.      «Современные датчики. Справочник» Под ред. Дж. Фрайден,- Москва: Техносфера,2006.

.        http://www.freepatent.ru;

3.      Пат. 2150114 Российская Федерация, МПК G01P3/48. Датчик измерения скорости/ Дремов М.В. , Каплунов Г.В., Россия; заявитель и патентообладатель ООО «Счетмаш» . - ; заявл. 30.06.1998; опубл. 20.04.2000.

.        Пат. 2270452 Российская Федерация, МПК G01P3/488. Бесконтактный датчик скорости автомобиля/ Захаров И.С., Яцун С.Ф., Россия; заявитель и патентообладатель «ГОУ КурскГТУ». - ; заявл. 26.01.2004; опубл. 20.02.2006.

.        Пат. 2260188 Российская Федерация, МПК G01P3/488. Бесконтактный датчик скорости автомобиля/ Сысоева С.С., Яцун С.Ф., Россия; заявитель и патентообладатель «ГОУ КурскГТУ» . - ; заявл. 26.01.2004; опубл. 10.09.2005.

6.      http://www.luksavtoservis.ru/ds.html;

.        https://blamper.ru/auto/wiki/salon/spidometr-3660