Решим дифференциальные уравнения.
Воспользуемся функцией Odesolve, для решения одиночных дифференциальных уравнений. Эта функция используется в составе вычислительного блока, открывающегося директивой Given. В вычислительном блоке после директивы Given задается само уравнение и начальные условия: значение искомой величины в нулевой момент времени и значение первой производной искомой величины также в нулевой момент времени.
После расчета аналитическое выражение для этой функции не выводится, однако с ней можно выполнять математические операции, например, дифференцировать.
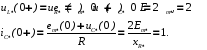
Для рассматриваемого примера искомые величины – ток в индуктивности iL(t) и напряжение на емкости uс(t).
Как известно, ток в индуктивности и напряжение на емкости согласно законам коммутации не изменяются мгновенно. Коммутация для схемы на рис. 4.1 заключается в подключении цепи к источнику тока, следовательно, ток в индуктивности до коммутации был равен нулю
iL(0–) = iL(0+) = 0.
Для документа MathCAD введем обозначение
х1(t) = iL(t), х2(t) = uC(t).
Тогда
х1(0) = iL(0–) = 0, х2(0) = uC(0) = 1.
Начальные значения производной тока и напряжения в нулевой момент времени
.
Введем обозначения
.
Поскольку расчет ведется в относительных единицах, то
.
|
Рис. 2
|
Для рассматриваемого примера, считая в начальный момент емкость ЭДС (так как uс(0-) = 1), а индуктивность разрывом (так как iL(0-) = 0), получим (рис. 2)
|
То есть принимаем

Документ MathCAD
Решение дифференциального уравнения относительно
тока в индуктивности

Рисунок 3 – Зависимость тока в индуктивности от времени в относительных единицах
Документ MathCAD
Решение дифференциального уравнения относительно
напряжения на емкости

Рисунок 3 – Зависимость напряжения на емкости от времени в относительных единицах
Вывод: В результате проделанной лабораторной работы произведено исследование возможностей применения дифференциальных уравнений второго порядка и графического моделирования в двухмерном пространстве в среде MathCAD при решении электротехнических задач. В ходе выполнения работы была сформирована математическая модель электрической цепи в виде дифференциальных уравнений второго порядка относительно тока в индуктивности iL и напряжения на емкости uc. Коэффициенты при производных уравнения выражены в относительных единицах. Получено характеристическое уравнение цепи и определены его корни. В среде MathCAD решены дифференциальные уравнения и построены графики переходных процессов напряжения на емкости uc(t), тока в индуктивности iL(t) в относительных единицах, для интервала времени 5τmax.