Министерство образования и науки Российской Федерации
Федеральное автономное государственное образовательное учреждение высшего образования
«Национальный исследовательский Томский политехнический университет»
Инженерная школа электроэнергетики
Отделение электроэнергетики и электротехники
Лабораторная работа №4
«МАТЕМАТИЧЕКОЕ МОДЕЛИРОВАНИЕ
В ЭЛЕКТРОТЕХНИКЕ
Дифференциальные уравнения второго порядка»
Вариант №5
Выполнил:
Студент группы 5А6Б _____________ Кошкин Д.Р.
(подпись)
Проверил:
Преподаватель _____________ Бай Ю. Д.
(подпись)
_____________
(дата)
Томск 2019
Цель работы. Исследование возможностей применения дифференциальных уравнений второго порядка и графического моделирования в двухмерном пространстве в среде MathCAD при решении электротехнических задач.
В современной энергетике используется большое число различных автоматических устройств (датчики, усилители, гидравлические и пневматические исполнительные устройства и т.д.). Они состоят из разнообразных элементов, выполняют различные функции, отличаются принципом действия, схемными и конструктивными решениями.
В автоматических системах элементы автоматики чаще всего работают в неустановившихся, переходных режимах. Это связано с тем, что внешние силы, действующие на автоматическую систему, как правило, непрерывно и случайно изменяются, поэтому исследование поведения элементов автоматических устройств в переходных режимах, в динамике, представляет собой важную задачу.
В большинстве случаев рассмотрение переходных режимов работы элементов автоматики приводит к дифференциальным уравнениям того или иного вида. В результате физическая задача определения выходной величины (тока, напряжения) элемента автоматики сводится к математической задаче составления некоторого дифференциального уравнения и отыскания решения этого уравнения. В данной лабораторной работе ограничимся изучением так называемых обыкновенных линейных систем, поведение которых описывается обыкновенными линейными дифференциальными уравнениями с постоянными коэффициентами.
При составлении дифференциального уравнения используют основные законы той отрасли науки и техники, к которой относится нелинейный элемент. Такими законами могут быть законы Кирхгофа для электрических устройств, законы Ньютона для механических устройств и т.д.
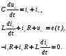
В общем случае дифференциальное уравнение имеет вид
(7)
где х1 – известная входная величина, х2 – неизвестная выходная величина.
В задачах, решаемых в электротехнике, обычно х1 – ток или ЭДС внешнего источника, х2 – неизвестный ток в ветви или напряжение на каком-либо элементе.
В общем случае порядок дифференциального уравнения (7) может быть любым. Однако на практике в большинстве случаев автоматическую систему стремятся разбить на звенья и составляют дифференциальное уравнение для каждого звена в отдельности, причем порядок каждого дифференциального уравнения обычно не выше второго. Это обусловлено тем, что решение дифференциального уравнения с порядком выше второго представляет собой сложную задачу, даже при использовании современной вычислительной техники.
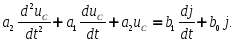
Пусть (7) имеет второй порядок, тогда дифференциальное уравнение будет иметь следующий вид
(8)
Выбрать схему электрических соединений
согласно варианту (таблица 3.1, рис. 3.1),
считая
,
.
1. Сформировать математическую модель цепи в виде дифференциального уравнения второго порядка
а) относительно тока в индуктивности iL,
б) относительно напряжения на емкости uc.
2. Получить характеристическое уравнение цепи, определить его корни и постоянную времени . Выразить коэффициенты уравнения в относительных единицах.
3. В среде MathCAD решить дифференциальные уравнения, полученные в п.1. Сформировать графическую модель, построив графики переходных процессов напряжения на емкости uc (t),тока в индуктивности iL (t)для интервала времени 5max.
Таблица 1.1
|
Вариант, № схемы |
L, мГн |
Em, В |
Jm А |
С, мкФ |
R, Ом |
|
5 |
500 |
2 |
- |
100 |
4 |
Схема по варианту:
Рисунок
1 – Схема электрических соединений
1а. Получим дифференциальное уравнение второго порядка для схемы относительно тока в индуктивности.
Для схемы по рисунок 2 в качестве переменных состояния выберем ток в индуктивности iL и напряжение на емкости uc. Запишем уравнения на основе законов Кирхгофа.

При этом учтено, что
,
а
.
Из уравнения по первому закону Кирхгофа
выразим ток
.
Из второго уравнения системы:

Тогда
.
После раскрытия скобок и приведения подобных слагаемых имеем

Представим уравнение в канонической форме, когда коэффициент при высшей производной равен единице.

Представим в общем виде:
,
где
.
Далее учтем, что

Тогда

Подставив известные параметры цепи, получим
1б. Далее выведем дифференциальное уравнение второго порядка для схемы на рис. 1 относительно напряжения на емкости.
Согласно второму закону Кирхгофа
.
Выразим из первого уравнения системы
ток в индуктивности

Подставив во второе уравнение системы, получим

После раскрытия скобок, приведения подобных слагаемых и деления каждого члена уравнения на CL (коэффициент при высшей производной) имеем

Представим в виде:
![]()
Где где
.
.
Необходимо обратить внимание, что
коэффициенты
в левых частях уравнений для токи
индуктивности и напряжения на емкости
совпадают.
Далее учтем, что

Тогда

Подставив в (16) заданные параметры цепи, получим

2. Характеристическое уравнение, соответствующее дифференциальному уравнению, как известно, составляется с помощью алгебраизации соответствующего однородного уравнения. В рассматриваемом примере можно получить одинаковые характеристические уравнения. Правые части дифференциальных уравнений приравниваются к нулю, так как вид и длительность переходного процесса не зависят от внешних источников, а зависят только от параметров и топологии цепи.
Итак, характеристическое уравнение для цепи рис. 1 имеет вид

Уравнение имеет два корня, которые в
общем случае могут быть действительными
или комплексно-сопряженными. Для
рассматриваемого примера
.
Максимальная постоянная времени
с.
Как известно, длительность переходного процесса не превышает 5τ, то есть в данном случае 0,624 с.
В уравнениях коэффициенты
при именованных единицах (генри, фарады,
Омы) значительно отличаются друг от
друга по величине, что приводит к
определенным трудностям при отыскании
решения. Целесообразно перейти к
относительным единицам. За базовые
величины примем:
- для сопротивлений – сопротивление
емкости
;
- для частоты – частоту источника
,
то есть

- для токов – амплитуду источника
напряжения
,
то есть
.
В рассматриваемом примере
Ом,
Ом.
Относительные сопротивления в этом случае равны
.
Относительная индуктивность и емкость
.
Тогда в коэффициенты будут равны
(для
уравнения с индуктивностью),
(для уравнения с емкостью),

и уравнения примут следующий вид
,

Как видно, коэффициенты левой и правой частей уравнений отличаются друг от друга в значительно меньшей степени, чем в уравнениях в именованых единицах.