Материал: Будівництво (реконструкція) осушувальної меліоративної системи

Внимание! Если размещение файла нарушает Ваши авторские права, то обязательно сообщите нам


23) Загальний обсяг розрівнювання рослиного грунту,Wpр визначається за формулою:


24) Загальна площа планування укосів,Fпл, м2:


Розрахуноки обсягів робіт та відстаней переміщення грунту при будівництві каналу зводимо в таблицю 1.1

Таблиця 1.1

Розрахунок обсягів робіт та відстаней переміщення ґрунту при будівництві каналу

№ п/п

Найменування параметрів та обємів робіт

Обсяги робіт

Примітка



Од.виміру

Кількість





Повздовжня схема


1

2

3

4

7

1

Глибина розробки мінерального грунту у виїмці каналу, Нм

м

2,4

hзр=0,2м

2

Ширина каналу по верху, Вк

м

11,4


3

Об’єм мінерального грунту у виїмці на 1 п.м., Vм

м3

15,84


4

Об’єм кавальєру мінерального грунту на 1 п.м., Vкм

м3

9,504

Крм=1,2

5

Висота кавальєру мінерального грунту, hкм

м

3,08


6

Ширина кавальєру мінерального грунту,bкм

м

6,16


7

Ширина смуги розрівнювання грунту, Врозр

м

13,58

hрозр=0,7

8

Ширина додаткового розрівнювання, а

м

2,42


9

Ширина зрізки рослиного грунту, Взр

м

38,56


10

Об’єм зрізки рослинного грунту на 1 п.м., Vзр

м3

7,712


11

Об’єм кавальєру рослинного грунту, Vкр

м3

4,63

Крр=1,2

12

Висота кавальєру рослинного грунту, hкр

м

1,08


13

Ширина кавальєру рослинного грунту, bкр

м

4,32


14

Шар розрівнювання рослинного грунту, hрр

м

0,2


15

Довжина планування укосів,lу

м

6,93


16

Відстань переміщення рослинного грунту при зрізці, Lзр

м

32,24


17

Відстань розрівнювання мінерального грунту, Lрм

м

4,29


18

Відстань розрівнювання рослинного грунту, Lрек

м

10,03


19

Загальний обсяг зрізки рослинного грунту, Wзр

м3

87146


20

Загальний обсяг розробки мінерального грунту, Wм

м3

178992


21

Загальний обсяг розрівнювання мінерального грунту, Wкм

м3

214790


22

Загальний обсяг розрівнювання рослинного грунту, Wрр

м3

104575


23

Загальна площа планування укосів, Fпл

м2

78309



1.2.2 Розрахунок обсягів робіт при будівництві дренажу

Відстань між дренами, яка передбачається проектом виконання гідромеліоративних робіт, може бути визначена наступним чином. Загальна довжина регулюючої мережі, складає


де: - загальна довжина регулюючої мережі (дрен діаметром 50), м;

- площа нетто системи, га.

Тоді відстань між дренами:


Колекторна мережа, яка представлена дренажними трубопроводами діаметрами 75 мм, 100 мм, 125 мм, 150 мм, будується траншейним способом з укладкою керамічних труб. Глибину укладки колекторів приймаємо 1,2 м, однаковою для всіх діаметрів колекторів. Довжина колекторної мережі :


де:, , ,  - довжини колекторів відповідного діаметру, м.

Регулююча мережа представлена дренами діаметром 50 мм може бути виконана з керамічних або пластмасових труб відповідно траншейним або без траншейним способом. В КП доцільно зробити техніко-економічне порівняння цих двох способів будівництва дренажу для подальшого прийняття оптимального варіанту. Для цього необхідно скласти і розрахувати схему для визначення обсягів земляних робіт та відстаней переміщення ґрунтових мас при будівництві дренажу траншейним способом (рис 1.2) і схему для визначення обсягів земляних робіт при будівництві дренажу безтраншейним способом, глибину укладки дренажу приймаємо 1,0 м.

Технологія будівництва дренажу траншейним способом передбачає виконання наступних процесів:

зрізку рослинного ґрунту з траси будівництва дренажу з переміщенням у тимчасові кавальєри за допомогою бульдозерів;

зворотна засипка траншей дрен мінеральним ґрунтом за допомогою бульдозерів;

рекультивація траси будівництва дренажу рослинним ґрунтом з тимчасових кавальєрів за допомогою бульдозерів.

Перед початком будівництва дренажу необхідно виконати виніс трас будівництва дренажу в натуру, розвезти витратні матеріали: дренажні трубки, ЗФМ (в КП не включено до основних процесів).

Для обрахунку об'ємів земляних робіт та відстаней переміщення ґрунту при будівництві дренажу траншейним способом скористаємось розрахунковою схемою (рис. 1.2) і визначаємо будівельні об'єми на 1 м.п., перемноживши їх на довжину регулюючої мережі отримаємо загальні обсяги.Розрахунок доцільно вести втабличній формі (таблиця 1.2).

Рис. 1.3. Схема до розрахунку відстані між траншеєю та тимчасовим кавальєром мінерального ґрунту при будівництві дренажу.

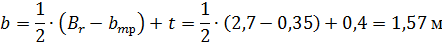
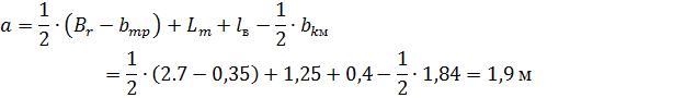
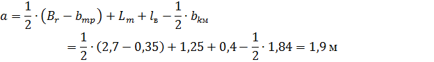
Згідно з рис. 1.2 відстань  від суміжної бровки траншеї до тимчасового кавальєру мінерального ґрунту, залежить від переметрів екскаватора-дреноукладача і формується поперечним стрічковим транспортером, котрий відкидає викопаний ґрунт на бік. Згідно з рис. 1. 3. ця відстань буде рівною:


де:  - габаритна ширина дреноукладача (2,7 м);

 - ширина траншеї;

 - виліт стрічкового транспортера за розміри дреноукладача ( 1,25 м);

 - відстань, що долає земля після викидання з стрічкового транспортера (залежить від швидкості транспортера, приймається в межах (0,3-0,5 м).

Відстань , на рис. 1.2, це технологічний запас необхідний для створення горизонтальної площини під час руху дреноукладача, згідно із рис. 1.3 він рівний:


де:  - технологічний запас, що передбачає неточності при виконані технологічних операцій (приймається 0,2…0,5 м).

Розрахунок обсягів робіт та відстаней переміщення ґрунту при будівництві дренажу траншейним способом:

Глибину виїмки мінерального грунту Нм, визначаэмо за формулою:

Нм = Н тр - hзр =1,4- 0,2 = 1,2 м

Об’єм виїмки мінерального грунту у траншеї Vм, визначаємо за формулою:

Vм = Нм1 п.м. = 1,2 0,5  1 = 0,6 м3

Об'єм тимчасового кавальєру мінерального ґрунтуVкм, м3,визначаємо за формулою:

Vкм = Vмр.м= 0,6  1,2= 0,72 м3

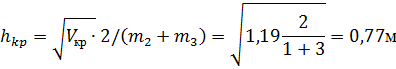
Висоту тимчасового кавальєру мінерального грунту,м, визначаємо за формулою:


Ширину тимчасового кавальєру мінерального грунту визначаємо за формулою:


Ширину зрізки рослинного грунту м,визначаємо за формулою:


Об'єм зрізки рослинного шару грунту,м ,визначаємо за формулою:

Об'єм тимчасового кавальєру рослинного грунту на 1 п.м. ,визначаємо за формулою:


Висоту тимчасового кавальєру рослинного грунту,м ,визначаємо за формулою:


Ширину тимчасового кавальєру рослинного грунту,м ,визначаємо за формулою:


Відстань зрізки рослинного шару  ,визначаємо за формулою:

 =  + m2 =  + 1 0,77= 1,97 м

Відстань переміщення мінерального грунту при зворотній засипці траншей,м ,визначаємо за формулою:


Відстань переміщення рослинного грунту при рекультивації траси будівництва:

Lрек = m1 += 1 0,77+0,5 4,95= 3,245 м

Загальний обсяг зрізки рослинного грунту з траси будівництва дренажної мережі,,визначаємо за формулою:


Загальний обсяг будівництва дренажної мережі,м:

Vдм =

Загальний обсяг зворотної засипки траншей дрен,,визначаємо за формулою:


Загальний об’єм рекультивації траси будівництва дренажної мережі, ,визначаємо за формулою:


Розрахунок обсягів робіт та відстаней переміщення ґрунту при будівництві колекторної мережі траншейним способом:

Глибину виїмки мінерального грунту Нм, визначаэмо за формулою:

Нм = Н тр - hзр =1,2- 0,2 = 1,0 м

Об’єм виїмки мінерального грунту у траншеї Vм, визначаємо за формулою:м = Нм1 п.м. = 1.0 0,35  1 = 0,35 м3

Об'ємтимчасовогокавльєру мінеральногоґрунтуVкм,м3,визначаємо за формулою:

Vкм = Vмр.м= 0,35  1,2 = 0,42 м3



Ширину тимчасового кавальєру мінерального грунту визначаємо за формулою:1


Ширину зрізки рослинного грунту м ,визначаємо за формулою:


Об'єм зрізки рослинного шару грунту,м ,визначаємо за формулою:

Об'єм тимчасового кавальєру рослинного грунту на 1 п.м. ,визначаємо за формулою:


Висоту тимчасового кавальєру рослинного грунту,м ,визначаємо за формулою:


Ширину тимчасового кавальєру рослинного грунту,м ,визначаємо за формулою:


Відстань зрізки рослинного шару  ,визначаємо за формулою:

 =  + m2 =  + 3 0,74 = 4,52 м

Відстань переміщення мінерального грунту при зворотній засипці траншей, м ,визначаємо за формулою: