
![]()
Таблица
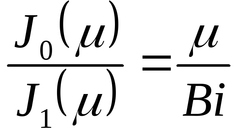
4. Корни уравнения
для шара
|
Bi |
μ1 |
μ2 |
μ3 |
μ4 |
μ5 |
μ6 |
|
0,00 |
0,0000 |
4,4934 |
7,7253 |
10,9041 |
14,0662 |
17,2208 |
|
0,01 |
0,1730 |
4,4956 |
7,7265 |
10,9050 |
14,0669 |
17,2213 |
|
0,02 |
0,2445 |
4,4979 |
7,7278 |
10,9060 |
14,0676 |
17,2219 |
|
0,04 |
0,3450 |
4,5023 |
7,7304 |
10,9078 |
14,0690 |
17,2231 |
|
0,06 |
0,4217 |
4,5068 |
7,7330 |
10,9096 |
14,0705 |
17,2242 |
|
0,08 |
0,4860 |
4,5112 |
7,7356 |
10,9115 |
14,0719 |
17,2254 |
|
0,10 |
0,5423 |
4,5157 |
7,7382 |
10,9133 |
14,0733 |
17,2266 |
|
0,15 |
0,6609 |
4,5268 |
7,7447 |
10,9179 |
14,0769 |
17,2295 |
|
0,2 |
0,7593 |
4,5379 |
7,7511 |
10,9225 |
14,0804 |
17,2324 |
|
0,3 |
0,9208 |
4,5601 |
7,7641 |
10,9316 |
14,0875 |
17,2382 |
|
0,4 |
1,0528 |
4,5822 |
7,7770 |
10,9408 |
14,0946 |
17,2440 |
|
0,5 |
1,1656 |
4,6042 |
7,7899 |
10,9499 |
14,1017 |
17,2498 |
|
0,6 |
1,2644 |
4,6261 |
7,8028 |
10,9591 |
14,1088 |
17,2556 |
|
0,7 |
1,3525 |
4,6479 |
7,8156 |
10,9682 |
14,1159 |
17,2614 |
|
0,8 |
1,4320 |
4,6696 |
7,8284 |
10,9774 |
14,1230 |
17,2672 |
|
0,9 |
1,5044 |
4,6911 |
7,8412 |
10,9865 |
14,1301 |
17,2730 |
|
1,0 |
1,5708 |
4,7124 |
7,8540 |
10,9956 |
14,1372 |
17,2788 |
|
1,5 |
1,8366 |
4,8158 |
7,9171 |
11,0409 |
14,1724 |
17,3076 |
|
2,0 |
2,0288 |
4,9132 |
7,9787 |
11,0856 |
14,2075 |
17,3364 |
|
2,5 |
2,1746 |
5,0037 |
8,0385 |
11,1296 |
14,2421 |
17,3649 |
|
3,0 |
2,2889 |
5,0870 |
8,0962 |
11,1727 |
14,2764 |
17,3932 |
|
4,0 |
2,4557 |
5,2329 |
8,2045 |
11,2560 |
14,3434 |
17,4490 |
|
5,0 |
2,5704 |
5,3540 |
8,3029 |
11,3349 |
14,4080 |
17,5034 |
|
6,0 |
2,6537 |
5,4544 |
8,3914 |
11,4086 |
14,4699 |
17,5562 |
|
7,0 |
2,7165 |
5,5378 |
8,4703 |
11,4773 |
14,5288 |
17,6072 |
|
8,0 |
2,7654 |
5,6078 |
8,5406 |
11,5408 |
14,5847 |
17,6567 |
|
9,0 |
2,8044 |
5,6669 |
8,6031 |
11,5994 |
14,6374 |
17,7032 |
|
10 |
2,8363 |
5,7172 |
8,6587 |
11,6532 |
14,6870 |
17,7481 |
|
15 |
2,9349 |
5,8852 |
8,8605 |
11,8634 |
14,8917 |
17,9414 |
|
20 |
2,9857 |
5,9783 |
8,9831 |
12,0029 |
15,0384 |
18,0887 |
|
30 |
3,0372 |
6,0766 |
9,1201 |
12,1691 |
15,2245 |
18,2870 |
|
40 |
3,0632 |
6,1273 |
9,1933 |
12,2618 |
15,3334 |
18,4085 |
|
50 |
3,0788 |
6,1582 |
9,2384 |
12,3200 |
15,4034 |
18,4888 |
|
60 |
3,0893 |
6,1788 |
9,2690 |
12,3599 |
15,4518 |
18,5450 |
|
80 |
3,1023 |
6,2048 |
9,3075 |
12,4105 |
15,5141 |
18,6181 |
|
100 |
3,1102 |
6,2204 |
9,3308 |
12,4414 |
15,5521 |
18,6632 |
|
∞ |
3,1416 |
6,2832 |
9,4248 |
12,5664 |
15,7080 |
18,8 |

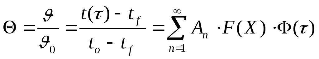
Рисунок 6. Безразмерная температура в центре шара

Рисунок 7. Безразмерная температура на поверхности шара
Таблица 5. Решение нестационарного уравнения теплопроводности
![]()
|
Форма |
|
|
|
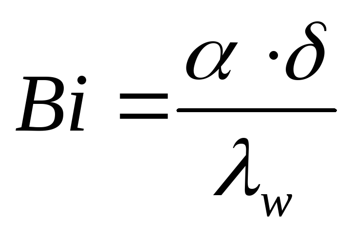
Характеристическое уравнение |
Bi<0,1
|
|
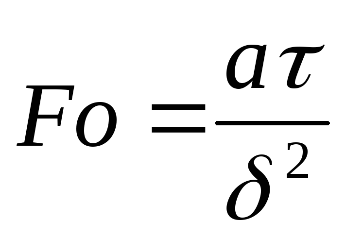
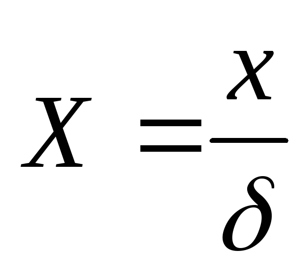
Пластина толщиной 2 |
|
|
|
|
cередина Х=0
поверхность Х=1
|
|
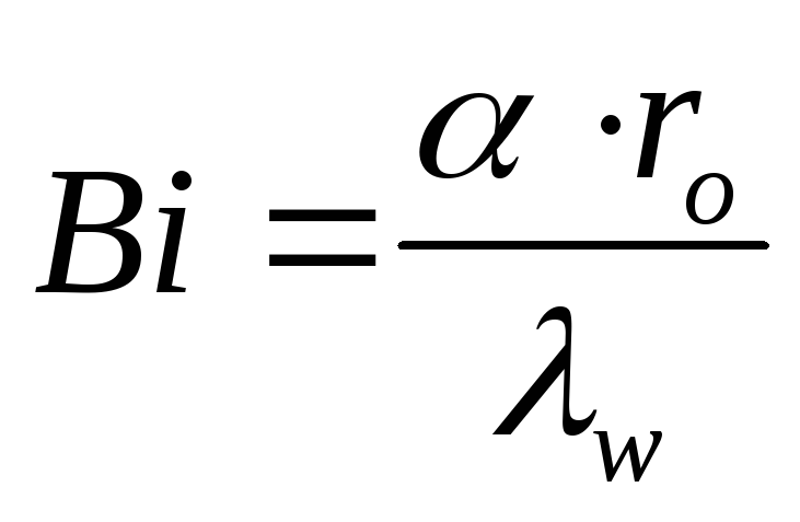
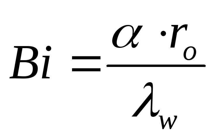
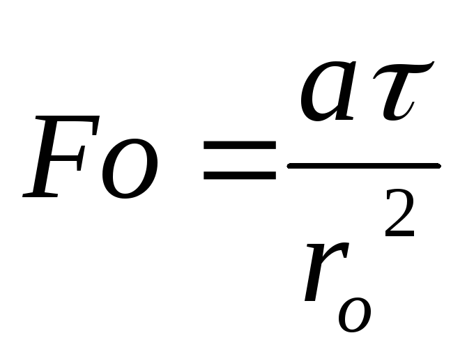
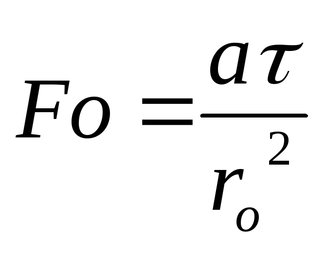
Цилиндр радиусом ro |
|
|
|
|
Ось R=0
поверхность R=1
|
|
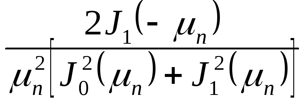
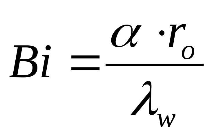
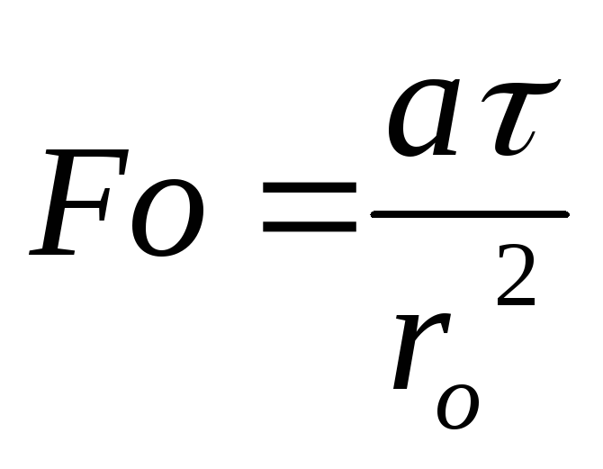
Шар радиусом ro |
|
|
|
|
центр R=0
поверхность R=1
|