ОБНИНСКИЙ ИНСТИТУТ АТОМНОЙ ЭНЕРГЕТИКИ (ИАТЭ)
Физико-энергетический факультет (ФЭФ)
Кафедра теплофизики
Справочные материалы для решения задач
Составитель: Богословская Г.П.
Обнинск 2015
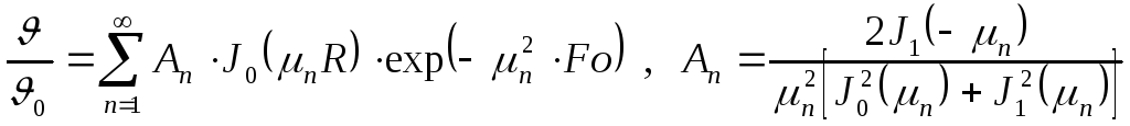
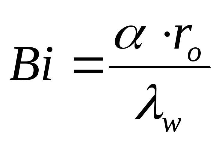
Функции Бесселя



Рисунок 1. Функции Бесселя первого и второго рода нулевого и первого порядков
Таблица 1. Функции Бесселя первого рода нулевого и первого порядков
|
x |
J0(x) |
J1(x) |
x |
J0(x) |
J1(x) |
x |
J0(x) |
J1(x) |
|
|
0,0 |
1,0000 |
0,0000 |
5,0 |
-0,1776 |
-0,3276 |
10,0 |
-0,2459 |
0,0435 |
|
|
0,1 |
0,9975 |
0,0499 |
5,1 |
-0,1443 |
-0,3371 |
10,1 |
-0,2490 |
0,0184 |
|
|
0,2 |
0,9900 |
0,0995 |
5,2 |
-0,1103 |
-0,3432 |
10,2 |
-0,2496 |
-0,0066 |
|
|
0,3 |
0,9776 |
0,1483 |
5,3 |
-0,0758 |
-0,3460 |
10,3 |
-0,2477 |
-0,0313 |
|
|
0,4 |
0,9604 |
0,1960 |
5,4 |
-0,0412 |
-0,3453 |
10,4 |
-0,2434 |
-0,0555 |
|
|
0,5 |
0,9385 |
0,2423 |
5,5 |
-0,0068 |
-0,3414 |
10,5 |
-0,2366 |
-0,0788 |
|
|
0,6 |
0,9120 |
0,2867 |
5,6 |
0,0270 |
-0,3343 |
10,6 |
-0,2276 |
-0,1012 |
|
|
0,7 |
0,8812 |
0,3290 |
5,7 |
0,0599 |
-0,3241 |
10,7 |
-0,2164 |
-0,1224 |
|
|
0,8 |
0,8463 |
0,3688 |
5,8 |
0,0917 |
-0,3110 |
10,8 |
-0,2032 |
-0,1422 |
|
|
0,9 |
0,8075 |
0,4059 |
5,9 |
0,1220 |
-0,2951 |
10,9 |
-0,1881 |
-0,1604 |
|
|
1,0 |
0,7652 |
0,4400 |
6,0 |
0,1506 |
-0,2767 |
11,0 |
-0,1712 |
-0,1768 |
|
|
1,1 |
0,7196 |
0,4709 |
6,1 |
0,1773 |
-0,2559 |
11,1 |
-0,1528 |
-0,1913 |
|
|
1,2 |
0,6711 |
0,4983 |
6,2 |
0,2017 |
-0,2329 |
11,2 |
-0,1330 |
-0,2038 |
|
|
1,3 |
0,6201 |
0,5220 |
6,3 |
0,2238 |
-0,2081 |
11,3 |
-0,1121 |
-0,2143 |
|
|
1,4 |
0,5669 |
0,5419 |
6,4 |
0,2433 |
-0,1816 |
11,4 |
-0,0902 |
-0,2224 |
|
|
1,5 |
0,5118 |
0,5579 |
6,5 |
0,2601 |
-0,1538 |
11,5 |
-0,0677 |
-0,2284 |
|
|
1,6 |
0,4554 |
0,5699 |
6,6 |
0,2740 |
-0,1250 |
11,6 |
-0,0446 |
-0,2320 |
|
|
1,7 |
0,3980 |
0,5778 |
6,7 |
0,2851 |
-0,0953 |
11,7 |
-0,0213 |
-0,2333 |
|
|
1,8 |
0,3400 |
0,5815 |
6,8 |
0,2931 |
-0,0652 |
11,8 |
0,0020 |
-0,2323 |
|
|
1,9 |
0,2818 |
0,5812 |
6,9 |
0,2981 |
-0,0349 |
11,9 |
0,0250 |
-0,2290 |
|
|
2,0 |
0,2239 |
0,5767 |
7,0 |
0,3001 |
-0,0047 |
12,0 |
0,0477 |
-0,2234 |
|
|
2,1 |
0,1666 |
0,5683 |
7,1 |
0,2991 |
0,0252 |
12,1 |
0,0697 |
-0,2158 |
|
|
2,2 |
0,1104 |
0,5560 |
7,2 |
0,2951 |
0,0543 |
12,2 |
0,0908 |
-0,2060 |
|
|
2,3 |
0,0555 |
0,5399 |
7,3 |
0,2882 |
0,0826 |
12,3 |
0,1108 |
-0,1943 |
|
|
2,4 |
0,0025 |
0,5202 |
7,4 |
0,2786 |
0,1096 |
12,4 |
0,1296 |
-0,1807 |
|
|
2,5 |
-0,0484 |
0,4971 |
7,5 |
0,2663 |
0,1352 |
12,5 |
0,1469 |
-0,1655 |
|
|
2,6 |
-0,0968 |
0,4708 |
7,6 |
0,2516 |
0,1592 |
12,6 |
0,1626 |
-0,1487 |
|
|
2,7 |
-0,1424 |
0,4416 |
7,7 |
0,2346 |
0,1813 |
12,7 |
0,1766 |
-0,1307 |
|
|
2,8 |
-0,1850 |
0,4097 |
7,8 |
0,2154 |
0,2014 |
12,8 |
0,1887 |
-0,1114 |
|
|
2,9 |
-0,2243 |
0,3754 |
7,9 |
0,1944 |
0,2192 |
12,9 |
0,1988 |
-0,0912 |
|
|
3,0 |
-0,2600 |
0,3391 |
8,0 |
0,1716 |
0,2346 |
13,0 |
0,2069 |
-0,0703 |
|
|
3,1 |
-0,2921 |
0,3009 |
8,1 |
0,1475 |
0,2476 |
13,1 |
0,2129 |
-0,0488 |
|
|
3,2 |
-0,3202 |
0,2613 |
8,2 |
0,1220 |
0,2580 |
13,2 |
0,2167 |
-0,0271 |
|
|
3,3 |
-0,3443 |
0,2207 |
8,3 |
0,0960 |
0,2657 |
13,3 |
0,2183 |
-0,0052 |
|
|
3,4 |
-0,3643 |
0,1792 |
8,4 |
0,0692 |
0,2708 |
13,4 |
0,2177 |
0,0166 |
|
|
3,5 |
-0,3801 |
0,1374 |
8,5 |
0,0419 |
0,2731 |
13,5 |
0,2150 |
0,0380 |
|
|
3,6 |
-0,3918 |
00955 |
8,6 |
0,0146 |
0,2728 |
13,6 |
0,2101 |
0,0590 |
|
|
3,7 |
-0,3992 |
0,0538 |
8,7 |
-0,0125 |
0,2697 |
13,7 |
0,2032 |
0,0791 |
|
|
3,8 |
-0,4026 |
0,0128 |
8,8 |
-0,0392 |
0,2641 |
13,8 |
0,1943 |
0,0984 |
|
|
3,9 |
-0,4018 |
-0,0272 |
8,9 |
-0,0652 |
0,2559 |
13,9 |
0,1836 |
0,1165 |
|
|
4,0 |
-0,3971 |
-0,0660 |
9,0 |
-0,0903 |
0,2453 |
14,0 |
0,1711 |
0,1334 |
|
|
4,1 |
-0,3887 |
-0,1033 |
9,1 |
-0,1142 |
0,2324 |
14,1 |
0,1570 |
0,1488 |
|
|
4,2 |
-0,3766 |
-0,1386 |
9,2 |
-0,1368 |
0,2174 |
14,2 |
0,1414 |
0,1626 |
|
|
4,3 |
-0,3610 |
-0,1719 |
9,3 |
-0,1577 |
0,2004 |
14,3 |
0,1245 |
0,1747 |
|
|
4,4 |
-0,3423 |
-0,2028 |
9,4 |
-0,1768 |
0,1816 |
14,4 |
0,1065 |
0,1850 |
|
|
4,5 |
-0,3205 |
-0,2311 |
9,5 |
-0,1939 |
0,1613 |
14,5 |
0,0875 |
0,1934 |
|
|
4,6 |
-0,2961 |
-0,2666 |
9,6 |
-0,2090 |
0,1395 |
14,6 |
0,0679 |
0,1989 |
|
|
4,7 |
-0,2693 |
-0,2791 |
9,7 |
-0,2218 |
0,1116 |
14,7 |
0,0476 |
0,2043 |
|
|
4,8 |
-0,2404 |
-0,2985 |
9,8 |
-0,2323 |
0,0928 |
14,8 |
0,0271 |
0,2066 |
|
|
4,9 |
-0,2097 |
-0,3147 |
9,9 |
-0,2403 |
0,0684 |
14,9 |
0,0064 |
0,2069 |
|
|
|
|
|
|
|
|
15,0 |
-0,0142 |
0,2051 |
|
![]()
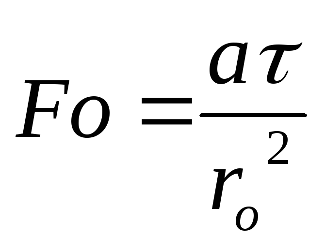
Таблица
2. Корни уравнения
для неограниченной
пластины
|
Bi |
μ1 |
μ2 |
μ3 |
μ4 |
μ5 |
μ6 |
|
0,00 |
0,0000 |
3,1416 |
6,2832 |
9,4248 |
12,5664 |
15,7080 |
|
0,001 |
0,0316 |
3,1419 |
6,2833 |
9,4249 |
12,5665 |
15,7080 |
|
0,002 |
0,0447 |
3,1422 |
6,2835 |
9,4250 |
12,5665 |
15,7081 |
|
0,004 |
0,0632 |
3,1429 |
6,2838 |
9,4252 |
12,5667 |
15,7082 |
|
0,006 |
0,0774 |
3,1435 |
6,2841 |
9,4254 |
12,5668 |
15,7083 |
|
0,008 |
0,0893 |
3,1441 |
6,2845 |
9,4256 |
12,5670 |
15,7085 |
|
0,01 |
0,0998 |
3,1448 |
6,2848 |
9,4258 |
12,5672 |
15,7086 |
|
0,02 |
0,1410 |
3,1479 |
6,2864 |
9,4269 |
12,5680 |
15,7092 |
|
0,04 |
0,1987 |
3,1543 |
6,2895 |
9,4290 |
12,5696 |
15,7105 |
|
0,06 |
0,2425 |
3,1606 |
6,2927 |
9,4311 |
12,5711 |
15,7118 |
|
0,08 |
0,2791 |
3,1668 |
6,2959 |
9,4333 |
12,5727 |
15,7131 |
|
0,1 |
0,3111 |
3,1731 |
6,2991 |
9,4354 |
12,5743 |
15,7143 |
|
0,2 |
0,4328 |
3,2039 |
6,3148 |
9,4459 |
12,5823 |
15,7207 |
|
0,3 |
0,5218 |
3,2341 |
6,3305 |
9,4565 |
12,5902 |
15,7270 |
|
0,4 |
0,5932 |
3,2636 |
6,3461 |
9,4670 |
12,5981 |
15,7334 |
|
0,5 |
0,6533 |
3,2923 |
6,3616 |
9,4775 |
12,6060 |
15,7397 |
|
0,6 |
0,7051 |
3,3204 |
6,3770 |
9,4879 |
12,6139 |
15,7460 |
|
0,7 |
0,7506 |
3,3477 |
6,3923 |
9,4983 |
12,6218 |
15,7524 |
|
0,8 |
0,7910 |
3,3744 |
6,4074 |
9,5087 |
12,6296 |
15,7587 |
|
0,9 |
0,8274 |
3,4003 |
6,4224 |
9,5190 |
12,6375 |
15,7650 |
|
1,0 |
0,8603 |
3,4256 |
6,4373 |
9,5293 |
12,6453 |
15,7713 |
|
1,5 |
0,9882 |
3,5422 |
6,5097 |
9,5801 |
12,6841 |
15,8026 |
|
2,0 |
1,0769 |
3,6436 |
6,5783 |
9,6296 |
12,7223 |
15,8336 |
|
3,0 |
1,1925 |
3,8088 |
6,7040 |
9,7240 |
12,7966 |
15,8945 |
|
4,0 |
1,2646 |
3,9352 |
6,8140 |
9,8119 |
12,8678 |
15,9536 |
|
5,0 |
1,3138 |
4,0336 |
6,9096 |
9,8928 |
12,9352 |
16,0107 |
|
6,0 |
1,3496 |
4,1116 |
6,9924 |
9,9667 |
12,9988 |
16,0654 |
|
7,0 |
1,3766 |
4,1746 |
7,0640 |
10,0339 |
13,0584 |
16,1177 |
|
8,0 |
1,3978 |
4,2264 |
7,1263 |
10,0949 |
13,1141 |
16,1675 |
|
9,0 |
1,4149 |
4,2694 |
7,1806 |
10,1502 |
13,1660 |
16,2147 |
|
10 |
1,4289 |
4,3058 |
7,2281 |
10,2003 |
13,2142 |
16,2594 |
|
15 |
1,4729 |
4,4255 |
7,3959 |
10,3898 |
13,4078 |
16,4474 |
|
20 |
1,4961 |
4,4915 |
7,4954 |
10,5117 |
13,5420 |
16,5864 |
|
30 |
1,5202 |
4,5615 |
7,6057 |
10,6543 |
13,7085 |
16,7691 |
|
40 |
1,5325 |
4,5979 |
7,6647 |
10,7334 |
13,8048 |
16,8794 |
|
50 |
1,5400 |
4,6202 |
7,7012 |
10,7832 |
13,8666 |
16,9519 |
|
60 |
1,5451 |
4,6353 |
7,7259 |
10,8172 |
13,9094 |
17,0026 |
|
80 |
1,5514 |
4,6543 |
7,7573 |
10,8606 |
13,9644 |
17,0686 |
|
100 |
1,5552 |
4,6658 |
7,7764 |
10,8871 |
13,9981 |
17,1093 |
|
∞ |
1,5708 |
4,7124 |
7,8540 |
10,9956 |
14,1372 |
17,2788 |

Рисунок 2. Безразмерная температура в середине неограниченной пластины

Рисунок 3. Безразмерная температура на поверхности неограниченной пластины

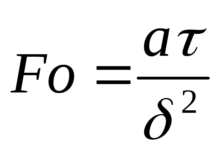
![]()
Таблица
3. Корни
уравнения
для неограниченного цилиндра
|
Bi |
μ1 |
μ2 |
μ3 |
μ4 |
μ5 |
μ6 |
|
0,00 |
0,0000 |
3,8317 |
7,0156 |
10,1735 |
13,3237 |
16,4706 |
|
0,01 |
0,1412 |
3,8343 |
7,0170 |
10,1745 |
13,3244 |
16,4712 |
|
0,02 |
0,1995 |
3,8369 |
7,0184 |
10,1754 |
13,3252 |
16,4718 |
|
0,04 |
0,2814 |
3,8421 |
7,0213 |
10,1774 |
13,3267 |
16,4731 |
|
0,06 |
0,3438 |
3,8473 |
7,0241 |
10,1794 |
13,3282 |
16,4743 |
|
0,08 |
0,3960 |
3,8525 |
7,0270 |
10,1813 |
13,3297 |
16,4755 |
|
0,10 |
0,4417 |
3,8577 |
7,0298 |
10,1833 |
13,3312 |
16,4767 |
|
0,15 |
0,5376 |
3,8706 |
7,0369 |
10,1882 |
13,3349 |
16,4797 |
|
0,2 |
0,6170 |
3,8835 |
7,0440 |
10,1931 |
13,3387 |
16,4828 |
|
0,3 |
0,7465 |
3,9091 |
7,0582 |
10,2029 |
13,3462 |
16,4888 |
|
0,4 |
0,8516 |
3,9344 |
7,0723 |
10,2127 |
13,3537 |
16,4949 |
|
0,5 |
0,9408 |
3,9594 |
7,0864 |
10,2225 |
13,3611 |
16,5010 |
|
0,6 |
1,0184 |
3,9841 |
7,1004 |
10,2322 |
13,3686 |
16,5070 |
|
0,7 |
1,0873 |
4,0085 |
7,1143 |
10,2419 |
13,3761 |
16,5131 |
|
0,8 |
1,1490 |
4,0325 |
7,1282 |
10,2519 |
13,3835 |
16,5191 |
|
0,9 |
1,2048 |
4,0562 |
7,1421 |
10,2613 |
13,3910 |
16,5251 |
|
1,0 |
1,2558 |
4,0795 |
7,1558 |
10,2710 |
13,3984 |
16,5312 |
|
1,5 |
1,4569 |
4,1902 |
7,2233 |
10,3188 |
13,4353 |
16,5612 |
|
2,0 |
1,5994 |
4,2910 |
7,2884 |
10,3658 |
13,4719 |
16,5910 |
|
3,0 |
1,7887 |
4,4634 |
7,4103 |
10,4566 |
13,5434 |
16,6499 |
|
4,0 |
1,9081 |
4,6018 |
7,5201 |
10,5423 |
13,6125 |
16,7073 |
|
5,0 |
1,9898 |
4,7131 |
7,6177 |
10,6223 |
13,6786 |
16,7630 |
|
6,0 |
2,0490 |
4,8033 |
7,7039 |
10,6964 |
13,7414 |
16,8168 |
|
7,0 |
2,0937 |
4,8772 |
7,7797 |
10,7646 |
13,8008 |
16,8684 |
|
8,0 |
2,1286 |
4,9384 |
7,8464 |
10,8271 |
13,8566 |
16,9179 |
|
9,0 |
2,1566 |
4,9897 |
7,9051 |
10,8842 |
13,9090 |
16,9650 |
|
10 |
2,1795 |
5,0332 |
7,9569 |
10,9363 |
13,9580 |
17,0099 |
|
15 |
2,2509 |
5,1773 |
8,1422 |
11,1367 |
14,1576 |
17,2008 |
|
20 |
2,2880 |
5,2568 |
8,2534 |
11,2677 |
14,2983 |
17,3442 |
|
30 |
2,3261 |
5,3410 |
8,3771 |
11,4221 |
14,4748 |
17,5348 |
|
40 |
2,3455 |
5,3846 |
8,4432 |
11,5081 |
14,5774 |
17,6508 |
|
50 |
2,3572 |
5,4112 |
8,4840 |
11,5621 |
14,6433 |
17,7272 |
|
60 |
2,3651 |
5,4291 |
8,5116 |
11,5990 |
14,6889 |
17,7807 |
|
80 |
2,3750 |
5,4516 |
8,5466 |
11,6461 |
14,7475 |
17,8502 |
|
100 |
2,3809 |
5,4652 |
8,5678 |
11,6747 |
14,7834 |
17,8931 |
|
∞ |
2,4048 |
5,5201 |
8,6537 |
11,7915 |
14,9309 |
18,0711 |

Рисунок 4. Безразмерная температура на оси неограниченного цилиндра

Рисунок 5. Безразмерная температура на поверхности неограниченного цилиндра