Сучасний календар складається з основних елементів сонячного римського календаря, який був розроблений олександрійським астрономом Созігеном і введений в 45 p. до н. е. Юлієм Цезарем. Рік у ньому становив 365,25 сонячної доби, причому для зручності лічби запропоновано вважати три роки по 365 діб, а кожний четвертий рік по 366 діб. Роки з 365 добами названо простими, а з 366 — високосними. Всі роки, номери яких діляться на 4, вважались високосними
Рік складався з 12 місяців, тривалість і назви яких зберігалися в європейському і російському календарях; в тому числі і назви — "июль" та "август" на честь Юлія Цезаря і імператора Августа. Дійшов до нашого часу і вавілонський семиденний тиждень.
У юліанському календарі різниця між календарним і тропічним роком дорівнює 0,0078 доби або 11m14s; за 128 років вона збільшується до 1 доби. На кінець XVI ст., відставання становило вже 10 діб. Італійський професор математики Луїджі Ліліо Гараллі .запропонував проект нового календаря, який і був затверджений папою римським Григорієм XIII у 1582p.
Новий календар став називатися григоріанським, або "новим стилем", на відміну від юліанського календаря, або "старого стилю". У папській буллі наказувалось вважати наступний після 4 жовтня 1582 p. день не 5, а 15 жовтня. Так було ліквідовано 10 днів відставання. Щоб надалі не допускати відставання, домовились з кожних 400 років вважати високосними не 100, як в юліанському календарі, а 97 років і вважати простими ті вікові роки, в яких число сотень не ділиться на 4 без остачі, наприклад 1700, 1800, 1900. У Радянській Росії щоб ліквідувати відставання в 13 діб, день після 31 січня 1918 p. стали вважати не 1, а 14 лютого.
Всесвітній календар
Григоріанський календар має ряд недоліків: неоднакова тривалість місяців, різна кількість робочих днів на місяць, дні тижня припадають з року в рік на різні числа місяця. Вони породжують незручності в житті людей, ведуть до великих невиправданих витрат, тому що ускладнюють обчислення процентів по банківських операціях, по страхових розрахунках, по виплатах робітникам і службовцям з фондів соціального страхування і т.п.
Новий проект під назвою Всесвітнього календаря було схвалено лише у 1954 p. Економічною і Соціальною радою ООН. Структура Всесвітнього календаря така: у році 12 місяців з тими самими назвами; тиждень залишається семиденний; рік поділено на 4 квартали по 91 дню; кожний квартал складається з трьох місяців; перший місяць має 31 день, два наступних — по 30 днів; 1 січня завжди припадає на неділю; квартали починаються з неділі і закінчуються суботами. Кількість робочих днів на місяць — 26
Отже, 4 квартали у Всесвітньому календарі мають 364 дні, тобто на один день менше від простого року у григоріанському календарі. Цей день рекомендовано вважати міжнародним святом — Днем миру і дружби народів, або днем Нового року. Встановлюється він між 30грудня і 1 січня. У високосному році слід додати ще один неробочий день поза датами місяця — (після 30 червня) — День високосного року.
Проект Всесвітнього календаря, схвалений більшістю країн, проте не прийнятий, бо США і Англія не погодились з ним "з політичних і релігійних міркувань". Переваги Всесвітнього календаря очевидні. Прогресивні суспільні сили продовжують роботу з метою введення Всесвітнього календаря.
Закони Кеплера.
І. Кожна планета обертається по еліпсу, в одному з фокусів якого знаходиться Сонце.
Найвіддаленіша від Сонця точка траєкторії планети називається афелієм (А), а найближча – перигелієм (П).
ІІ. Радіус – вектор планети за рівні проміжки часу описує рівні площі.
Швидкість планет постійно змінюється: з наближенням до Сонця швидкість планети зростає (υпериг > υафел )
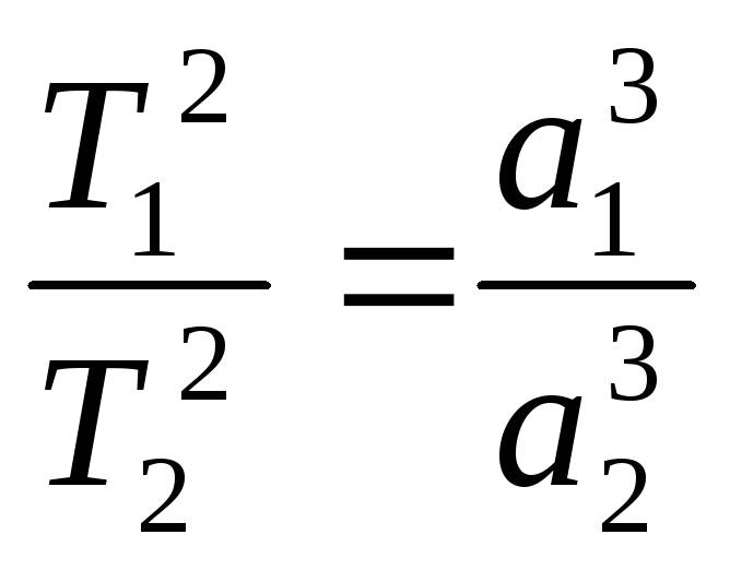
ІІІ. Квадрати зоряних періодів обертання планет відносяться як куби великих півосей їх орбіт:

Закон дозволяє встановити відносну відстань планети від Сонця в порівнянні з радіусом земної орбіти.
Дайте визначення місцевому часу. Чим він відрізняється від поясного?
Чим відрізняються різні типи календарів? В чому їх недоліки?
Як пов’язані між собою одиниці вимірювання часу та астрономічні явища?
1. Климишин І.А., Крячко І.П. Астрономія: Підручник для 11 класу загальноосвітніх навчальних закладів. – К.: Знання України, 2002р, §6, 9-10.
Тема: Фази місяця. Затемнення. Небесна механіка.
План
Видимий рух Місяця. Фази Місяця.*
Місячні та сонячні затемнення.*
Рух супутників.**
1. Видимий рух Місяця. Фази Місяця.
Зоряний (сидеричний) місяць – проміжок часу, за який Місяць, описуючи повне коло на небесній сфері, повертається до тієї самої точки (27 1/3 доби).
Місяць – джерело відбитого світла.
Фаза – зміна зовнішнього вигляду Місяця для спостерігача на Землі.

Розрізняють чотири найголовніші фази: новий місяць – 1, перша четверть – 3, повня (повний Місяць) – 5, третя (остання) четверть – 7.
Синодичний місяць – проміжок часу між двома однойменними фазами Місяця.
2. Сонячні та місячні затемнення.
С
онячне
затемнення відбувається тоді, коли тінь
від Місяця потрапляє на поверхню Землі.
Місячне затемнення відбувається тоді, коли Місяць потрапляє в конус тіні, відкинутої Землею.
Оскільки під час затемнення Місяця насправді позбавляється сонячного світла, то місячне затемнення видно на всій нічній півкулі землі і для всіх точок цієї півкулі починається і закінчується водночас.
3. Рух супутників.
(1)
(2)
![]()
![]()
Коло Парабола Гіпербола
![]()
![]()
1. Що таке наша ера?
2. Які ви знаєте закони Кеплера?
3. Що таке календар? Які типи календарів розроблено в минулому, де і які використовуються в наш час?
4. Чому на картах зоряного неба не вказують шлях Місяця серед зір, а лише Сонця?
5. З якою середньою кутовою швидкістю Місяць рухається по небесній сфері відносно Сонця?
6. Чому сонячні затемнення відбуваються не в кожну фазу нового місяця?
1. Климишин І.А., Крячко І.П. Астрономія: Підручник для 11 класу загальноосвітніх навчальних закладів. – К.: Знання України, 2002р, §8-10.
Тема: Планети земної групи
План.
Загальна характеристика планет
Меркурій
Венера
Марс
Цікаві факти**
Планети земної групи – чотири планети Сонячної системи: Меркурій, Венера, Земля та Марс[1]. По структурі та складу до них можуть бути віднесені і деякі астероїди, наприклад, Веста.
Основні характеристики.
Планети земної групи мають високу густину та складаються переважно з силікатів та металізованого заліза (на відміну від газових гігантів та льодових карликових планет, об’єктів пояса Койпера та хмари Оорта). Найбільша планета земної групи — Земля, більше ніж у 14 разів уступає в масі найменшому газовому гіганту — Урану, але при цьому у 400 разів масивніша найбільшого об’єкта поясу Койпера.
Планети земної групи складаються переважно з кисню, кремнію, заліза, магнію, алюмінію та інших важких елементів.
Всі планети земної групи мають наступну будову:
у центрі планети залізне ядро з невеликою кількістю нікелю;
мантія складається з силікатів;
кора, яка виникла через часткове плавлення мантії складається також з силікатних порід. З поміж планет земної групи тільки у Меркурія немає кори, оскільки вона була розбита в результаті метеоритних бомбардувань. Земля відрізняється від інших планет групи наявністю великої кількості гранітів у корі.
Дві планети земної групи (Земля та Марс) мають супутники і жодна зі всіх чотирьох планет групи не має кілець.
Меркурій
На Меркурії великі перепади температур, оскільки атмосфера надто розріджена і не може утримати тепло. Вдень температура піднімається до 430°C, а вночі падає до -180°C.
Меркурій настільки близький до Сонця, що період його обертання невеликий. Повний оберт навколо Сонця він здійснює за 88 діб, натомість Земля — за 365 діб. Та він повільно обертається навколо своєї осі; доба на ньому триває 58,6 земної доби.
Меркурій має невеличкі полярні крижані шапки, але це не вода, а змерзла кислота.
Венера
Завдяки щільній атмосфері Венера добре відбиває сонячне світло і блищить як зоря. Але оскільки вона розміщена близько до Сонця, її можна бачити тільки ввечері перед заходом Сонця. Тому вона й названа вечірньою зорею. Її називають іще вранішньою зорею, бо Венеру можна побачити безпосередньо перед сходом Сонця. У давнину її навіть сприймали за два різних світила.
Атмосфера Венери смертельна для людини. Оскільки шар атмосфери товстий і щідбний, тиск на поверхні планети дуже високий. Атмосфера складається в основному з вуглекислого газу, в якому плавають отруйної сірчаної кислоти, викинутої в результаті вулканічної діяльності.
Марс
Найвищий вулкан Сонячної системи — Гора Олімп (27 км) — розташований на Марсі, утричі вищий зв Еверест. Ще одне цікаве геологічне утворення — каньйон Долина Марінера завдовжки 4000 км і в чотири рази глибший за Великий Каньйон.
Жодна з космічних експадицій на Марс не виявила найменших слідів життя. Проте у 1996 р. Учені НАСА виявили щось схоже на залишки мікроорганізмів у скелях в арктичних районах Марса. Тому пошуки тривають. У 2003 році до Марса вирушило три дослідницьких апарати.
Цікаві факти :
Меркурій – найближча від Сонця точка орбіти Меркурія (перигелій) — 45,9 млн км, а найдальша (афелій) — 69,7 млн км.Діаметр Меркурія 4878 км, а маса в 20 разів менша, ніж у Землі.
Венера – перигелій Венери 107,4 млн км, а афелій — 109 млн км. Діаметр Венери 12 102 км,а її мса становить 4/5 зеиної.
Марс – віддаленість Марса Від Сонця 227,9 млн км. Діаметр Марса 6786 км, а його маса майже в 10 разів менша, ніж у Землі.
Чому Меркурій не має атмосфери?
З чим пов’язаний „парниковий ефект” на Венері?
Чому Марс називають космічним двійником Землі?
Які спільні особливості рельєфу мають всі планети земної групи?
1. Климишин І.А., Крячко І.П. Астрономія: Підручник для 11 класу загальноосвітніх навчальних закладів. – К.: Знання України, 2002р, § 13-14..
Тема: Планети – гіганти та їх супутники.
План.
Загальна характеристика планет – гігантів.
Особливості планет – гігантів.*
Супутники та кільця планет.*
Відмінність планет – гігантів від планет земної групи:
Істотно більші розміри;
Менші густини планет;
Всі мають потужні водневі – гелійові з домішками аміаку і метану (до 0,1%) атмосфери;
Швидкість обертання їх навколо осі набагато більша.
Газові планети (планети-гіганти, газові гіганти) — планети, які майть у своєму складі значну частку газу (водень та гелій).
В Сонячній системі це Юпітер, Сатурн, Уран, Нептун. Найбільш велика наразі відома газова планета TrES-4b (сузір'я Геркулес).
Згідно гіпотези походження Сонячної системи, планети-гіганти утворились пізніше за планети земної групи, коли температура навколосонячної туманності опустилась до точки кристалізації газу. В цей час всі тугоплавкі елементи вже були в твердій формі в складі більш близьких до Сонця планет.
Гіпотези про внутрішню будову газових планет припускають існування декілької шарів. На певній глибині тиск в акмосфері газових планет досягає значення достатнього для переходу водню в рідкий стан. Також, якщо планета досить велика, то можливе існування шару металічного водню (стану, де протони і електрони існують окремо), потоки електронів в якому породжують потужне магнітне поле планети. Також можливе існування невеликого кам'яного чи металічного ядра.
Період обертання газових планет навколо своєї осі становить 9—17 годин.
В атмосфері газових планет дують потужні вітри, та гіганські вихори (Велика червона пляма на Юпітері, Велика Біла пляма на Сатурні, Велика Темна пляма на Нептуні).
Газовими можуть бути тільки великі планети, які можуть втримати гелій та водень. Більшість виявлених екзопланет теж є газовими.
Як показали виміри апарата «Галілео», тиск та температура швидко ростуть вже в верхніх шарах газових планет. На глибині 130 км в атмосфері Юпітера температура становить 145 °C , тиск — 24 атмосфери.
Особливості планет-гігантів.
З чотирьох гігантських планет найкраще вивчено Юпітер — найбільшу планету цієї групи і найближчу з них до нас і Сонця. Вісь обертання Юпітера майже перпендикулярна до площини його орбіти, тому сезонних змін умов освітлення на ньому немає.
У всіх планет-гігантів обертання навколо осі досить швидке, а густина мала. Внаслідок цього вони значно стиснуті.
Усі планети-гіганти оточені потужними, великих розмірів атмосферами. І ми бачимо тільки, що в них плавають хмари, які внаслідок швидкого обертання витягнулися паралельними екватору смугами.
Смуги хмар видно на Юпітері навіть у слабкий телескоп . Юпітер обертається зонами — чим ближче до полюсів, тим повільніше. На екваторі період обертання 9 год 50 хв, а на середніх широтах на кілька хвилин триваліший. Аналогічно обертаються й інші планети-гіганти.
Оскільки планети-гіганти дуже віддалені від Сонця, їх температура (принаймні над їхніми хмарами) дуже низька: на Юпітері —145 °С, на Сатурні —180 °С, на Урані й Нептуні ще нижча.
Атмосфери планет-гігантів містять переважно молекулярний водень, а також метан СН4 і, мабуть, багато гелію, а в атмосфері Юпітера і Сатурна виявлено ще й аміак NН3. Відсутність смуг NН3 у спектрах більш віддалених планет пояснюється тим, що він там вимерз. При низькій температурі аміак конденсується, і з нього, очевидно, складаються видимі хмари Юпітера.