Материал: Ассортимент лекарственных растений, используемых для лечения сердечно-сосудистых заболеваний

Внимание! Если размещение файла нарушает Ваши авторские права, то обязательно сообщите нам

Ассортимент лекарственных растений, используемых для лечения сердечно-сосудистых заболеваний

Содержание

Введение

Глава 1. Обзор литературы

.1 Сердечные гликозиды как биологически активные вещества лекарственных растений

.1.1 Общая характеристика

.1.2 Характеристика углеводного компонента

.1.3 Классификация

.1.4 Физико-химические свойства

.1.5 Качественные реакции

.1.6 Количественное определение

.2 Сырьевая база и пути использования сырья, содержащего сердечные гликозиды

.3 Медицинское применение сырья и препаратов, содержащих кардиотонические гликозиды

.4 Ботаническое описание, химический состав лекарственных растений, содержащих сердечные гликозиды

.4.1 Листья Наперстянки Шерстистой - Folia Digitalis Lanatae

.4.2 Трава Адониса (Горицвета) Весеннего - Herba Adonidis Vernalis

.4.3 Цветки Ландыша - Flores Convallariae

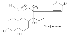
.4.4 Семена Строфанта - Semina Strophanthi

Глава 2. Материалы и методы исследования

Глава 3. Результаты и обсуждение

.1 Значение фармацевтической маркетинговой информации

.2 Исследование портрета потребителя кардиотонических лекарственных препаратов растительного происхождения

3.3 Исследовательская работа

ВЫВОДЫ

СПИСОК ИСПОЛЬЗУЕМОЙ ЛИТЕРАТУРЫ

ВВЕДЕНИЕ


Заболевания сердечно-сосудистой системы в мире по данным Всемирной организации здравоохранения находятся на одном из лидирующих мест в общей структуре заболеваемости и смертности населения. Синтетические препараты успешно используются в качестве основных средств при фармакотерапии и профилактике заболеваний сердца. Но, несмотря на высокую эффективность, они оказывают и неблагоприятное воздействие на функциональное состояние организма. Биологически активные соединения лекарственных растений обладают широким спектром действия, низкой токсичностью, что позволяет их рекомендовать для длительной терапии.

Особенно актуальным вопросом в настоящее время являются поиск и изучение лекарственных средств и новых методов лечения сердечно-сосудистых заболеваний.

Определенные успехи, достигнутые в лечении сердечно-сосудистых заболеваний, во многом связаны с внедрением в практику эффективных лекарственных средств, в частности растительного происхождения.

Терапевтическая ценность лекарственных растений определяется входящими в их состав биологически активными веществами. К последним относятся все вещества, способные оказывать влияние на биологические процессы, протекающие в организме. За долгую историю поисков и практического использования таких веществ накопились сведения о биологической активности большого числа химических соединений с полностью или частично установленной структурой. В лекарственных растениях, используемых для лечения заболеваний сердечно-сосудистой системы, основным действующим биологически активным веществом являются сердечные гликозиды [7].

Целью данной работы было изучение ассортимента лекарственных растений, используемых для лечения сердечно-сосудистых заболеваний.

Для достижения поставленной цели необходимо решить следующие задачи:

.        - изучить сердечные гликозиды как биологически активные вещества лекарственных растений;

.        - рассмотреть сырьевую базу и пути использования лекарственного растительного сырья, содержащего сердечные гликозиды;

.        - охарактеризовать медицинское применение рассматриваемых лекарственных растений;

.        - привести ботаническое описание некоторых лекарственных растений, из которых производят препараты;

.        - изучить потребительский портрет пациентов, приобретающих кардиотонические средства на основе ЛРС;

.        - проанализировать аптечный ассортимент.

База исследования: ИП Автаева О.В. г. Саратов.

ГЛАВА 1. ОБЗОР ЛИТЕРАТУРЫ


1.1     Сердечные гликозиды как биологически активные вещества лекарственных растений


1.1.1 Общая характеристика

Гликозиды - сложные безазотистые органические соединения. При гидролизе они распадаются на сахаристую часть (глюкозу, рамнозу, галактозу и др.) - гликон и несахаристую - агликон или генин. Действие гликозидов в основном определяется их несахаристой частью. В чистом виде гликозиды обычно представляют собой кристаллические, легкорастворимые в воде и спирте вещества горького вкуса. При хранении они быстро разрушаются ферментами самих растений, под действием высоких температур, кислот, щелочей и других неблагоприятных факторов. Поэтому при заготовке растений, содержащих гликозиды, необходимо соблюдать все правила сбора, сушки и хранения. Учитывая нестойкость гликозидов, их обычно используют не в чистом виде, а применяют растения или извлечения из них. Исключения составляют сердечные гликозиды: строфантин, эризимин, гликозиды наперстянки и др. [4]

Гликозиды отличаются один от другого как структурой агликона, так и строением сахаристой цепи. гликозиды наперстянки. В зависимости от химической природы агликона гликозиды делят на шесть основных групп:

сердечные гликозиды, агликоном которых являются производные циклопе нтанопергидрофенан трена, содержащие в качестве важнейших заместителей пяти- и шестичленные лактонные кольца;

сапонины, агликоном которых служат соединения стероидной и тритерпеновой природы;

антрагликозиды - вещества от желтого до красного цвета и содержащие в качестве агликона производные антрацена различной степени окисленности;

горькие гликозиды, или иридоиды, - соединения очень горького вкуса, представляющие собой производные циклических монотерпенов;

цианогенные гликозиды, агликонами которых являются соединения, содержащие синильную кислоту в связанном состоянии;

тиогликозиды, или глюкозинолаты, образующие при гидролизе нитрилы и изотиоцианаты.

Кардиотоническими (сердечными) гликозидами называется группа природных биологически активных веществ, оказывающих избирательное кардиотоническое действие на сердечную мышцу. Агликоном этих соединений являются производные циклопентанпергидрофенантрена, содержащие в 17-м положении ненасыщенное пятичленное или шестичленное лактонное кольцо.

Учитывая, что во всем мире сердечно-сосудистые заболевания занимают первое место в общей структуре заболеваемости, эта группа веществ в арсенале медицинских средств имеет первостепенное значение. Лекарственные растения служат единственным источником получения кардиотонических гликозидов. [6]

Растения, содержащие кардиотонические гликозиды, распространены достаточно широко. Они встречаются во флоре всех континентов мира и принадлежат к 13 семействам: норичниковых (различные виды наперстянок), ландышевых (ландыш), крестоцветных (желтушники), кутровых (олеандр, кендырь, строфант), лютиковых (адонисы, морозники) и др. Накопление гликозидов зависит от факторов окружающей среды (свет, почва, климатические условия, географический фактор и др.). Содержание их и качественный состав претерпевают сильные изменения в процессе развития растения.

Как и все гликозиды, гликозиды кардиотонического действия состоят из двух частей: углеводной и неуглеводной - агликона. Агликон является производным циклопентанпергидрофенантрена (и относится к классу стероидов). У агликонов кардиотонических гликозидов могут быть заместители у углеродных атомов в положении: С3, С5, С10, С12, С13, С14, С16, а в положении С17 находится ненасыщенное лактонное кольцо. Заместителями могут быть: R1 - OH; R2 - OH, Н; R3 - СН3, С-OH, CH2-OH; R4 - OH, Н; R5 - CH3; R6 - OH; R7 - OH, H.

- ненасыщенное лактонное кольцо. У всех гликозидов в положении С3 и C14 имеются гидроксильные группы, а в положении С13 - метильная группа. Гидроксильные группы также могут находиться в положениях С1, С2, С11, С15. Лактонное кольцо может находиться в aльфа- и бета-положениях. Видимо, лактонное кольцо обусловливает кардиотоническое действие, так как отсутствие или разрыв кольца приводят к полной потере физиологической активности. Например, содержащийся в наперстянке гликозид дигитонин, имеющий стероидное строение, но лишенный лактонного кольца, кардиотонического действия не оказывает. [8]

1.1.2 Характеристика углеводного компонента

Кроме обычных сахаров - глюкозы, фруктозы, рамнозы, в кардиотонических гликозидах встречаются специфические дезоксисахара (обедненные кислородом): дигитоксоза и цимароза. Сахаристые вещества присоединяются к агликону за счет спиртового гидроксила в положении С3. Длина углеводной цепочки может быть от 1 до 5 моносахаридов. Обычно вначале присоединяются дезоксисахара, а в конце цепочки глюкоза.

Биологическая активность кардиотонических гликозидов зависит от числа метильных и особенно гидроксильных групп у углеродных атомов «скелета». С увеличением числа гидроксильных групп повышается растворимость гликозидов в воде.

На скорость и силу кардиотонического эффекта, кроме того, оказывает влияние характер углеводного компонента: наиболее сильное, но кратковременное воздействие вызывают монозиды; с удлинением углеводной цепочки действие становится более мягким и длительным. Чистые агликоны плохо удерживаются сердечной мышцей, поэтому действуют кратковременно.

1.1.3 Классификация

В зависимости от строения ненасыщенного лактонного кольца все кардиотонические гликозиды делятся на две группы:

) карденолиды - с пятичленным лактонным кольцом (гликозиды наперстянки, строфанта, ландыша, горицвета);


) буфадиенолиды - с шестичленным лактонным кольцом (гликозиды морозника, морского лука).


В настоящее время выделено около 400 индивидуальных гликозидов, из них большая часть (380) - карденолиды.

В зависимости от заместителя в положении C10 карденолиды подразделяются на подгруппы.

. Подгруппа наперстянки включает гликозиды, агликоны которых в положении С10 имеют метильную группу -СН3. Гликозиды этой подгруппы медленно всасываются и медленно выводятся из организма, обладают кумулятивным действием, например гликозид дигитоксин (агликон - дигитоксигенин).


. Подгруппа строфанта включает гликозиды, агликон которых имеет в положении С10 альдегидную группу -С-OH. Эти гликозиды быстро всасываются, быстро выводятся из организма и не обладают кумулятивным действием, например гликозид строфантин (агликон - строфантидин). [10]


. Подгруппа объединяет кардиотонические гликозиды, имеющие в положении С10 спиртовую группу -СН2OН.


Кардиотонические гликозиды, как и все другие гликозиды, по количеству остатков в углеводной части молекулы делят на монозиды, биозиды, триозиды и т.д.

1.1.4 Физико-химические свойства

Кардиотонические гликозиды в основном кристаллические вещества, бесцветные или кремоватые, без запаха, горького вкуса; характеризуются определенной точкой плавления и углом вращения плоскости поляризации. Обладают способностью флуоресцировать в УФ-свете оттенками желтого, зеленого и голубого цветов. Кардиотонические гликозиды растворяются в спиртах этиловом и метиловом, в воде, хлороформе и не растворяются в органических растворителях (петролейном и диэтиловом эфире). Агликоны кардиотонических гликозидов растворяются в органических растворителях.

В зависимости от растворимости в воде и липидах, кардиотонические гликозиды делятся на две группы:

. Гидрофильные (полярные) кардиотонические гликозиды.

. Липофильные (неполярные) кардиотонические гликозиды.

Гидрофильные кардиотонические гликозиды хорошо растворяются в воде, мало растворимы в липидах. Полярность этих соединений обусловлена наличием альдегидной (-СНО) группы в С10 положении агликона, а также присутствием дополнительных гидроксильных (-ОН) групп в структуре агликона. Гидрофильными свойствами обладают карденолиды подгруппы строфанта.

Липофильные кардиотонические гликозиды легко растворяются в липидах, плохо - в воде. Липофильность этих кардиотонических гликозидов обусловлена наличием в С10 положении агликона метильной (-СН3) группы. Липофильными свойствами обладают карденолиды подгруппы наперстянки. Наличие ацетилированных моносахаридов в углеводной цепи (ацетилдигитоксоза) приводит к повышению гидрофильности гликозидов этой подгруппы. [2]

В организме кардиотонические гликозиды взаимодействуют с белками плазмы крови. Прочность связи прямо пропорциональна растворимости в липидах и обратно пропорциональна степени полярности сердечных гликозидов. Прочные связи затрудняют ресорбцию кардиотонических гликозидов из крови белками органов. В миокарде фиксируется до 10 % поступивших в организм кардиотонических гликозидов, что в 20 раз больше, чем в других органах. При этом действие сердечных гликозидов проявляется на каждое мышечное волокно миокарда.

Химические свойства обусловлены особенностями строения кардиотонических гликозидов - наличием стероидного ядра, лактонного кольца, углеводной цепи и присутствием гликозидной связи.

Самыми нестойкими в молекулах сердечных гликозидов являются лактонное кольцо и гликозидная связь.

Лактонное кольцо легко изомеризуется под действием щелочей.

Благодаря наличию гликозидной связи кардиотонические гликозиды легко подвергаются ферментативному гидролизу в присутствии воды. Гидролитическое расщепление углеводной цепи происходит постепенно, что обусловливает ступенчатый распад сердечных гликозидов. При гидролизе монозидов (адонитоксин, конваллотоксин, эризимин) образуются соответствующие агликон и сахар.

Кардиотонические гликозиды гидролизуются также кислотами и щелочами, а некоторые из них даже при кипячении с водой. При кислотном и щелочном гидролизе сразу происходит глубокое расщепление сердечных гликозидов до агликона и сахарных компонентов.

1.1.5 Качественные реакции

Качественные реакции на кардиотонические гликозиды проводятся с индивидуальными веществами или очищенными спиртовыми извлечениями из растительного сырья.

На кардиотонические гликозиды выделяют три группы химических реакций на различные части молекулы:

. Реакции на стероидное ядро.

Основаны на способности стероидного ядра кардиотонических гликозидов подвергаться дегидратации под действием кислотных реагентов (уксусный ангидрид, кислота серная концентрированная, кислота трихлоруксусная и др.) с образованием окрашенных комплексных соединений. Для кардиотонических гликозидов обычно проводят реакции:

Реакция Либермана-Бурхарда. При взаимодействии кардиотонических гликозидов со смесью уксусного ангидрида и кислоты серной концентрированной (50:1) появляется розовое окрашивание, переходящее в зеленое, а затем в синее.

Реакция Розенгейма. При взаимодействии кардиотонических гликозидов с 90 % водным раствором кислоты трихлоруксусной появляется розовое окрашивание, переходящее в лиловое, а затем в синее.

Реакция с хлоридом сурьмы (III). Кардиотонические гликозиды при взаимодействии с раствором сурьмы треххлористой в среде уксусного ангидрида образуют лиловое окрашивание.

. Реакции на ненасыщенное пятичленное лактонное кольцо. Основаны на способности ненасыщенного лактонного кольца легко окисляться полинитросоединениями в щелочной среде с образованием окрашенных продуктов реакции. Для кардиотонических гликозидов обычно проводят реакции: