Микотоксины это ядовитые продукты обмена веществ плесеней, развивающихся на пищевых продуктах. Из плесеней, поражающих пищевые продукты, примерно 75% способны выделять токсичные вещества, отравляющие при определенных концентрациях организм человека и животного.
Микотоксины делятся на высоко-, средне- и малотоксичные. К высокотоксичным относятся: афлатоксины, охратоксины, патулин, спородесмин, лютеосцерин, фузариогенин, рубратоксин, мальторицин, нидулотоксин и другие; к среднетоксичным: глиотоксин, цитринин, аспергиловая кислота и ее производные, пенициллиновая кислота, -нитропропионовая кислота, роридин, иридиоскирин, ругулозин и другие; к малотоксичным: гризеофурен, койевая кислота, щавелевая кислота, фузариновая кислота, фумагилин, трихотеция и триходермин, микофеноловая кислота, виридин, хетамин, фузидиновая кислота, геодин, кротоцин и другие. Широко распространенными и наиболее опасными являются афлатоксины, охратоксины, патулин и лютеосцирин [33].
Афлатоксины. Источником афлатоксинов являются плесневые грибы Aspergillus flavus и Aspergillus parasiticus. Эти грибы широко распространены в окружающей среде, особенно их много обитает в почве. Они являются основными возбудителями инфекционных заболеваний многих овощных, плодовых и зерновых культур.
Афлатоксины, как и все другие микотоксины, попадают в пищевые продукты из следующих источников:
из видимо загнившего сырья;
из сырья без видимой плесени;
из растительных продуктов, в которых присутствие плесени не доказано;
из продуктов животного происхождения, в которых наличие афлатоксинов обусловлено характером корма;
из продуктов ферментации.
В явном виде заплесневелое сырье не применяется в пищу. Однако его скармливают животным, а затем афлатоксины через мясопродукты попадают в пищу. Такой продукт выбрасывается целиком, иногда удаляют очаги поражения; но метаболиты чаще всего проникают в продукт глубже, чем мицелий плесневого гриба, поэтому удаление очага плесени не гарантирует отсутствия токсинов. Способность к проникновению зависит в большой степени от пищевого продукта, во влажных и водянистых средах она больше, чем в сухих или бедных влагой. Особой осторожности с точки зрения гигиены требуют те продукты, которые производятся из заплесневелого сырья, так как в таких случаях потребитель не обнаруживает налета плесени, а микотоксины весьма устойчивы к применяемым при переработке температурам, кислотам или восстановителям.
К сырью без видимой плесени относятся плоды, на которых между семядолями может появиться плесень. Например, в скорлупе орехов, косточковых плодах, ядрах персиковых и абрикосовых косточек, миндале, каштанах может находиться незамеченная плесень, чаще A.parasiticus.
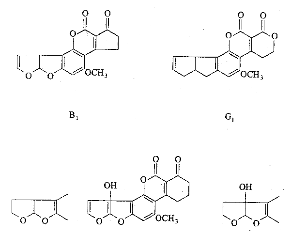
П
о
цвету флуоресценции в УФ-свете афлатоксины
обозначаются В1 и В2
(сине-голубая флуоресценция), G1 и
G2 (зеленая флуоресценция), М1
и М2 (сине-фиолетовая
флуоресценция).
В1 G1
В2 - и G2 -тип М1 М2
Наиболее токсичен афлатоксин В1. Афлатоксины оказывают как острое, так и хроническое воздействие на большинство видов животных, а также на организм человека. В первую очередь поражается печень. Поэтому в настоящее время в нормативных документах на качество многих пищевых продуктов указывается предельно-допустимая концентрация афлатоксинов, определяемых методом газожидкостной хроматографии.
Охратоксины выделяются в основном грибом Aspergillus ochraceus. Выделены три химически родственных токсических метаболита охратоксины А, В и С. Охратоксин А является производным кумарина, продуцируется не только As.ocyraceus, но и другими грибами, например, Penicillium veridicatum, P.variabile, P.commune, P.cyclopium. Охратоксин А отличается высокой острой токсичностью в малых дозах, устойчив к температуре. Охратоксины могут поступать в организм человека не только с пищей, но и проникать через кожу и в дыхательные пути.
Охратоксины, и особенно охратоксин А, обнаруживаются в заплесневелых пшенице, ячмене, овсе, сырых кофейных зернах.
Патулин ядовитый продукт обмена ряда плесневых грибов рода Penicillium, встречающихся на фруктах, фруктовых изделиях и на другой плодоовощной продукции. Основными продуцентами патулина является гриб Penicillium expancum возбудитель "коричневой гнили" в яблоках, грушах, айве, абрикосах, персиках и томатах; P.urticaе гриб, развивающийся на многих плодовых культурах и вызывающий гниение; Byssochlamis nivea термоустойчивый гриб, выделенный из фруктовых соков.
Патулин обладает мутагенным и канцерогенным действием и поэтому в нормативной документации на многие пищевые продукты указывается ПДК.
Лютеосцерин выделяется грибом Penicillium islandicum, поражающим рис и рисопродукты. Этот гриб является обычным представителем почвенной микрофлоры во всем мире. Он образует желтый пигмент, названный лютеосцерином. Химически он относится к группе оксиантрахинонов. Лютеосцерин высокотоксичное соединение, вызывающее серьезные поражения печени и почек.
Полициклические ароматические углеводороды относятся к самой большой группе известных канцерогенов, из которых наиболее распространены: бензапирен, фенантрен, 20-метилхолантрен, флу- рантрен, 9,10-диметилбензантрацен. Эти соединения являются со- ставной частью сажи и смога, образующихся в результате пиролиза органических соединений [29].
Источником загрязнения окружающей среды, особенно воды, и пищевых продуктов могут быть отработанные газы двигателей внутреннего сгорания, сажа, смолы, промышленные сточные воды. Кроме того, полуциклические ароматические углеводороды образуются при термической обработке пищевых продуктов (обжаривании, копчении, выпечке).
Бензапирен один из наиболее распространенных углеводородов попадает в организм человека с такими пищевыми продуктами, в которых существование канцерогенов до настоящего времени не предполагалось. Он обнаружен в хлебе, овощах, фруктах, маргарине, растительных маслах, обжаренном кофе, копченостях и в мясных продуктах, поджаренных на древесном угле, зерне, высушенном с использованием бурого угля.
Образование канцерогенных углеводородов можно снизить путем правильно проведенной термической обработки продуктов питания. Однако даже при традиционном методе копчения с дымом в колбасу, мясо и рыбу попадает в среднем 0,510 мкг бензапирена на один килограмм продукта. В подгоревшей корке хлеба содержание бензапирена повышается до 0,5 мкг/кг, в подгоревшем бисквите до 0,75 мкг/кг.
Овощи и фрукты, выращенные в непосредственной близости от предприятий, вырабатывающих смолу и сажу, очень сильно загряз-нены. Но при мытье до 20% углеводородов удаляется с поверхности плодов и овощей, некоторая часть этих соединений обнаруживается внутри плодов.
Другими источниками экзогенного загрязнения продуктов питания могут быть упаковочные материалы, например пакеты, покрытые парафином.
Содержание бензапирена в пищевых продуктах колеблется в широких пределах: от 0,73 мкг/кг (мука) до 90 мкг/кг (овощи, выращенные вблизи промышленных предприятий).
Нитрозамины это вещества, характеризующиеся наличием нитрозо-группы, соединенной с атомом азота. Это сильнейшие химические канцерогены, и образуются они в результате взаимодействия нитритов с вторичными и третичными аминами.

R1
R1
NH + HONO NNO + H2 O

R2
R2
Причиной нежелательного повышения содержания нитратов и нитритов в плодах и овощах может быть применение избыточных доз азотных удобрений, некоторых гербицидов, например 2,4-дихлорфе-ноксиуксусной кислоты, а также недостаток молибдена в почвах. Это создает благоприятные условия для образования нитрозаминов.
Нитраты и нитриты во многих странах добавляют в мясо, колбасу, рыбу и сыры в качестве консерванта и для сохранения естественной окраски мясопродуктов. В организме человека нитраты восстанавливаются до нитритов с участием ферментов нитрат- и нитритредуктазы, выделяемых микрофлорой желудка. Образовавшиеся нитриты могут взаимодействовать с вторичными и третичными аминами, попадающими в организм человека с пищевыми продуктами, например, с овощами, фруктовыми соками, а также с лекарственными препаратами и из окружающей среды. При этом образуются канцерогенные нитрозамины, синтез которых можно замедлить путем добавления аскорбиновой, изо-аскорбиновой кислот или их натриевых солей.
Для предотвращения образования нитрозаминов регламентируется ПДК для нитратов и нитритов во многих пищевых продуктах.
Следовательно, пища современного человека представляет собой не только комплекс многих тысяч веществ, каждое из которых обладает определенной биологической активностью, не только источник энергии, пластических веществ и ряда других эссенциальных факторов. Пища в то же время может быть источником контаминантов (пестицидов, солей тяжелых металлов, радионуклидов, микотоксинов и многих других ксенобиотиков), отрицательно влияющих на здоровье человека.
Таким образом, современные представления о химическом составе пищевых продуктов, биохимических и физико-химических процессах, протекающих в продовольственном сырье и продуктах при их переработке и хранении, об основах теории адекватного питания и биохимии пищеварения помогут студентам-технологам сформировать научный подход к проблеме, связанной с технологией производства высококачественных экологически безопасных продуктов, с заданными химическим составом, биологической и энергетической ценностью.
Скурихин И. М., Нечаев А. П. Все о пище с точки зрения химика. М.: Высш.шк., 1991. 288 с.
Позняковский В. М. Гигиенические основы питания. Новосибирск: Изд-во Новосибирского ун-та, 1998. 432 с.
Родина Т. Г., Вукс Г. А. Дегустационный анализ продуктов. М.: Колос, 1994. 192 с.
Окрепилов В. В. Всеобщее управление качеством. Кн.1. Учебник. СПб.: Изд-во СПбУЭФ, 1996. 454 с.
Шаробайко В. И. Биохимия холодильного консервирования пищевых продуктов. Л.: Изд-во Ленингр. ун-та, 1986. 224 с.
Покровский А. А. Роль биохимии в развитии науки о пита- нии. М.: Пищ. пром-сть, 1974. 128 с.
Окрепилов В. В. Всеобщее управление качеством. Термины и определения. Кн.2. Учебник. СПб.: Изд-во СПбУЭФ, 1996. 170 с.
Окрепилов В. В. Всеобщее управление качеством. Законодательные и нормативные документы. Кн.3. СПб.: Изд-во СПбУЭФ, 1996. 211 с.
Окрепилов В. В. Всеобщее управление качеством. Защита прав потребителей. Кн.4. СПб.: Изд-во СПбУЭФ, 1996. 211 с.
Павлоцкая Л. Ф. и др. Физиология питания: Учеб. для вузов.М.: Высш. шк., 1989. 368 с.
Химический состав пищевых продуктов: Справ. Кн.1 и 2. /Под ред. И. М. Скурихина, 2-е изд., перераб. и доп. М.: Агропромиздат, 1987. 360 с.
Новые гигиенические требования к качеству и безопасности продовольственного сырья и пищевых продуктов. СПб.: ТестПринт, 1997. 304 с.
Лифляндский В. Г., Закревский В. В., Андронова М. Н. Ле- чебные свойства пищевых продуктов, Т.1. СПб.: Азбука-Терра, 1997. 336 с.
Лифляндский В. Г., Закревский В. В., Андронова М. Н. Ле-чебные свойства пищевых продуктов, Т.2. СПб.: Азбука-Терра, 1997. 228 с.
Ленинджер А. Биохимия. М.: Мир, 1976. 960 с.
Биохимические методы /Под ред. В. Л. Кретовича, К. Ф. Шо- льца. М.: Наука, 1980. 224 с.
Ванханян В. Д., Лебедева В. А. Руководство к практическим занятиям по гигиене питания. М.: Медицина, 1987. 254 с.
Горчиков А. И., Липатова О. В. Гигиена питания. М.: Медицина, 1987. 416 с.
Кучеренко Н. Е. и др. Биохимия. Киев: Выща шк., 1988. 432 с.
Владимиров Ю. А., Арчаков А. И. Перекисное окисление липидов в биологических мембранах. М.: Наука, 1972. 252 с.
Петровский К. С., Белоусов Д. П., Беляева А. С., Смирно- ва Н. Н. Витамины круглый год. М.: Россельхозиздат, 1983. 96 с.
Колотилова А. И., Глоужанкова Е. П. Витамины (химия, биохимия, их физиологическая роль). Л.: Наука, 1976. 245 с.
Химический состав пищевых продуктов. Справочные таблицы содержания основных пищевых веществ и энергетической ценности блюд и кулинарных изделий. М.: Лег. и пищ. пром-сть, 1984. 328 с.
Запрометов М. Н. Фенольные соединения растений и их биосинтез. М.: ВИНИТИ, 1988. 188 с.
Вода в пищевых продуктах /Под ред. Р. Б. Дакуорта. М.: Пищ. пром-сть, 1980. 376 с.
Булдаков А. Пищевые добавки: Справочник. СПб.: "UT", 1996. 240 с.
Габович Р. Д., Припутина Л. С. Гигиенические основы охраны продуктов питания от вредных химических веществ. Киев: Здоровья, 1987. 248 с.
Грачева И. М. Технология ферментных препаратов. М.: Агропромиздат, 1987. 335 с.
Эйхлер В. Яды в нашей пище /Пер. с нем. М.: Мир, 1993. 189 с.
Буслович С. Ю., Дубенецкая М. М. Химические вещества и качество продуктов. Минск: Ураджай, 1986. 200 с.
Карбаматные пестициды: общее введение. Женева: ВОЗ, 1991. 224 с.
Рейли К. Металлические загрязнения пищевых продуктов. М.: Агропромиздат, 1985. 183 с.
Клевакин В. М., Карцев В. В. Санитарная микробиология пищевых продуктов. Л.: Медицина, 1986. 175 с.
Растительный белок /Под ред. Т. П. Микуловия М.: Агро-промиздат, 1991. 684 с.
Андронова М. Н. Лечебные свойства пищевых продуктов. Т.1. СПб.: Азбука, 1997. 336 с.
Дудкин М. С., Щелкунов Л. Ф. Новые продукты питания. М.: МАИК "Наука", 1998. 304 с.
Толстогузов В. В. Новые формы белковой пищи: Технологические проблемы и перспективы производства. М.: Агропромиздат, 1987. 303 с.
Николаева М. А. Товароведение потребительских товаров. М.: Норма, 1997. 283 с.
Технология пищевых производств / Под ред. Л. П. Коваль-ской. М.: Колос, 1997. 752 с.
Кислухина О. В., Кюдулас И. Биотехнологические основы переработки растительного сырья. Каунас: Технология, 1997. 185 с.