В кривых участках пути внутренняя рельсовая нить короче наружной, поэтому при расположении стыков по наугольнику возникает необходимость укладки укороченных рельсов. Для каждой кривой выбираются тип укорочения, количество и порядок укладки укороченных рельсов.
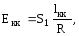
Выбор типа укороченных рельсов для данной кривой производится по формуле:
(1)
где S1 - ширина колеи по оси головки рельсов в пределах круговой кривой;
S1
= SПТЭ
+ b,
мм
где b - ширина головки рельса;
SПТЭ - нормативная ширина колеи в кривых в зависимости от радиуса;
1нр - длина нормального рельса;
R - радиус круговой кривой.
В РФ приняты 4 типа стандартных укорочений Кi :
при длине рельса 12,5 м К1=40 мм, К2=80 мм, К3=120 мм;
при длине рельса 25 м К2=80 мм, К4=160 мм.
Вычислив величину укорочения по формуле (1), принимаем ближайшее большее стандартное укорочение.
Ввиду
невозможности обеспечить точное
расположение стыков «по наугольнику»
по внутренней и наружной нитям допускается
забег их на величину не более половины
принятого стандартного укорочения
Кi.
Таким образом, укороченные рельсы
укладываются в тех местах кривой, где
накапливающийся забег стыков достигает
половины принятого стандартного
укорочения.
49. Расчет числа и порядок размещения укороченных рельсов на внутренних нитях
Порядок расчета укороченных рельсов в кривой:
устанавливается положение первого стыка относительно начала переходной кривой;
определяется полное укорочение на всей кривой:
Е
= 2Епк
+ Екк,
мм
(2)
где Епк - укорочение в пределах переходной кривой; определяется по формуле
![]()

где Sср - средняя ширина колеи между осями головок рельсов в пределах переходной кривой, мм;

где S0 - ширина колеи между рабочими гранями головок рельсов в прямых участках пути, мм.
Укорочение в пределах круговой кривой Екк определится как

где lкк - длина оставшейся части круговой кривой после разбивки переходных кривых;
;
=65.71мм
где β - полный угол поворота кривой с учетом переходных кривых;
φ0 - угол поворота в пределах переходной кривой.

где Е - полное укорочение на всей кривой;
K - принятое стандартное укорочение;
Укороченные рельсы укладываются в тех местах кривой, где накапливающийся забег стыков достигает половины принятого стандартного укорочения. Порядок укладки укороченных рельсов определяется в табличной форме
По заданию длина нормального рельса 12,5 м.
При R=300 м, l0=120 м, l2=12.5м, a=3 м, β=24°, N=12.55 K=80 .
|
Элемент пути в плане |
Номер рельса |
Длина рельсов с учетом зазора, м |
Расстояние от границы эл-та l мм |
Сумма требуемого укорочения к концу каждого рельса, мм |
Величина принятого укорочения |
Сумма принятого укорочения |
Величина несовпадения стыков |
Укладываемый рельс |
|
ПРЯМАЯ |
|
|
|
|
|
|
|
|
|
НКК
КПК |
|
|
|
|
|
|
|
|
|
НКК
|
|
|
|
|
|
|
|
|
|
НПК
|
|
|
|
|
|
|
|
|
|
|
|
|
|
|
|
|
|
|