Рис. 3.1. Схема для определения минимально допустимой ширины колеи при заклиненном вписывании двухосной жесткой базы
Из приведенной схемы видно, что искомая ширина колеи в общем виде
Smin = qmax + fн - fв - ζ + 4 + δmin, (3.1)
Это выражение по своему внешнему виду отличается от формулы (2.1) лишь величиной δmin, которая представляет собой некоторый запас, принимаемый равным минимальному зазору между гребнем колеса и рабочей гранью рельса в прямых. Он равен для вагонов - 5мм, для локомотивов - 7мм (при колее 1520мм). Величину δmin необходимо прибавить для того, чтобы избежать заклинивания колес, при котором движение экипажа опасно.
Величина ζ, как и в случае свободного вписывания, может принимать различные значения
При заклиненном вписывании двухосной жесткой базы поперечный разбеги не могут быть реализованы, так как эти оси заклинены между рельсовыми нитями. Величина ζ в этом случае равна стреле изгиба внутреннего рельса fв, , поэтому расчетная формула приобретает следующий вид:
Smin = qmax + fн - fв + 4 + δmin.
Все обозначения в представленных формулах прежние. При этом необходимо иметь в виду, что величина λ, входящая в указанные формулы, приобретает новое значение. Так как при заклиненном вписывании центр поворота экипажа находится посередине жесткой базы, то величина λ равна L0/2.В сумму поперечных разбегов трехосных тележек в этом случае надо включить одно значение разбегов крайних осей и полный разбег средней оси.
При определении минимально допустимой ширины колеи возможны следующие случаи.
3.1. Если Smin ≤ SПТЭ, то вписывание обеспечено. При этом сопоставление друг с другом всех трех значений ширины колеи Smin, SПТЭ и Sопт позволяет ориентировочно оценить условия, в которых будет происходить реальное вписывание, т. е. к какому виду вписывания оно будет ближе, к свободному или заклиненному.
3.2. Если Smin > SПТЭ, то этот случай в свою очередь распадается на следующие два:
а) если SПТЭ < Smin < Smax, где Smax = 1546 мм — предельный размер колеи в сторону ее уширения, установленный из условия предупреждения провала колес внутрь колеи, то для пропуска рассматриваемого экипажа требуется перешивка пути с размера SПТЭ на расчетную величину Smin (по особому разрешению начальника дороги);
б) если SПТЭ < Smin > Smax, то для пропуска экипжа требуется перешивка колеи на расчетную величину; при этом для предупреждения провала колес внутрь колеи укладываются контррельсы. Последний случай представляет собой специальную задачу по вписыванию экипажей в кривые малого радиуса и здесь не рассматривается.
Перемещение экипажа по кривой складывается из двух движений: поступательного и вращательного вокруг точки, расположенной на продольной оси экипажа, называемой точкой поворота.
Непрерывное вращение экипажа относительно центра поворота происходит под действием направляющих сил, возникающих в точках соприкосновения гребней колес с боковой гранью головки рельса.
При
движении железнодорожного экипажа по
кривой на него действует центробежная
сила, направленная по радиусу от центра
кривой. Эта сила прижимает экипаж к
наружной нити, затрудняет его поворот,
тем самым увеличивая направляющую силу
и, как следствие, боковой износ наружного
рельса.
Величина этой силы
,
или

где: m – масса экипажа;
V – скорость его движения;
G – вес экипажа;
g – ускорение силы тяжести;
R – радиус кривой.
При устройстве возвышения происходит наклон экипажа, вследствие чего появляется горизонтальная составляющая силы собственного веса, направленная внутрь кривой:

Величина этого возвышения определяется следующими тремя условиями:
обеспечением равномерного вертикального износа обеих рельсов;
обеспечением защиты пассажиров от неприятных ощущений при воздействии поперечных ускорений(условие комфортабельности езды);
обеспечением экипажа от опрокидывания в кривых.
44. Определение возвышения наружного рельса из условия обеспечения равномерного износа обеих рельсовых нитей
Внутренняя
и наружная рельсовые нити будут
изнашиваться одинаково при условии
идентичного суммарного воздействия
на них вертикальных и горизонтальных
сил.
Возвышение наружного рельса
должно быть таким, чтобы центробежная
сила
и центростремительная
взаимно уравновесились, тогда
равнодействующая будет направлена по
оси пути и обе рельсовые нити будут
нагружены одинаково.
Фактически по
одной и той же кривой идут поезда с
разными скоростями, поэтому величину
возвышения следует устанавливать из
условия:

Отсюда
величину расчетного возвышения
,
мм, определим по формуле:

где
- радиус
кривой, м;
- квадратичная
средневзвешенная по тоннажу скорость
движения поездов в кривой,

Минимальное
расчетное возвышение наружного рельса
в кривых
,
необходимое для пропуска пассажирских
поездов, определяется из условия
по формуле:

где
- радиус
кривой, м;
- максимальная
скорость, установленная в данной кривой
для скоростного пассажирского поезда,
км/ч.
Минимальное
расчетное возвышение
,
необходимое для пропуска грузовых
поездов, определяется из условия
по формуле:

где
- максимальная
скорость, установленная в данной кривой
для грузовых поездов, км/ч.
При
определении возвышения
рациональная работа пути обеспечивается
при скоростях движения потока грузовых
поездов
,
находящихся в пределах

75,89

Условие выполняется.
<hптэ=150
мм.
45.Переходные кривые
Переходная кривая— кривая переменной кривизны, сопрягающая круговую кривую с прямым участком железнодорожного пути. Переходная кривая обеспечивает постепенное изменение центробежной силы при входе поезда в криволинейный участок пути. В пределах переходной кривой линейно возрастает необходимое в круговой кривой возвышение наружного рельса. Переменный радиус переходной кривой ρ плавно изменяется от ρ = ∞ в точках HK и KK сопряжения с прямой до ρ = R в точках КПК1 и КПК2сопряжения переходной кривой с кривой радиуса R. Разбивка переходной кривой производится по радиоидальной спирали, кривизна которой изменяется пропорционально её длине.
Элементы переходной кривой (m, Тρ и другие) для облегчения их полевой разбивки приводятся в специальных таблицах. В практических расчётах приближённо считают, что переходная кривая очерчена по кубической параболе.
46.Требования к параметрам переходных кривых. Длина переходных кривых
При проектировании переходных кривых выбирается их длина, геометрическое очертание кривой в плане и определяются координаты для ее разбивки. Длина переходной кривой определяется несколькими условиями, основным из которых является плавность устройства отвода возвышения наружного рельса. По этому условию искомая длина


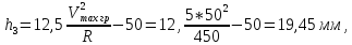
Необходимо определить параметр переходной кривой:

Возможность разбивки переходной кривой проверяется по условию
47.Проектирование переходных кривых
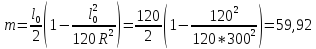
Для разбивки переходных кривых известны различные способы. Рассмотрим наиболее распространенный на практике случай разбивки переходной кривой способом сдвижки центра О. Разбивку переходной кривой производят в предположении, что на местности известно положение тангенса первоначальной круговой кривой (точки Т). Необходимо знать сдвижку р круговой кривой и расстояние m0 от начала переходной кривой (точки НПК) до точки тангенса Т0. Для этого находят m – расстояние от начала переходной кривой до нового положения Т, затем определяют сдвижку р, угол φ0 и все координаты кривой.

Рис.2. Схема разбивки переходных кривых методом сдвижки круговой кривой
Из приведенной схемы находим:



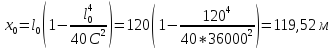
Координаты конца в точке КПК вычисляем по уравнению радиальной спирали в параметрической форме:


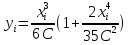
Координаты точек переходной кривой через каждые 10 м вычисляются по уравнению радиоидальной спирали в прямоугольной системе координат:

Расчет сводим в таблицу
|
|
0 |
10 |
20 |
30 |
40 |
50 |
60 |
70 |
80 |
90 |
100 |
110 |
119.52 |
|
|
0 |
|
|
|
|
|
|
|
|
|
|
|
|