Рассмотрим пример расчета по пункту : подготовка территории строительства
50224000 (стоимость в рублях ) × 628 (длина моей линии ) = 31540672000 руб
Посчитав, таблицу 16 я определила общую сметную стоимость, которая равна 596 599 385 834 руб.
За основу расчета был принят поезд :
CRH-380A — тип скоростных поездов в Китае, разработанный в рамках программы по организации высокоскоростного железнодорожного сообщения в Китае

Рис 1 . CRH-380A
Максимальная скорость движения - 380 км/ч
Количество вагонов – 8
Общая вместительность пассажиров q – 494
Определим общее количество подвижных составов по формуле :
N =
, где

q – вместимость пассажиров
N
=
12 ПС
Стоимость 1 подвижного состава – 1300 000 000 рублей
В моем случае общая стоимость подвижных составов в количестве 9 шт
12 ×1 300 000 000 = 15 600 000 000 рублей
Эксплуатационные затраты определяются 17 млн в год/1км
В моем случае эксплуатационные затраты составляют
17 000 000 × 628 = 10 676 000 000 рублей
Так же необходимо учесть сколько нужно будет использовать подвижных составов на каждый 5-ый год эксплуатации ВСМ
Таблица 15
|
Год эксплуатации |
0 |
5 |
10 |
15 |
20 |
|
Пассажиропоток |
4875 |
5119 |
5375 |
5643 |
5925 |
|
Количство ПС |
10 |
10 |
11 |
11 |
12 |
Совокупность соединенных воедино намерений и практических действий по осуществлению инвестиционных вложений и обеспечению заданных конкретных финансово-экономических, производственных и социальных результатов представляет собой инвестиционный проект.
1-ый показатель «Чистый доход (ЧД)»
ЧД =

П – приток денежных средств
О – отток денежных средств
ЧД = 205 876 414 855 – 825 948 408 982 = - 620 071 941 27 рублей
2-ой показатель «Чистый дисконтированный доход»
ЧДД=
)

ЧДД = -5 187 383 939 534
3-ий показатель «Индекс доходности»
Индекс доходности – это отношение суммарного дисконтированного дохода к суммарным дисконтированным затратам (в основном на капитальные вложения).


= -0,24926
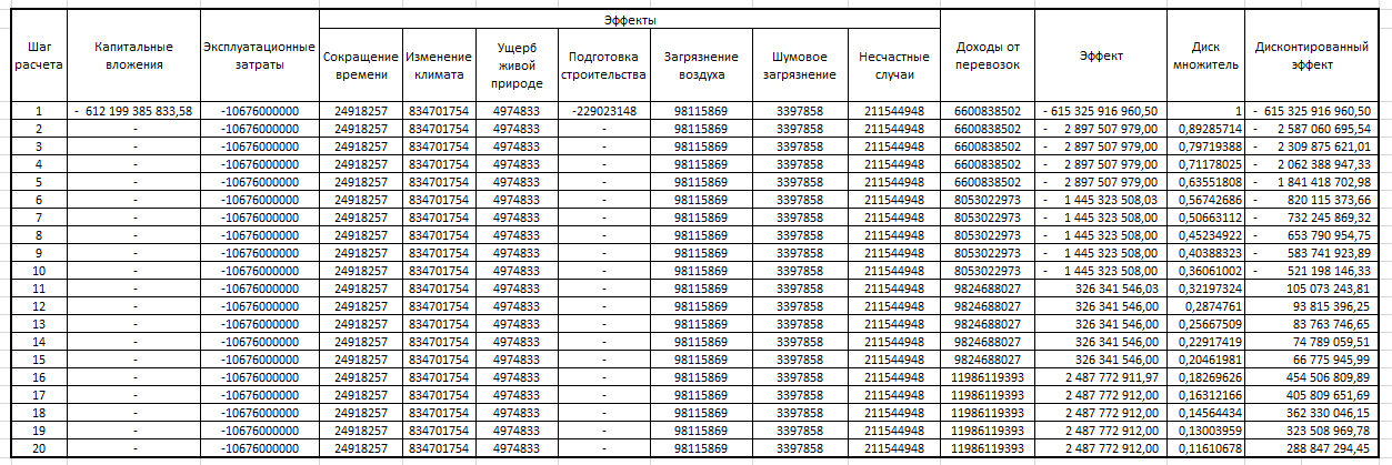
Вывод: строительство высокоскоростной магистрали Сумы-Орел-Москва весьма перспективно т.к на одиннадцатый год эксплуатации мы наблюдаем положительный эффект, дисконтированный эффект , что является хорошим началом. Такой проект является эффективным, но спустя только 10 лет он себя начнет окупать и приносить доход .
Библиографический список
СП 131.13330.2012 Строительная климатология
Методика оценки экономических эффектов инвестиционных проектов
По полученным данным составляем таблицу, где приведены общие затраты, эффекты, доходы
Исходя из этой таблицы, так же определим целесообразность строительства
Таблица 16
