Тепловий пробій. При протіканні зворотного струму в р-n-переході виділяється тепло і його температура підвищується. Збільшення температури визначається якістю тепловідведення, з характерним тепловим
опором Rq . Цей опір рівний приросту температури переходу VT з розрахунку на одиницю потужності W , що виділяється в ньому, тому VT = RqW . Збільшення температури викликає збільшення зворотного струму, що в свою чергу приводить до нормального зростання температури і зворотного струму і т.д. При певній потужності W , тим більшої, чим менший тепловий опір приладу Rq , струм починає наростати лавинно і наступає тепловий пробій р-n -переходу.
Рисунок 6.19 – Тунельне проходження електронів через р-n-перехід
Поверхневий пробій. Заряд, що локалізується на поверхні напівпровідника в місці виходу р-n-переходу, може викликати сильну зміну напруженості поля в переході і його ширини. В цьому випадку вірогіднішим може виявитися поверхневий пробій переходу, що детально будерозглянуто в подальших підрозділах цього розділу.
85
7 ТЕРМОЕЛЕКТРИЧНІІГАЛЬВАНОМАГНІТНІЯВИЩА
7.1 Термоелектрорушійна сила
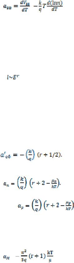
У 1823 р. Т. Зеєбек встановив, що в колі, що складається з двох різнорідних провідників 1 і 2, виникає електрорушійна сила VТ, якщо контакти цих провідників А і В підтримуються при різних температурах Тг і
Тх (рис. 7.1, б). Ця ЕРС називається термоелектрорушійою силою. Як показує експеримент, у відносно неширокому діапазоні температур вона
пропорційна різниці температур контактів А і В: |
|
VT = a (TГ - Tx ) . |
(7.1) |
Коефіцієнт пропорційності |
|
a = dVT / dT |
(7.2) |
називають диференціальною або питомою термоерс. Вона залежить від природи дотикових провідників і від температури.
Рисунок 7.1 – Виникнення термоелектрорушійної сили
Існує два основні джерела виникнення термоерс: зміна контактної різниці потенціалів з температурою (контактна складова V к) і утворення направленого потоку носіїв в провіднику за наявності градієнта температури (об'ємна складова
). Розглянемо фізичну природу цих складових.
86
Контактна складова термоерс. На рис. 7.1, а показано електричне коло, що складається з двох різнорідних провідників, які знаходяться в контакті один з одним при температурі Тх; на рис. 7.1, в– зонипровідності цих провідників в рівноважному стані. Рівні Фермі
і
встановлюються на
одній висоті і між провідниками виникає контактна різниця потенціалів
де
– термодинамічні роботи виходу електронів з
провідників. При однаковій температурі контактів А і В різниці потенціалів однакові за величиною і направлені назустріч одна одній. Тому вони врівноважують одна одну і результуюча напруга рівна нулю.
Нагріватимемо тепер контакт А до температури Тг > Тх, залишаючи контакт В при температурі Тх. В нормальних металах і електронних напівпровідниках підвищення температури викликає зниження рівня Фермі. Позначимо це положення провідника 1 через –
, у провідника 2
через
. Зміна положення рівня Фермі приводить до зміни
термодинамічної роботи виходу, яка в провіднику 1 стає рівною
, у провіднику 2
. Якщо
то при
цьому рівні Фермі у провідників 1 і 2 в гарячому контакті виявляються не на одній висоті, що свідчить про порушення рівноваги в цьому контакті, сталому при температурі Тх (рис. 7.1, г). Нова рівновага досягається за рахунок перетікання електронів з першого провідника в другий до встановлення рівнів Фермі на одній висоті (рис. 7.1, д). Виникаюча контактна різниця потенціалів тепер буде рівна
(1/q)



. Вона більша, ніж в контакті В, що знаходиться при температурі Тх< Тг, на величину
. (7.3)
Таким чином, підвищення температури одного з контактів приводить до зміни контактної різниці потенціалів в ньому і виникненню між гарячим і холодним контактами різниці потенціалів
, яка і є контактною
складовою термоерс.
Позначимо різницю температур між контактами через 
Т, Тоді
і
можна подати таким чином:
Підставляючи це в (7.3), одержуємо
= – |
. |
(7.4) |
Звідси легко визначити контактну складову питомої термоеpс кола, що складається з провідників 1 і 2 (рис. 7.1, б):
87
= |
. |
(7.5) |
Вона рівна різниці контактних складових
(7.6)
окремих провідників, створюючих це коло. Для металів згідно з (7.6) енергія 
рівна
де
(0) – енергія Фермі при 0К. Диференціюючи це за Т і підставляючи
у (7.6), знаходимо
. |
(7.7) |
Для невироджених напівпровідників n-типу енергія Фермі рівна
Диференціюючи
за Т і підставляючи в (7.6), одержуємо
(7.8)
Об'ємна складова термоерс. Концентрація носіїв заряду в провіднику залежить від температури. У металів ця залежність дуже слабка і обумовлена термічним розширенням, що викликає зміну об'єму провідника. У напівпровідників, навпаки, із збільшенням температури концентрація носіїв може збільшуватись дуже сильно. Тому на гарячому кінці напівпровідника концентрація носіїв заряду може виявитися вищою, ніж на холодному, внаслідок чого від гарячого кінця до холодного виникає дифузійний потік, що приводить в n-напівпровіднику до появи на холодному кінці негативного об'ємного заряду, на гарячому – позитивного заряду. Ці заряди створюють різницю потенціалів V0, яка і є об'ємною складовою термоерс.
У стаціонарному стані в кожній точці провідника дифузійний потік носіїв врівноважується дрейфовим потоком, викликаним різницею потенціалів Vзв і направленим від гарячого кінця до холодного. Для n- напівпровідника дифузійний потік електронів дорівнює – Dn(dn/dx) де Dn – коефіцієнт дифузії електронів; dn/dx – градієнт їх концентрації; дрейфовий
потік рівний |
, де |
– дрейфова швидкість; un – рухливість |
|
електронів; e – |
напруженість поля, що виникло |
в напівпровіднику. В |
|
стаціонарних умовах |
|
|
|
|
nune + Dn (dn / dx) = 0. |
(7.9) |
|
|
|
88 |
|
Розв'язання цього рівняння приводить до такого результату для об'ємної складової термоерс, обумовленою дифузією носіїв заряду, що виникає унаслідок зміни їх концентрації з температурою:
= |
. |
(7.10) |
Підкреслимо ще раз, що у металів, у яких концентрація носіїв надзвичайно слабо залежить від температури, ця складова практично рівна нулю; вона буде мала також в напівпровідниках в температурному інтервалі виснаження домішок.
Існує ще одна причина виникнення об'ємної складової термоерc – інтенсифікація теплового руху носіїв заряду з підвищенням температури. Збільшення температури викликає збільшення середньої енергії носіїв, а отже, і зміна їх довжини вільного пробігу l, яка таким чином пов'язана з енергією носіїв Е:
. |
(7.11) |
Показник r залежить від механізму розсіювання: |
при розсіюванні |
носіїв на теплових коливаннях граток r =0, при |
розсіювання на |
іонізованих домішках r =2 і т.д.
З (7.11) видно, що збільшення температури провідника, що викликає підвищення енергії носіїв, повинно приводити в загальному випадку до збільшення довжини їх вільного пробігу, а отже, і до зміни коефіцієнта дифузії, пропорційного l. Тому від гарячого кінця до холодного встановиться термодифузійний потік носіїв, що приводить до формування додаткової різниці потенціалів Vзв. Розрахунок показує, що для невироджених напівпровідників n-типу термодифузійні складові термоерс:
(7.12)
Складаючи (7.8), (7.10) і (7.12), одержуємо результуючу питому термоерс напівпровідника n – типу
(7.13)
Аналогічно для напівпровідника р-типу
, |
(7.14) |
де через –
позначена відстань від рівня Фермі до валентної зони.
У металів термодифузійна складова термоерс також не рівна нулю. Враховуючи її і контактну складову (7.7) одержуємо такий вираз для питомої термоерс металу з параболічною залежністю енергії від хвильового вектора:
= |
. |
(7.15) |
|
89 |
|