Agar bunda yulduzlarning zichligi, masofani ortishi bilan o‘zgarmaydi va ularning barchasi bir xil yorqinlikka ega deb qaralsa, u holda, yulduzlar xiralashgan sayin (ya’ni ko‘rinma yulduz kattaliklari ortgan sayin) ularning sonining ortib borishi; kuzatish qamrayotgan masofa ortishi bilan osmonning aniq bir yuzasiga proeksiyalanayotgan hajm ham ortib borishi orqali oson tushuntiriladi. Osmonning ma’lum bir sohasida yulduz kattaligi m ga teng va undan kichik yulduzlar, tegishli mos radius bilan chegaralangan shar sektori ichida joylashadi:
lg rm =1+0,2(m-M).
Barcha yulduzlarning yorqinliklari bir xil deb olganimizda ularning yulduzlari absolyut yulduz kattaliklari ham bir xil M bo‘ladi deb qaraymiz. Yulduz kattaligi m+1 ga teng va undan kichik yulduzlar esa, rm+1 –radiusli shar sektori ichida yotib, u ushbu ifodadan topiladi:
lg rm+1=1+0,2(m+1)-M.
Bu tenglamadan oldingisini ayirsak
lg rm+1 - lg rm=0,2
yoki

qoladi. Yulduzlarning zichligi o‘zgarmaganda, ularning soni bu yulduzlar egallagan hajmning (binobarin radiuslarining) kubiga proporsional bo‘lishini e’tiborga olsak

yoki
,
ya’ni


bo‘ladi.
Biroq kuzatishlar, m ortishi bilan yulduzlar soni bu qadar tez
ortmasligini ko‘rsatadi. Xususan m ning uncha katta bo‘lmagan
qiymatlari uchun
ga yaqin, m=17 yulduzlar uchun esa
2
chiqadi. Agar barcha yulduzlarning yorqinliklari bir xil deb qaralsa,
u holda kuzatiladigan
ning qiymatlarini solishtirib, Quyoshdan uzoqlashayotgan barcha
yo‘nalishlarda, yulduzlarning zichligi kamayib borishi ma’lum
bo‘ladi. Agar yo‘nalish bo‘yicha, yulduzlararo bo‘shliqda
nurning yutilish aytarli bo‘lmasa, bundan Galaktikamizning
cheklanganligi haqida mulohaza kelib chiqadi.
Qilingan
mulohazalar, aslida nisbatan murakkab masalani echish uchun yana bir
asos bo‘ladi xolos. Bu masala, aslida, yulduzlar bir xil
yorqinlikka ega emasligini va kuzatish natijalari yulduzlararo muhit
tomonidan sezilarli o‘zgartirilishini hisobga olishi tufayli juda
murakkab masalalardan sanaladi. Bu masalani hal qilishda, turli
yorqinlikdagi yulduzlar uchun fazoni ma’lum sohasida M
dan M+1
absolyut yulduz kattaligigacha bo‘lgan yulduzlar, umumiy yulduzlar
sonining qancha miqdorini tashkil etishini hisobga oladigan yorqinlik
funksiyasi-
deb ataluvchi kattalik kiritiladi. Agar yorqinlik funksiyasi ma’lum
bo‘lsa, u holda, turli masofalarda yulduzlarning zichligini
hisoblash masalasi, ma’lum qiyinchiliklarga qaramay, hal qilsa
bo‘ladigan masaladir.
Amalda bu masala turlicha hal qilingan bo‘lib, Galaktikamiz simmetriya tekisligi deyiluvchi asosiy tekisligiga nisbatan deyarli simmetrik ko‘rinishdagi, qutblari siqilgan ko‘rinishga ega. Somon Yo‘lining o‘rta chizig‘i bilan deyarli mos keladigan va osmon sferasi bilan kesishganda, hosil qiladigan katta aylanasigalaktik ekvator deyiladi. Mazkur sistemaning markazi, Galaktika markazi deyilib, u Quyosh sistemasidan qaraganda, Qavs yulduz turkumiga proeksiyalanadi. Uning ekvatorial koordinatalari, mos ravishda = 17h 40m , = - 29 ni tashkil qiladi.
Galaktika markaziga yaqinlashgan sayin yulduziy zichlik ortib boradi. Shunday qilib Galaktikada yulduzlarning zichligi, uning tekisligi va uning markaziga tomon ortib borish xususiyatiga ega.
Yulduzlar zichligini, uning keskin kamayadigan masofalarini hamda Quyosh atrofi zonasida aniqlash, Galaktikamizning o‘lchamlari haqida ma’lumot beradi. Aniqlanishicha, Quyosh, Galaktika markazidan qarama-qarshi tomonda yotuvchi uning chegarasigacha masofa esa 5 ming pk bilan xarakterlanadi. Bundan Galaktikamizning diametri 30 kpk atrofida ekanligi ma’lum bo‘ladi. Quyoshning Galaktika ekvatorial tekisligidan uzoqligi esa 25 parsekni (shimoliy qutb tomonga) tashkil etadi.
Demak, Galaktikaning katta disk qismini tashkil etgan ob’ektlari - O va B spectral sinfiga kiruvchi yulduzlari, sefeidlar, tarqoq yulduz to‘dalari, o‘tayangi yulduzlarning 2rusumlilari va yulduz assotsiyalari, Galaktika tekisligida yotuvchi yupqa qalinlikdagi tekislik bilan chegaralangan fazoda joylashadi ( -rasm). Bu ob’ektlar haqida gap ketganda, ularning Galaktikamizning tekisligi sistemacha- sining ob’ektlari deb eslanadi.

7.4 - rasm
Biroq Galaktikamizning boshqa ob’ektlari, xususan, Liraning RR, Sumbulaning W, o‘tayangilarning 1-rusumlilari, submittilar, sharsimon to‘dalar egallagan hajm, nisbatan ulkan ellipsoid bilan chegaralanadi. Shuning uchun ham ular Galaktikamizning sferoidal (ba’zan sferik) sistemacha ob’ektlari deyiladi. Galaktikamiz kinematikasini o‘rganish, u Andromeda tumanligining strukturasiga o‘xshash spiral strukturaga ega ekanligini tasdiqlaydi (7.4 - rasm).
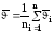
Yulduzlarning
xarakati yoki tezligi xaqida gapirganimizda biz biror markazga yoki
yulduzlar gruppasiga nisbatan qaraymiz. Agar Galaktikamizdagi
yulduzlar tezliklarining komponentalarini
(
)
deb olsak, u xolda Galaktika inersiya markazini aniqlash uchun
quyidagi formuladan foydalaniladi:
(1)
Tezlik komponentalarini topishda Quyosh sistemasining xarakatini hisobga olish kerak. Agar markaz sifatida Galaktika inersiya markazi qaralsa:

ga ega bo‘lamiz xamda (1) ni hisobga olsak:

hosil bo‘ladi. Bu formula yordamida Quyosh koordinatalarini aniqlab bo‘lmaydi, chunki hamma yulduzlarning tezliklari komponentalari ma’lum emas. Shuning uchun joyning inersiya markazi tushunchasini kiritamiz va n<<N deb olinadi.

Bu
gruppa uchun qanday qilib
lar aniqlanadi. Buning uchun
larni bilishimiz kerak. Bu erda
-nuriy tezlik va u spektral analizdan topiladi,
-
yillik parallaks,
- xususiy xarakat.
-fazoviy
tezlik,
-transversal
tezlk (fazoviy tezlikning rasm tekisligiga proeksiyasi),
-
yulduzning yil davomidagi siljishi:

Sentroid tushunchasini kiritaylik. Bizning sistemamizda Quyosh atrofida kichik bir xajmni olamiz. Unda

-
olingan xajm xarakatining o‘rtacha tezligi. Bu tezlik sakrab-sakrab
o‘zgarishi mumkin, yoki bo‘lmasa sekin va bir tekis o‘zgaradi.
Biz xajmni yoki n sonini shunday olishimiz kerakki, bunda ularni
kichiklashtirishimiz bilan qaralyapgan o‘rtacha tezlik sekin va bir
tekis o‘zgarsin. U xolda joy inersiya markaziga sentroid deyiladi.
shu nuqtaning tezligi bo‘lib qoladi. Xuddi shunday ishni butun
sistema uchun qo‘llash mumkin. Natijada Galaktika tezlik maydoni
uzluksiz bo‘ladi va tezlik taqsimot funksiyasini kiritish mumkin.
6m
yulduz kattaligigacha bo‘lgan yulduzlarga nisbatan Quyoshning
xarakati o‘rganilib, Vega yo‘nalishida yulduzlar xarakatining
appeksi ko‘rsatilgan. Bu nuqta uchun koordinatalar aniqlangan:
A=18h=270 0; D=+30 0
A-appeksning to‘g‘ri chiqishi, D-appeksning og‘ishi deyiladi.
km/sek-joy
sentroidiga nisbatan Quyoshning tezligi.
yil
-lokal (standart) Quyosh xarakati tezligi xam deyiladi.
Agar biz faqat bosh ketma-ketlikdagi yulduzlarni olsak, u xolda quyidagiga ega bo‘lamiz:

Galaktikamiz
markaziga nisbatan Quyosh xarakati tezligi
sek
ga teng bo‘ladi. Bu xolda Quyoshdan Galaktikamiz markazigacha
bo‘lgan masofa R=10 kps bo‘ladi va tezlik komponentalari
quyidagicha bo‘ladi:

Agar
yulduzning fazoviy tezligi ma’lum bo‘lsa, u xolda
ni yozish mumkin. Bu erda
-sentroidning tezligi,
-qoldiq
tezlik yoki pikulyar tezlik deyiladi.
.
Koinotda yulduzlar faqat yakka holda uchramay, o‘zaro dinamik bog‘langan holda qo‘shaloq, uchtadan, to‘rttadan va nihoyat juda ko‘p sonli -yuzlab, minglab to‘da shaklida ham uchraydi. Yuzlab yulduzlardan bir necha minggacha xatto-ki milliongacha yulduzlarni o‘z ichiga olib, o‘zaro dinamik bog‘langan ularning sistemalari- yulduz to‘dalari deb yuritiladi. Tashqi ko‘rinishiga ko‘ra yulduz to‘dalari ikki gruppaga - tarqoq va sharsimon to‘dalarga bo‘linadi. Tarqoq yulduz to‘dalari bir necha o‘n yulduzdan bir necha minggacha yulduzlarni o‘z ichiga olgani holda, sharsimon to‘dalar o‘n mingdan to yuz minggacha xatto-ki milliongacha yulduzlarni o‘z ichiga oladi.
Galaktikamizda ikki minggachaga yaqin tarqoq yulduz to‘dalari bo‘lib, ularning diametri 1,5 parsekdan 20 parsekkacha boradi. Tarqoq yulduz to‘dalarining yaxshi o‘rganilgan tipik vakillari - Savr yulduz turkumidagi Hulkar deb nomlangan to‘da bo‘lib, Quyosh sistemasidan 130 parsekli masofada joylashgan. Boshqa bir tarqoq yulduz to‘da – Giadlar esa bizdan 40 pk li masofada yotadi.
Tarqoq to’dalar Somon Yo’lining spiral shohobchalari bo’ylab joylashib, ba’zida ular “yulduz assosiasiyalari” markaziy qismida ko’rinadi. Shu sababli qator mualliflar yulduz assosiasiyalari bor oblastlar tarqoq to’dalar haqiqatda ham tug’ilish joylari deb hisoblaydilar. Kuzatuv ma’lumotlaridan shuni ham aytib o’tish kerak-ki, eng yosh bunday to’dalar molekulyar bulutlarlar bilan fizik bog’lanib, ular yulduzlarning tug’lish o’choqlaridan joy olgandir. Ba’zan tarqoq to’dalar qo’shaloq, karrali va gruppalarni tashkil qiladi.

7.5 - rasm
Sharsimon to‘dalari yulduzlari tarqoq to‘dalari yulduzlaridan kimyoviy tarkibi bilan farqlanadi. Xususan tarqoq yulduz to‘dalarining spektrida og‘ir elementlarning miqdori 1- 4 protsentni tashkil qilgani holda, sharsimon to‘dalarda atigi 0,1-0,01 protsentni tashkil qiladi. Bunday hol ma’lum galaktikada sharsimon va tarqoq yulduz to‘dalarining paydo bo‘lishida turlicha sharoit mavjud bo‘lganidan dalolat beradi. Shuningdek, bunday sharsimon to‘dalar hali og‘ir elementlarga boyib ulgurmagan sferik formadagi protogalaktik gaz tumanligidan paydo bo‘lgan degan ilmiy gipotezaning tug‘ilishiga olib kelgan.
Sharsimon to‘dalar yulduzlarining ko‘pligi va aniq sferik shakliga ko‘ra, tarqoq yulduz to‘dasiga nisbatan yulduzlar fonida yaqqol ajralib ko‘rinadi. Sharsimon to‘dalarning o‘rtacha diametri 40 pk atrofida bo‘ladi. Galaktikamizda 160 ga yaqin sharsimon to‘dalar kuzatiladi. Ravshanliklari tufayli sharsimon to‘dalarni qo‘shni galaktikalarda (Magellan Bulutlari va Andromedada) ham ko‘rish mumkin. Sharsimon to‘dalar tarqoqlardan farq qilib, Galaktikamizning markaziga qarab, konsentratsiyasi keskin ortib boradi.

7.6 - rasm
Sharsimon to‘dalarning tipik vakili Gerkules yulduz turkumida joylashgan M13 bo‘lib, u 20 mingdan ortiq yulduzni o‘z ichiga oladi (7.6 - rasm). Uning bizdan uzoqligi – 24 ming yorug‘lik yiliga teng. Ba’zi massiv sharsimon to’dalar markazida esa massasi kamida bir necha ming Quyosh massasiga teng bo’lgan “qora o’ra” mavjud degan hulosaga kelingan. Misol tariqasida Sentavrning omegasini ko’rsatish mumkin.
Shunday qilib, yulduzlarning tarqoq va shasimon to’dalari o’zaro bir-birlaridan keskin farq qiluvchi obyektlar bo’lib, bu ikki turdagi tudalar nafaqat Galaktikamiz fazosining turli tashkil etuvchi qismlarida joylashganlar, balki Yoshi jihatidan farqi juda kata hamda ularning “Spektr – yorqinlik” diagrammalari ham tamomila ikki xil ekanligi bilan mashhurdirlar.
25-Ma’ruza. Galaktikaning aylanishi. Yulduzlararo chang va gaz. Spiral tarmoqlar. Galaktikamiz yadrosi tuzilishi. Galaktika toji va magnit maydoni.
Yulduzlararo fazoda gaz va chang moddalari mavvjudligi, qo‘shaloq yulduzlarning spektrida kuzatilgan ayrim chiziqlarning “fe’l-atvori” dan ma’lum bo‘ldi. Gap shundaki, bu chiziqlar, spektrdagi boshqa chiziqlar kabi davriy siljishlarda (mazkur yulduzlarning umumiy massa markazi atrofida aylanishi tufayli) ishtirok etmaydi. Bu xol, Quyosh bilan bu qo‘shaloq yulduz orasida modda joylashib, Dopler prinsipiga buysinmaydigan, aynan shu spektral chiziqlarni vujudga keltirgan, xususan, gaz-chang bulutlari borligidan dalolat beradi.
1. Qora chang tumanliklar. Nurni kuchli yutishi tufayli yulduzlar fonida qoramtir tumanliklar mavjud bo’lib, ularning ko’rinma shakliga ko‘ra (7.7-rasm), masalan, “Ot boshi” (Orion yulduz turkumida), ”Ko‘mir qopi” (Janubiy krest yulduz turkumida) deb ataladigan mashhur chang tumanliklari diqqatga sazovor.

7.7 - rasm
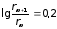
“Ko‘mir qopi” qoramtir gaz-chang tumanligi bizdan 150 pk masofada, o‘lchami 8 pk ga yaqin Somon yo‘lidagi tumanlik bo‘lib, uning burchak o‘lchami 3 ni tashkil etadi. Teleskop bilan kuzatilganda uning chegarasida kuzatiladigan xira yulduzlarning soni tumanlikdan tashqarida shunday maydonda kuzatiladigan yulduzlar sonidan taxminan 3 martacha kam chiqadi. Bundan “Ko‘mir qopi” unning orqasida joylashgan yulduzlarning nurlanishlarini yutishi, aniqrog’i ularning nurlanishlarini qariyb 3 marta kamaytiradi degan xulosa kelib chiqadi. Bunday yutishga mos muhitning optik qalinligi =ln3=1,1 sababli bu yutilish, yulduzlarning ko‘rinma kattaligi
m=1,08=1,2m
qiymatga o‘zgarishiga olib keladi.
Galaktikada bunday tumanliklar ko‘p bo‘lib, xususan Oqqush yulduz turkumidan boshlanib, Burgut, Ilon, Qavs va Aqrab yulduz turkumlarigacha cho‘zilgan chang tasmasi, Somon yo‘lining bu qismida yulduzlarning bizdan “yashirib”, unda qora ayrilikni vujudga keltirgan. Ayniqsa, Galaktika markaziga tomon yo‘nalishda (Qavs yulduz turkumi tomonida) qora tumanlik juda quyuq bo‘lib, biz uchun qiziq sanalgan Galaktikamizning markaziy quyulma qismini ko‘rishni qiyinlashtiradi. Yulduzlararo fazoda nurni yutuvchi bunday moddaning borligi, yana bir hodisa-nurning yulduzlararo qizarishi bilan tasdiqlangan. Bu hodisani miqdor jihatidan xarakterlash uchun, yulduzning kuzatilgan rang ko‘rsatgichi Clk bilan uning spektrgiga mos rang ko‘rsatkichi Sls orasidagi farq bilan belgilanadigan rang orttirmasi SE («color’s excess»)degan tushuncha kiritiladi: SE=Clk+Sls. aniq bir rangdagi yutilish kattaligi, yulduz kattaligining o‘zgarishi bilan quyidagicha ifodalanadi:
m=CE;
bu erda, -proporsionallik koeffitsenti, agar yutilish fotografik yulduz kattaliklarida ifodalansa 4 ga yaqin sonni, agar vizual yulduz kattaliklarida ifodalansa 3 ga yaqin sonni beradi.