Материал: Sb97307

Внимание! Если размещение файла нарушает Ваши авторские права, то обязательно сообщите нам

МИНОБРНАУКИ РОССИИ

––––––––––––––––––––––––––––––––––––––––––––––––––––

Санкт-Петербургский государственный электротехнический университет «ЛЭТИ» им. В. И. Ульянова (Ленина)

–––––––––––––––––––––––––––––––––––––––––––

К. В. КРИНКИН А. А. ЛИСС

УПРАВЛЕНИЕ ПРОГРАММНЫМ ПРОЕКТОМ

Учебно-методическое пособие

Санкт-Петербург Издательство СПбГЭТУ «ЛЭТИ»

2017

УДК 004.413(07)

ББК З973.2-018-02я7 + У9(2)29-21я7 К82

Кринкин К. В., Лисс А. А.

К82 Управление программным проектом: учеб.-метод. пособие. СПб.: Изд-во СПбГЭТУ «ЛЭТИ», 2017. 32 с.

ISBN 978-5-7629-2383-5

Представлены материалы по дисциплине «Управление разработкой и экономика программного проекта». Рассматриваются процессы управления проектом в соответствии с современным международным подходом. Приводятся задания для работы в команде и вопросы для самоконтроля.

Предназначено для студентов 4-го курса направлений 09.03.04 – «Программная инженерия» (учебный план № 032) и 01.03.02 – «Прикладная математика и информатика» (учебный план № 038).

УДК 004.413(07)

ББК З973.2-018-02я7 + У9(2)29-21я7

Рецензент: руководитель проекта, канд. техн. наук, доцент С. В. Родионов (АО «НИЦ СПб ЭТУ»).

Утверждено редакционно-издательским советом университета

в качестве учебно-методического пособия

ISBN 978-5-7629-2383-5

© СПбГЭТУ «ЛЭТИ», 2017

2

ВВЕДЕНИЕ

На сегодняшний день в области управления проектами по разработке программного обеспечения (ПО) используется множество различных подхо-

дов. Часть этих подходов ориентирована на разработку исключительно ПО, другие не привязаны к предметной области и могут применяться для управ-

ления любыми проектами. В рамках курса «Управление разработкой и экономика программных проектов» следует опираться на подход, разработан-

ный Международным некоммерческим институтом управления проектами

PMI ( Project Management Institute) и изложенный в [1]. Говоря об этом под-

ходе, будем называть его PMBoK. PMBoK – это аббревиатура от Project Management Body of Knowledge, что в переводе означает «Свод знаний по управ-

лению проектом». Относительно недавно PMI разработал расширение PMBoK для управления проектами разработки программного обеспечения –

The Software Extension to the PMBoK (SWX), которое фактически определяет гибкий подход к разработке программного обеспечения как «лучший подход». Также SWX отказалось от противопоставления прогнозируемой и адаптивной моделей жизненного цикла программного проекта, установив, что адаптивные проекты также планируются, а прогнозируемые проекты также управляются изменениями. О гибком подходе речь пойдет в разд. 5 настоящего пособия.

Согласно PMBoK существует 10 областей знания об управлении:

1)интеграцией проекта;

2)содержанием;

3)расписанием;

4)стоимостью;

5)качеством;

6)коммуникациями;

7)закупками;

8)заинтересованными лицами;

9)рисками;

10)человеческими ресурсами.

В перечисленных областях знаний выделяют процессы управления про-

ектом, которые объединяются в 5 групп: процессы инициации (I); планирования (P); исполнения (E); мониторинга и управления (M&C); завершения

3

(C). Между группами процессов существуют переходы, которые происходят при определенных условиях.

В группе инициации находятся процессы, в результате которых произ-

водится «запуск» проекта. Это официальное признание проекта, высокоуровневое планирование и определение заинтересованных лиц. Результаты фик-

сируются в виде документа «Устав проекта», который считается самым стабильным документом, подвергаемым изменениям только в крайнем случае.

Все остальные документы проекта постоянно подвергаются изменениям на

 

1

P 2

 

протяжении всего

жизненного цикла

 

I

 

проекта.

 

 

5

 

E

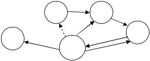
На рис. В1 представлены переходы

C

 

3

M&

 

между группами процессов управления

7

4

 

 

проектом. Выходы

процессов группы

 

 

 

 

инициации поступают на вход группы

Рис. В1

процессов планирования (переход 1).

Это процессы, требуемые для определения общего содержания проекта, уточнения целей и определения последовательности действий, требуемых для достижения целей проекта. Когда планирование закончено, его результаты, базовые планы, поступают на вход процессов группы исполнения (пере-

ход 2). Процессы группы исполнения – это процессы, применяемые для выполнения работ, определенных в плане управления проектом, с целью удов-

летворения требованиям проекта.

Результаты, полученные при исполнении работ проекта, поступают на вход группы процессов мониторинга и управления (переход 3). Это процессы, требуемые для отслеживания, анализа и регулирования хода и эффектив-

ности исполнения проекта, выявления тех областей, в которых требуется внесение изменений в план, и инициации соответствующих изменений. Здесь производится проверка: есть ли отклонения? Если выяснилось, что требу-

ются корректирующие воздействия, не затрагивающие базовый план, осу-

ществляется обратный переход к группе процессов исполнения для реализации корректирующего воздействия (переход 4). Если требуются более серь-

езные корректирующие воздействия, происходит переход к группе планирования для пересмотра плана управления проектом (переход 5), и т. д. Если требуются корректирующие воздействия, сильно меняющие базовые планы,

производится переход к группе инициации для определения целесообразно-

сти продолжения проекта (переход 6). На рис. В1 переход 6 отмечен штрихо-

4

вой линией, как крайне нежелательный. Результатом перехода к группе ини-

циации в этом случае может стать решение о прекращении работ по проекту.

Когда все работы выполнены либо принято решение о прекращении проекта, происходит переход к группе процессов завершения (переход 7), выполняемых для завершения всех действий в рамках всех групп процессов и формального завершения проекта или его фазы. Группа процессов завершения очень важна для организации, поскольку именно на этом этапе форми-

руются документы, которые на языке оригинала называются «lessons learned» и представляют собой анализ, что в этом проекте было сделано хо-

рошо, а что следовало бы улучшить. Иными словами, формируется база знаний о лучших практиках, принятых в организации для того, чтобы большин-

ство проектов были успешными.

 

Инициация

Планирование

Исполнение

Мониторинг

Завершение

 

 

 

 

и управление

 

 

 

 

 

 

 

 

 

 

Интеграция

 

 

 

 

Содержание

 

Содержание

 

знаний

 

Расписание

 

Расписание

 

 

Стоимость

Качество

Стоимость

 

 

 

 

 

Области

 

 

 

 

 

 

Человеческие ресурсы

 

 

 

 

 

 

 

 

 

Коммуникации

 

 

 

 

Риски

 

Риски

 

 

 

 

Закупки

 

 

 

Заинтересованные стороны

 

 

 

 

 

Рис. В2

 

 

На рис. В2 показано, как в PMBoK связаны области знаний и группы процессов управления проектом. Видно, что область знаний «Управление интеграцией проекта» включает в себя процессы всех пяти групп, а процессы группы планирования применяются для всех областей знания.

Для общего представления о подходе к управлению проектом, принятом в PMBoK, нужно понимать, какие процессы относятся к той или иной группе и какие основные входы и выходы существуют для групп процессов управления. Рассмотрим, что именно происходит в ходе проекта, не привязываясь к формальным терминам PMBoK. Курсивом обозначим основные выходы группы процессов управления.

Инициация: назначают руководителя проекта (РП), анализируют информацию о предыдущих проектах, разделяют большие проекты на этапы

5