Заготовки из различных материалов подвергают закалке плазменной струей, перемещающейся с постоянной скоростью по обрабатываемой поверхности.
Таблица 3.1.
|
Параметры |
Значения параметров |
||||
|
U,В |
190 |
195 |
200 |
205 |
210 |
|
I,А |
160 |
200 |
240 |
280 |
320 |
|
V,м/ч |
20 |
25 |
30 |
35 |
40 |
|
dп, мм |
20 |
30 |
40 |
|
|
Выбрать марку обрабатываемого материала в зависимости от порядкового номера студента в списке группы.
Рассчитать и построить зависимости температурных полей при изменении технологических параметров термообработки.
Определить зависимости термического цикла в точках удаленных на различное расстояние от оси перемещения плазменной струи по поверхности, от параметров обработки.
Определить зависимости времени пребывания выше температуры закалки в точках, удаленных на различное расстояние от оси перемещения плазменной струи по поверхности, в зависимости от параметров обработки.
Определить зависимости изменения глубины зоны проплавления, закалки и отпуска в зависимости от параметров обработки.
Плазменная закалка деталей и инструмента - прогрессивный метод локального поверхностного упрочнения, многократно повышающий надежность и долговечность изделий. Схема закали плазменной струей представлена на рисунке 3.1. Сущность плазменной закалки состоит в высокоскоростном нагреве потоком плазмы поверхностного слоя металла и быстром его охлаждении в результате передачи тепла в глубинные слои материала детали. Цель плазменной закалки - изготовление деталей и инструмента с упрочненным поверхностным слоем толщиной до нескольких миллиметров при неизменном общем химическом составе материала и сохранении во внутренних слоях первоначальных свойств исходного металла [12].

Рис. 3.1. Схема закалки плазменной струей.
Материалы, подвергаемые плазменной закалке - инструментальные стали, чугуны, твердые сплавы, цементированные и нитроцементированные стали, цветные сплавы и другие материалы.
Эффект от плазменной закалки определяется повышением эксплуатационных свойств детали, благодаря изменению физико-механических характеристик поверхностного слоя, вследствие образования специфической структуры и фазового состава металла с высокой твердостью и дисперсностью, а также получения на поверхности сжимающих остаточных напряжений.
Оборудование для плазменной закалки состоит из источника тока, блока аппаратуры, малогабаритного плазмотрона и механизма для перемещения плазмотрона или детали. Плазмотрон изготавливается по оригинальным конструкторским разработкам. Механизмом для перемещения может служить серийное механическое, сварочное или наплавочное оборудование.
Технологический процесс плазменной закалки состоит из предварительной очистки (любым известным методом) и непосредственно плазменной закалки обрабатываемой поверхности путем перемещения изделия относительно плазмотрона или наоборот. Возможны следующие технологические варианты плазменной закалки: без оплавления и с оплавлением поверхности детали, с промежутками между упрочненными зонами или без них. Параметры процесса плазменной закалки: ток плазменной дуги (струи), расход плазмообразующего газа, расстояние между плазмотроном и изделием, скорость перемещения определяются алгоритмом, обеспечивающим получение оптимальных свойств в поверхностном слое упрочняемой детали. Интегральная температура нагрева в процессе плазменной закалки не превышает 150...200 °С. В качестве плазмообразующего газа используются, как правило, аргон или его смеси с азотом, а также воздух. Средняя ширина закаленной зоны 6..13 мм.
Контроль качества плазменной закалки обработанной поверхности осуществляется визуально по наличию и сравнению цветовой окраски с эталоном, а также по увеличению твердости.
Основные требования безопасности при плазменной закалке определяются применением сварочных источников нагрева и требуют использования вытяжной вентиляционной системы и защиты органов зрения от излучения.
Примеры применения плазменной закалки: режущий и мерительный инструмент, штампы, напильники; контуры резьбы ходовых винтов, шестерен, зубчатых колес, реек; рабочие профили кулачков, копиров, а также разнообразных пазов, канавок, отверстий; направляющие, шпиндели, валы, оси, штоки; детали текстильных машин, ножи для обработки дерева, бумаги, синтетических материалов; рамные и дисковые пилы, иглы, прокатные валки, коленчатые и распределительные валы, детали газораспределительных механизмов двигателей и т.д.
Отличительные особенности плазменной закалки. По сравнению с аналогами - способами поверхностного упрочнения токами высокой частоты, газовым пламенем, химико-термической обработки, лазерным и электронно-лучевым упрочнением, данный процесс имеет преимущества [12]:
- низкие интегральные температуры нагрева деталей;
- большая глубина упрочненного слоя по сравнению, например, с лазерной закалкой;
- высокий эффективный КПД нагрева плазменной дугой до (85%), для сравнения, при лазерном упрочнении - 5%;
- отсутствие применения специальных дополнительных химических препаратов или веществ;
- возможность ведения процесса без применения охлаждающих сред, вакуума, специальных покрытий для повышения поглощательной способности упрочняемых поверхностей;
- простота, низкая стоимость, маневренность, малые габариты технологического оборудования;
- возможность автоматизации и роботизации технологического процесса.
Экономическая эффективность плазменной закалки определяется [12]:
- повышением работоспособности и износостойкости деталей и инструмента;
- сокращением затрат на изготовление запасных деталей и дополнительного количества инструмента для выполнения заданной производственной программы;
- уменьшения объема заточных операций, времени и средств, связанных с настройкой прессов и металлообрабатывающих станков для инструмента, подвергнутого плазменной закалке;
- высвобождением работников, занятых на изготовлении запасных деталей и дополнительного количества инструмента;
- интенсификацией режимов работы инструмента;
- увеличением выпуска продукции на существующем оборудовании, вследствие сокращения простоев для замены изношенных деталей и аварийных ремонтов оборудования.
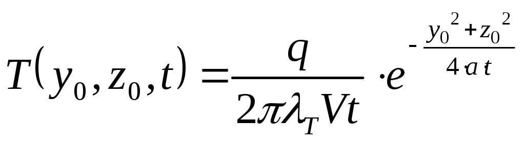
Уравнение квазистационарного состояния распространения тепла в полупространстве от движения точечного источника Q с постоянной скоростью V [9, с.82]:
(3.1)
где х – абсцисса точки А в подвижной системе координат ;
a – коэффициент температуропроводности материала детали;
q – интенсивность теплового источника;
–
коэффициент теплопроводности материала
детали;
V – скорость движения теплового источника.
Коэффициент температуропроводности материала детали :
см2/с
(3.2)
где γ – плотность материала детали;
с - удельная теплоемкость материала детали.
Коэффициент полезного действия передачи
энергии детали находится как произведение
,
где
=0,5
– коэффициент полезного действия
плазматрона;
=0,8
– коэффициент полезного действия
передачи энергии плазменной струей
материалу .
Откуда :
.
(3.3)
Скорость распространения тепла в пределах пятна воздействия:
см/с, (3.4)
где t – время позиции, нахождения источника тепла в зоне обработки, t=1.
υt<υ – быстродвижущийся источник нагрева.
Для решения данной тепловой задачи используется модель быстродвижущегося источника тепла на поверхности полупространства.
Интенсивность теплового источника [9, с.72]:
.
(3.5)
Расстояние от рассматриваемой точки А до точки О подвижной системы координат, связанной с источником нагрева :
. (3.6)
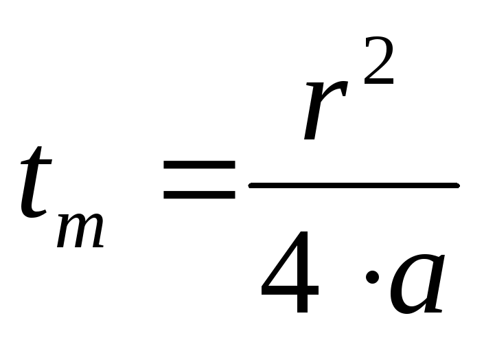
Время достижения максимальной температуры :
. (3.7)
Максимальная температура:
. (3.8)
Недостатки плазменной закалки:
- невозможно точно выдержать расстояние между электродом и деталью;
- при колебаниях длины дуги значительно изменяется ее тепловое воздействие на закаливаемую поверхность, что проявляется либо в проплавлении, либо в пропадании самого эффекта закалки.
По этой причине плазменная закалка осуществляется с помощью автоматов, когда длину дуги можно фиксировать на оптимальном значении.
Сплав Д16 - алюминиевый деформируемый сплав.
Использование в промышленности: для силовых элементов конструкций самолетов, кузовов автомобилей, труб и т.д.; для деталей, работающих при температурах до -230 град.
Химический состав сплава Д16 приведен в таблице 3.1 [8].
Таблица 3.2- Химический состав сплава Д16.
|
Химический
состав,
|
|||||||||
|
Fe |
Mg |
Si |
Mn |
Ni |
Ti |
Cu |
Al |
Zn |
примесей |
|
до 0,5 |
1,2-2,8 |
до 0,5 |
0,3-0,9 |
до 0,1 |
до 0,1 |
3,8-4,9 |
90,8-94,7 |
до 0,3 |
прочих 0,3 |
Значения параметров напряжения, силы тока и скорости движения теплового источника для сплава Д16 приведены в таблице 3.1
Материал: Сплав Д16
Температура плавления – 1610 оС [8];
Температура закалки – 1110 оС [8];
Температура отпуска – 860 оС [8];
Температура начала полиморфного превращения – 900 оС [8];
Плотность – 2,8 г/см3 [8];
Теплофизические свойства обрабатываемого материала:
Удельная теплоемкость – 0,14 кал/г∙ оС [8];
Коэффициент теплопроводности - 0,062 кал/см∙с∙ оС [8].

Рис. 3.2. Схема быстродвижущегося точечного источника тепла по поверхности полупространства.
Для упрощения расчетов рекомендуется рассматривать точечный источник тепла.
Скорость охлаждения металла детали:
. (3.9)
где Т – температура начала полиморфного превращения, Т=900˚С.
Скорость охлаждения оказывает влияние как на размер, так и на фазовый состав окончательной структуры материала.
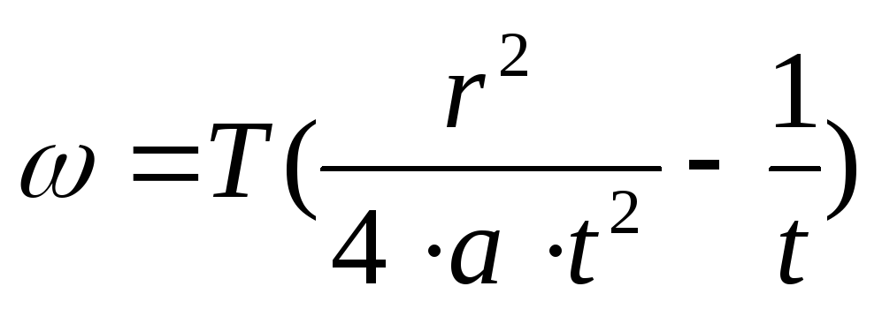
Время роста зерна:
,
где f3 =f(θ)
– находится по номограммам [10, c.
240], где
- безразмерная величина [10, с. 239].
Tm – максимальная температура материала;
T0 – температура, выше которой определяется время нахождения материала (комнатная температура).

Рис. 3.3. Зоны закалки, проплавления и отпуска в поперечном разрезе слоя детали.
r1(T1) – зона проплавления;
r2(T2) – зона закалки;
r3(T3) – зона отпуска.
Построим кривые термического цикла при I=160 А, U=190 В, V=20 м/ч при радиусе проплавления r=0,82 мм по уравнению:

Чтобы найти радиус проплавления r, выразим его через формулу (3.8):
![]()
Найдем tm в зоне проплавления по формуле (3.7):
![]()
Скорость охлаждения металла детали найдем по формуле (3.9):
.
где t=10,5 c – время начала полиморфного превращения.
Время роста зерна:
![]()
где f3 =f(θ)
– находится по номограммам, где:
- безразмерная величина;
из номограмм найдем f3=0,18.
Итак, в зоне проплавления:
![]()
Данная кривая изображена на рисунке 3.4 (r=0,82 мм). Результаты, полученные в ходе решения занести в таблицу 3.7.
При построении других графиков расчеты производятся аналогично.
С помощью пакета программ Microsoft Excel были получены кривые термического цикла приведенные на рисунках 3.4-3.10.