Введение 2
1.Комплекс работ по сооружению земляного полотна 4
2. Определение объемов земляных работ 5
3. Варианты распределения земляных масс 7
9
4. Определение продолжительности подготовительных и отделочных работ 10
3. Разработка технологической карты строительства земляного полотна 14
Библиографический список 17
Проект Производства Работ (ППР) - это основной документ, регулирующий организацию производства строительных работ в соответствии с технологическими правилами, требованиями к охране труда, экологической безопасности и качеству работ.
На сооружение земляного полотна приходится от 20% до 30% от полной сметной стоимости. Эти работы являются «срокообразующими» - существенно влияющими на общую продолжительность строительства железной дороги.
Место их в общей технологической цепочке выполнения основных работ в нормальных условиях организации строительства находится после полного завершения постройки малых водопропускных сооружений.
К земляным работам относятся: отсыпка насыпей и полунасыпей, разработка выемок и полувыемок; сооружение земляного полотна под переезды; устройство водозащитных сооружений – струенаправляющих дамб, берм, траверс.
Исходными даными для составления ППР служат:
задание на разработку, выдаваемое строительной организацией, данные о фронте работы механизированной колонны, сложных участках;
ПОС и ПОР железной дороги с указанием сроков земляных работ, количества механизированных колонн, их размещения по линии, расположения базовых, приобъектных и вахтовых поселков с увязкой их работы с другими основными работами;
необходимая рабочая документация (продольный профиль линии, объемы земляных работ, распределение земляных масс и т.д.); данные об инженерно-геологических и климатических условиях производства работ, о существующих автомобильных дорогах, которые можно использовать для подвоза грунта, источников водо- и электроснабжения;
сведения о составе парка машин механизированных колонн, план его пополнения, условия использования землеройной техники и транспортных средств;
данные об обеспеченности кадрами строителей по основным профессиям;
типовые технологические карты производства земляных работ.
Основной составной частью ППР является сводный календарный план-график производства работ или комплексный сетевой график, в котором устанавливается последовательность и сроки ведения земляных работ, выделяются работы, выполняемые различными модулями машин; определяется их количественный состав.
Подготовительные работы
К подготовительным работам относят: разбивку земляного полотна, а также площадей для размещения карьеров, находящихся за пределами полосы отвода; устройство землевозных дорог; сооружение нагорных и других водоотводных канав, необходимых для создания нормальных условий производства работ, выполнение комплекса подготовительных работ для выполнения земляных работ в зимнее время; разбивку земляного полотна и ее закрепление перед его сооружением; срезку растительного грунта, заготовку растительной земли, нарезку уступов на косогорах; подготовка основания насыпей на переувлажненных участках и болотах.
Основные работы
Основными работами являются: послойное рыхление сухих плотных грунтов, при разработке выемок, карьеров и резервов скреперами, бульдозерами; рыхление скальных пород, а также мерзлого грунта в зимнее время; разработка грунта в отвал или с погрузкой в транспортные средства; перемещение грунта из выемок, карьеров и резервов в насыпи, кавальеры или отвалы; послойное разравнивание грунта в насыпях и кавальерах; послойное уплотнение грунта в насыпях и кавальерах; послойное уплотнение грунта в насыпях; устройство и ликвидация въездов и съездов при отсыпке насыпей транспортными средствами; выторфовывание и устройство прорезей при сооружение насыпей на болотах, удаление слабых грунтов из основания насыпей; устройство регуляционных, противообвальных и противооползневых сооружений.
Отделочные работы
В отделочные работы входят планировки, выполняемые в последовательности: планировка откосов выемок; основной площадки земляного полотна и нарезка сливной призмы; планировка откосов насыпей и станционных площадок. После нарезки сливной призмы в выемках нарезают кюветы. Отделочные работы следуют за окончанием разработки выемок и возведения насыпей.
Вспомогательные работы
Вспомогательными работами являются: планировка берм, дна и откосов резервов; верха и откосов кавальеров; откосов и дна карьеров ( в ходе рекультивации).
Укрепительные работы
К укрепительным относят: укрепление откосов выемок и насыпей, канав, кюветов, берм, конусов регуляционных сооружений.
Подсчёт объёмов производится помассивно по средним рабочим отметкам, с использованием графиков, составленных по принятым типовым поперечным профилям для различных условий рельефа, геологии и положения проектной линии (выемка, насыпь). Рабочие отметки подсчитаны и проставлены на схематическом продольном профиле на всех переломах проектной бровки и на всех переломах линии земли, а также на нулевых местах. Средняя рабочая отметка в пределах отдельного массива земляного полотна определяется как среднее арифметическое между отметками в начале и конце массива.
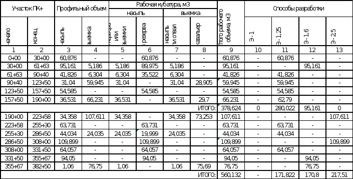
Расчёт объёма работ по главному пути приведён в таблице 1.
Таблица 1
Ведомость объемов земляных работ




![]()
Двулучевая схема
;
;
;
;
Участок длиной 19,8 км (Ст. А – ПК 190+00,00):


Участок длиной 19,25 км (ПК 190+00,00 – ПК 382+50,00)


Земляные работы выполняются специализированными подразделениями - механизированными колоннами (МК). МК формируются на основе модульного принципа. В состав каждого модуля входят машины и оборудования, обеспечивающие наиболее эффективное выполнение работ.
Для составления календарного графика по отсыпке земляного полотна необходимо: проанализировать возможности механизированных колонн, назначить конкурентоспособные варианты производства работ в соответствии с возможностями МК. Для сравнения вариантов нужно составит по каждому из них ведомости распределения земляных масс, определить продолжительность работы модулей машин.
Составляем два варианта распределения земляных масс. Таблица 2, Таблица 3. И ведомости подсчета сроков выполнения основных земляных работ для каждого варианта соответственно (таблица 4, Таблица 5).
Таблица 2
Ведомость распределения земляных масс - Вариант 1

Таблица 3
Ведомость распределения земляных масс - Вариант 2

Таблица 4
Ведомость подсчета сроков выполнения основных земляных работ - Вариант 1

Таблица 5
Ведомость подсчета сроков выполнения основных земляных работ- Вариант 2

Технико-экономическое сравнение вариантов земляных работ.
Вариант производства земляных работ может быть выбран по минимуму себестоимости выполнения основных земляных работ. Себестоимость определяется по формуле:
,
|
где
|
- себестоимость машиночаса ведущих и комплектующих машин модуля, тыс. руб |
|
|
|
-занятость ведущих работ на объекте |
|
|
|
|
|
Ведомость сравнения вариантов производства земляных работ представлены в Приложении А.
Наиболее выгодным оказался Вариант 2, себестоимость которого составила 204,084 млн. руб. Что экономичнее Варианта 1: (279,697-204,084)=75,61 млн. руб.
Подготовительные работы
К подготовительным работам относят: разбивку земляного полотна, а также площадей для размещения карьеров, находящихся за пределами полосы отвода; устройство землевозных дорог; сооружение нагорных и других водоотводных канав, необходимых для создания нормальных условий производства работ, выполнение комплекса подготовительных работ для выполнения земляных работ в зимнее время; разбивку земляного полотна и ее закрепление перед его сооружением; срезку растительного грунта, заготовку растительной земли, нарезку уступов на косогорах; подготовка основания насыпей на переувлажненных участках и болотах.
Отделочные работы
В отделочные работы входят планировки, выполняемые в последовательности: планировка откосов выемок; основной площадки земляного полотна и нарезка сливной призмы; планировка откосов насыпей и станционных площадок. После нарезки сливной призмы в выемках нарезают кюветы. Отделочные работы следуют за окончанием разработки выемок и возведения насыпей.
Таблица 6
Определение продолжительности подготовительных и отделочных работ
|
Участок |
Вид работы |
Единицы измерения |
Объем |
Ведущая машина |
Производительность в смену |
Число смен |
Продолжительность, дн. |
|
|
раб. |
календ. |
|||||||
|
Подготовительные работы. Луч 1 |
||||||||
|
ПК 00+00,00… 50+00,00 |
Срезка кустарников |
га |
8 |
трактор-кусторез |
4 |
2 |
1 |
1,4 |
|
ПК 50+00,00… 100+00,00 |
6 |
0,8 |
1,1 |
|||||
|
ПК 00+00,00… 50+00,00 |
Корчевка пней |
га |
8 |
бульдозер |
1 |
2 |
4 |
5,6 |
|
ПК 50+00,00… 100+00,00 |
6 |
3 |
4,2 |
|||||
|
ПК 54+16,40… 61+63,00 |
Устройство нагорных канав |
м3 |
674 |
ЭТУ-354 |
285 |
2 |
1,2 |
1,7 |
|
ПК 83+02,00… 90+40,00 |
754 |
ЭТУ-354 |
285 |
2 |
1,3 |
1,9 |
||
|
ПК 111+37,00… 123+50,00 |
1092 |
ЭТУ-354 |
285 |
2 |
1,9 |
2,7 |
||
|
ПК 173+56,00… 188+06,00 |
819 |
ЭТУ-354 |
285 |
2 |
1,4 |
2,0 |
||
|
Подготовительные работы. Луч 2 |
||||||||
|
ПК 190+00,00… 240+00,00 |
Срезка кустарников |
га |
8 |
трактор-кусторез |
4 |
2 |
1 |
1,4 |
|
ПК 240+00,00… 286+00,00 |
6 |
0,8 |
1,1 |
|||||
|
ПК 195+00,00… 237+00,0 |
Корчевка пней |
га |
8 |
бульдозер |
1 |
2 |
4 |
5,6 |
|
ПК 240+00,00… 286+00,00 |
6 |
3 |
4,2 |
|||||
|
ПК 202+28,00… 223+58,00 |
Устройство нагорных канав |
м3 |
1917 |
ЭТУ-354 |
285 |
2 |
3,4 |
4,7 |
|
ПК 255+30,00… 266+00,00 |
963 |
ЭТУ-354 |
285 |
2 |
1,7 |
2,4 |
||
|
ПК 355+67,00… 369+00,00 |
675 |
ЭТУ-354 |
285 |
2 |
1,2 |
1,7 |
||
|
ПК 369+00,00… 377+68,00 |
781 |
ЭТУ-354 |
285 |
2 |
1,4 |
1,9 |
||
|
Отделочные работы. Луч 1 |
||||||||
|
ПК 54+16,40… 61+63,00 |
Планировка откосов выемки |
1000 м2 |
1,079 |
экскаватор-планировщик |
2,2 |
2 |
0,2 |
0,3 |
|
ПК 83+02,00… 90+40,00 |
1,056 |
0,2 |
0,3 |
|||||
|
ПК 111+37,00… 123+50,00 |
6,513 |
1,5 |
2,1 |
|||||
|
ПК 173+56,00… 188+06,00 |
5,005 |
1,1 |
1,6 |
|||||
|
ПК 00+00,00… 190+00,00 |
Устройство сливной призмы |
1000 м2 |
144,40 |
Автогрейдер |
5 |
2 |
14,4 |
20,2 |
|
ПК 00+00,00… 33+50,00 |
Планировка откосов насыпи |
1000 м2 |
18,643 |
экскаватор-планировщик |
2,2 |
2 |
4,2 |
5,9 |
|
ПК 33+50,00… 45+50,00 |
8,892 |
2,0 |
2,8 |
|||||
|
ПК 45+50,00… 54+16,00 |
1,664 |
0,4 |
0,5 |
|||||
|
ПК 61+63,00… 75+00,00 |
4,312 |
1,0 |
1,4 |
|||||
|
ПК 75+00,00… 83+02,00 |
2,562 |
0,6 |
0,8 |
|||||
|
ПК 90+40,00… 111+37,00 |
5,140 |
1,2 |
1,6 |
|||||
|
ПК 123+50,00… 140+00,00 |
8,126 |
1,8 |
2,6 |
|||||
|
ПК 140+00,00… 157+50,00 |
6,605 |
1,5 |
2,1 |
|||||
|
ПК 157+50,00… 173+56,00 |
6,605 |
1,5 |
2,1 |
|||||
|
ПК 188+06,00… 190+00,00 |
3,308 |
0,8 |
1,1 |
|||||
|
ПК 54+16,40… 61+63,00 |
Устройство кюветов |
м3 |
898,8 |
ЭТУ-354 |
285 |
2 |
1,6 |
2,2 |
|
ПК 83+02,00… 90+40,00 |
1005,6 |
ЭТУ-354 |
285 |
2 |
1,8 |
2,5 |
||
|
ПК 111+37,00… 123+50,00 |
1455,6 |
ЭТУ-354 |
285 |
2 |
2,6 |
3,6 |
||
|
ПК 173+56,00… 188+06,00 |
1092,0 |
ЭТУ-354 |
285 |
2 |
1,9 |
2,7 |
||
|
ПК 00+00,00… 190+00,00 |
Укрепление откосов |
1000 м2 |
79,507 |
Гидросеялка |
4 |
2 |
9,9 |
13,9 |
|
Отделочные работы. Луч 2 |
||||||||
|
ПК 202+28,00… 223+58,00 |
Планировка откосов выемки |
1000 м2 |
11,257 |
экскаватор-планировщик |
2,2 |
2 |
2,56 |
3,58 |
|
ПК 255+30,00… 266+00,00 |
4,130 |
0,94 |
1,31 |
|||||
|
ПК 355+67,00… 369+00,00 |
4,421 |
1,00 |
1,41 |
|||||
|
ПК 369+00,00… 377+68,00 |
3,085 |
0,70 |
0,98 |
|||||
|
ПК 190+00… 382+50,00 |
Устройство сливной призмы |
1000 м2 |
146,30 |
Автогрейдер |
5 |
2 |
14,6 |
20,5 |
|
ПК 190+00,00… 202+28,00 |
Планировка откосов насыпи |
1000 м2 |
5,213 |
экскаватор-планировщик |
2,2 |
2 |
1,2 |
1,7 |
|
ПК 223+58,00… 234+00,00 |
6,825 |
1,6 |
2,2 |
|||||
|
ПК 234+00,00… 255+30,00 |
6,360 |
1,4 |
2,0 |
|||||
|
ПК 266+00,00… 286+50,00 |
6,970 |
1,6 |
2,2 |
|||||
|
ПК 286+50,00… 315+00,00 |
15,105 |
3,4 |
4,8 |
|||||
|
ПК 315+00,00… 331+50,00 |
9,817 |
2,2 |
3,1 |
|||||
|
ПК 333+50,00… 335+67,00 |
14,189 |
3,2 |
4,5 |
|||||
|
ПК 377+68,00… 380+00,00 |
0,388 |
0,1 |
0,1 |
|||||
|
ПК 202+28,00… 223+58,00 |
Устройство кюветов |
м3 |
2556,0 |
ЭТУ-354 |
285 |
2 |
4,5 |
6,3 |
|
ПК 255+30,00… 266+00,00 |
1284,0 |
ЭТУ-354 |
285 |
2 |
2,3 |
3,2 |
||
|
ПК 355+67,00… 369+00,00 |
900,0 |
ЭТУ-354 |
285 |
2 |
1,6 |
2,2 |
||
|
ПК 369+00,00… 377+68,00 |
1032,0 |
ЭТУ-354 |
285 |
2 |
1,8 |
2,5 |
||
|
ПК 190+00,00… 382+50,00 |
Укрепление откосов |
1000 м2 |
87,759 |
Гидросеялка |
4 |
2 |
11,0 |
15,4 |
Составляем календарный график производства работ земляных работ. График представлен в Приложении А