Міністерство освіти і науки України
Запорізький національний технічний університет
Кафедра фізики
Методичні вказівки
до лабораторних робіт з фізикИ
Механіка. Молекулярна фізика
Частина 2
Для студентів інженерно-технічних спеціальностей
денної форми навчання
2009
Методичні вказівки до лабораторних робіт з фізики. Механіка. Молекулярна фізика. Частина 2. Для студентів інженерно-технічних спеціальностей денної форми навчання / Укладачі: Лоскутов С.В., Єршов А.В., Серпецький Б.О., Правда М.І., Лущін С.П., Курбацький В.П., Работкіна О.В., Денисова О.І. – Запоріжжя: ЗНТУ, 2009 . - 54 с.
У к л а д а ч і: Лоскутов С.В., професор, д-р. фіз-матем. наук.; Єршов А.В. канд. техн. наук, доцент; Серпецький Б.О., канд. фіз.-матем. наук, доцент; Правда М.І., канд. фіз.-матем. наук, доцент; Лущін С.П., канд. фіз.-матем. наук, доцент; Курбацький В.П., канд. фіз.-матем. наук, доцент; Работкіна О.В., старший викладач; Денисова О.І., старший викладач.
Р е ц е н з е н т и: Корніч В.Г. канд. фіз.-матем. наук, доцент; Манько В.К., канд. фіз.-матем. наук, доцент; Золотаревський І.В., канд. фіз.-матем. наук, доцент; Сокол Т.О., старший викладач кафедри іноземної мови.
Затверджено на засіданні кафедри фізики ЗНТУ,
протокол № 3 від 01.12. 2008 р .
Методичні вказівки до лабораторних робіт з фізики. Механіка. Молекулярна фізика. Частина 2. схвалені на засіданні Методичної Ради Електротехнічного факультету ЗНТУ, протокол № 5 від ” 27 ” січня 2009 р.
Відповідальний за випуск: Єршов А.В., канд. техн. наук, доцент.
ЗМІСТ
Вступ . . . . . . . . . . . . . . . . . . . . . . . . ………………………………......... 93
14 Лабораторна робота № 5. Вивчення основного закону динаміки
обертального руху…………………… ………………..…………94
14.1 Опис устаткування та методу вимірювання ……………............. 94 14.2 Порядок виконання роботи № 5.1 ..………………….................... 96 14.3 Порядок виконання роботи № 5.2 ..…............................................ 98 14.4 Порядок виконання роботи № 5.3 ................................................ 100
14.5 Порядок виконання роботи № 5.4 ................................................ 102
14.6 Порядок виконання роботи № 5.5 ................................................ 105
14.7 Опис устаткування та методу вимірювання роботи № 5.6 ……107
14.8 Порядок виконання роботи № 5.6 ................................................ 108
Контрольні запитання ……..……………………………………. 109 Рекомендована література ................………………………………… 110 15 Laboratory work № 5. Study of the fundamental equation of the
rotational motion dynamics ……………………………………........ 111
15.1 Description of installation and measuring method ………….......... 111
15.2 Task 5.1 ………………………….................................. 112 15.3 Task 5.2 ……………………………………………………….. 114
15.4 Task 5.3 …………………………………………………… 115 15.5 Task 5.4 …………………………...................................116 15.6 Task 5.5 …………………………………………………………118
15.7 Task 5.6 .……………………………………………………119 Control questions ………………………………..................................... 121
16 Лабораторна робота № 6. Перевірка теореми Штейнера ………. 122
16.1 Опис пристрою та методу вимірювання .....……………….........122
Контрольні запитання …….....……………………………………….. 126
Рекомендована література…….…………………………………........ 126
17 Laboratory work № 6. Verification of the Huygens-Steiner (parallel
axis) theorem …..…………………………………………………. 127
17.1 Theory ……………………………………………………………. 127
17.2 Description of device and method of measuring ...............………. 128
17.3 Procedure and analysis …………................................…………… 130
Control questions ….……………….……...............................………… 131
18 Лабораторна робота № 7. Визначення величини співвідношення
теплоємностей Cp/Cv для газів …………………………………... 132 18.1 Опис пристрою та методу вимірювання .....................…....... 132 18.2 Порядок виконання роботи ……………................…………….. 135 Контрольні запитання ………………………................……………137 Laboratory work № 7. Determination of the ratio of the specific heat
Cp/Cv for gases ……………………………….................................. 138
19.1 The description of the device and method of measurements ............ ……. 138 19.2 Experimental part ……………..……………………................................... 139
Control questions …………………………………................................. 140
ВСТУП
Збірник містить лабораторні роботи для студентів усіх спеціальностей.
Основна спрямованість методичних вказівок з предмету фізика - дати можливість студентам за допомогою досліду вивчити важливі фізичні явища. Опис лабораторних робіт не претендує на те, щоб створити у студентів повне уявлення про явища, які вивчаються. Таке уявлення може виникнути лише внаслідок опрацювання лекцій та підручників.
Велика увага в методичних вказівках з фізики для студентів технічних спеціальностей приділяється обробленню результатів вимірювання. Для успішного виконання робіт необхідна попередня самостійна підготовка, в першу чергу теоретична.
Кожна лабораторна робота розрахована на дві академічні години занять у лабораторії. Перед заняттям студент повинен підготувати протокол лабораторної роботи, вивчивши відповідний теоретичний матеріал.
Під час заняття студенти проводять необхідні виміри, виконують розрахунки, доводять звіт до висновку. Результати вимірювання обговорюються з викладачем і затверджуються.
Повністю оформлений звіт по лабораторній роботі потрібно подати викладачу до кінця заняття. Він повинен містити: титульний лист, номер лабораторної роботи та її назву, перелік приладів і приладдя, мету роботи, схему установки, розрахункові формули, таблицю результатів вимірів і розрахунки, висновки за результатами роботи. Графіки повинні бути виконані на міліметровому папері.
Якщо студент не встигає захистити лабораторну роботу до кінця заняття, дозволяється оформити звіт (графіки) з використанням комп’ютерних програм (Excel, Origin) до наступного заняття.
Лабораторна робота вважається виконаною після успішно проведеного захисту шляхом співбесіди студента з викладачем (захист звіту + оцінка за теоретичний матеріал).
Захист звіту: мета роботи + експериментальна методика + висновки.
Теоретичний матеріал: знання фізичних явищ, які вивчалися у даній лабораторній роботі (закони, формули).
Основний закон динаміки обертального руху має вигляд.
(14.1)
де М – момент, діючих на тіло сил; І – момент інерції тіла відносно осі, навколо якої відбувається обертання; – кутове прискорення обертання тіла.
У цій роботі використовується хрестоподібний маятник – маятник Обербека, який дозволяє визначити параметри обертального руху. Схема устаткування представлена на рисунку 14.1.

1 - стержні; 2 – втулка; 3 - шківи; 4 - тягарі; 5 – обруч; 6 - вантаж m0; 7 - держак.
Рисунок 14.1 - Маятник Обербека
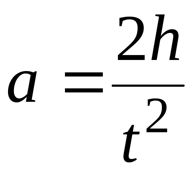
Хрестоподібний маятник складається з 4 стержнів (1), закріплених на втулці (2). Втулка яка переходить у шківи (3) з різними радіусами r, що знаходяться на осі маятника. Вісь закріплена так, що вся система обертається навколо горизонтальної осі. На стержнях установлені тягарі m, які можна переміщувати на різні відстані від осі обертання. Стержні скріпленні обручем (5). На один із шківів намотується шнур з вантажем m0 (6). При падінні m0 шнур розмотується з шківа. В устаткуванні застосована система механічного гальма яка дозволяє держаком (7) керувати початком руху m0, та його зупинкою. Шлях h, пройдений m0, вимірюють лінійкою.
Вимірюючи час t, протягом якого вантаж опускається на відстань h, можна знайти прискорення a:
.
(14.2)
Прискорення a пов`язане с кутовим прискоренням співвідношенням:
,
(14.3)
де r – радіус шківа, з якого розмотується шнур. Таким чином:
(14.4)
При рухові вантажу m0 на нього діють дві сили: сила ваги m0g та натяг шнура N, під дією яких вантаж падає з прискоренням а. Згідно другого закону Ньютона:
,
(14.5)
звідки
,
(14.6)
де g – прискорення вільного падіння. Під дією натягу шнура маятник виконує прискорене обертання. Момент сили, діючий на маятник
![]()
(14.7)
для устаткування, використаного у даній роботі
,
(0,003
м/с2
9,8 м/с2
)
тому
значенням
можна знехтувати. Тоді
.
(14.8)
Використовуючи (14.1), (14.4), (14.8) одержуємо:
.
(14.9)
З основного закону динаміки обертального руху (14.1) витікає, що кутове прискорення прямо пропорційне моменту сили при умові I=const
.
(14.10)
Щоб змінити момент сили потрібно до шнура підвішувати вантажі з різними масами, або переносити шнур з одного шківа на інший. Якщо момент сили постійний (M=const), то кутове прискорення обернено пропорційне моменту інерції:
.
(14.11)