Материал: Mekhanika_Ch1

Внимание! Если размещение файла нарушает Ваши авторские права, то обязательно сообщите нам

3.2 Вимірювання і визначення похибок

1. Висоту циліндра, конуса, або два ребра паралелепіпеда виміряти один раз.

2. Діаметр основи циліндра (конуса) або третє ребро паралелепіпеда ви­міряти три рази. Результати занести в таблицю.

3. Знайти середнє значення, величини діаметра, або ребра, а також відхилення від середнього значення для кожного вимірювання.

4. Розрахувати по одержаній робочій формулі густину даного тіла, підставляючи середні значення виміряних величин, і записати результат в кг/м3.

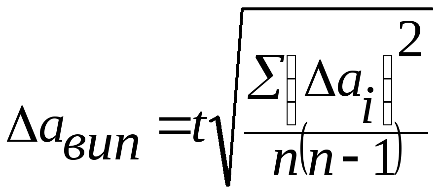
5. Визначити похибку прямих вимірювань діаметра або ребра за формулою:

, (3.10)

де t – коефіцієнт Ст’юдента, n – число вимірювань, ai – відхилення від середнього значення i - того вимірювання.

Таблиця 3.1

Циліндр

(Конус)

di, мм

Δdi, мм

(Δdi)2, мм2

h, мм

1

2

3

Таблиця 3.2

Паралелепіпед

ai, мм

Δai, мм

(Δai)2, мм2

b, мм

c, мм

1

2

3

6. Півширина довірчого інтервалу величини а, яка вимірюється декілька разів, визначається виразом:

, (3.11)

де = 0,05 мм – границя основної допустимої похибки штангенциркуля.

7. Півширина довірчого інтервалу одноразових вимірювань висоти (циліндра, конуса) або ребер (паралелепіпеда) визначається виразом:

, (3.12)

де α – довірча ймовірність, v – похибка відліку, v = 0,05 мм.

Довірчий інтервал m і необхідно визначити як для довідкових величин. Для цього довірчу ймовірність помножають на п’ять одиниць найменшого відкинутого розряду табличного числа.

8. Відносна похибка для циліндра та конуса розраховується за формулою:

, (3.13)

для паралелепіпеда:

. (3.14)

9. Визначити півширину довірчого інтервалу

. (3.15)

10. Записати кінцевий результат (висновок), застосувавши правила округлення.

11. Порівняти одержаний результат з табличними значеннями густини і визначити з якого матеріалу виготовлено зразок.

Висновок: експериментально визначена густина металевого зразка, яка дорівнює кг/м3 = ,

с довірчою імовірністю = , відносною похибкою = % .

Визначено, що зразок виготовлено із ….

Контрольні запитання

  1. Як Ви розумієте поняття вимірювання фізичної величини?

  2. Які вимірювання називають прямими, а які непрямими?

  3. В якому вигляді зазвичай записують результати вимірювань?

  4. Яку інформацію мас абсолютна похибка?

  5. Що такс відносна похибка?

  6. Які похибки відносять до систематичних?

  7. Які похибки відносять до випадкових?

  8. Які похибки відносять до грубих?

  9. Яку інформацію мас коефіцієнт Ст'юдепта, від яких параметрів він залежить?

  10. Запишіть та поясніть формулу для абсолютної похибки випадкових похибок прямих вимірювань?

  11. Запишіть та поясніть формулу для абсолютної похибки непрямих вимірювань?

  12. Якою величиною характеризується точність приладів? Дайте цій величині визначення, пояснення.

  13. Поясніть, скільки цифр треба залишати у записі середнього значення фізичної величини, скільки цифр треба залишати у записі абсолютної похибки?

  14. Що називають густиною тіла?

  15. До якого виду похибок відносять похибку штангенциркуля?

  16. У чому полягає процес вимірювання за допомогою ноніуса?

  17. Як побудований штангенциркуль?

  18. Розкажіть, як проводити вимірювання за допомогою штангенциркуля.

  19. Яку будову має мікрометр?

  20. Розкажіть, як проводити вимірювання за допомогою мікрометра.

  21. Для чого використовують у мікрометрі тріскачку?

  22. Як знайти абсолютну похибку при вимірюванні маси?

  23. Яка мета лабораторної роботи? Розкажіть про порядок виконання роботи.

  24. Чому в лабораторній роботі потрібно проводити вимірювання діаметра, висоти одним і тим самим інструментом щонайменше три рази?

  25. За якою формулою знаходять півширину довірчого інтервалу прямого вимірювання, виконаного декілька разів?

  26. За якою формулою знаходять півширину довірчого інтервалу, якщо пряме вимірювання зроблено один раз?

  27. Як знайти півширину довірчого інтервалу для табличної величини?

  28. Як одержати формулу відносної похибки, виходячи з робочої формули для густини?

  29. Як знайти випадкові відхилення для прямого вимірювання?

Таблиця 3.3 – Коефіцієнти Ст’юдента

Число вимірювань, n

Довірча ймовірність, α

0,4

0,5

0,6

0,7

0,8

0,9

3

0,62

0,82

1,06

1,4

1,9

2,5

5

0,57

0,74

0,99

1,2

1,5

2,1

0,52

0,67

0,84

1,0

1,3

1,6

4 Laboratory work № 1. Definition of a body density

AIM: To calculate the density of a body and errors of direct and indirect measurements.

INSTRUMENTS: Vernier callipers, parallelepiped.

4.1 System International units

A system of units, known as the System International (SI) units, is now used for all branches of physics. It is based on the meter as the unit of length, the kilogram as the unit of mass, the second as the unit of time, the ampere as the unit of electric current and the Kelvin as the unit of temperature. The unit of force in this system is the Newton and the unit of energy is the Joule.

For many years the meter (m) was taken as the distance between two lines on a particular platinum-iridium rod at 00 C kept near Paris. It is now defined as the length of a certain number of wavelengths in a vacuum of a particular orange radiation of the krypton-86 atom. Unlike the distance between the marks on the rod, the wavelength of the radiation from an atom is a constant. By definition,

1 m = 1650763.73 wavelengths of the above radiation.

The kilogram (kg) is the mass of a particular solid cylinder made of platinum-iridium alloy kept in Paris, known as the International Prototype Kilogram.

In practice, the following smaller units may also be used. The millimeter (mm), which is 1/1000 m. The centimeter (cm), which is 1/100 m The gram (g), which is 1/1000 kg. The second (s) was formerly 1/86400 th part of a mean solar day. This unit, used by astronomers, has now been replaced by an atomic unit. Atomic clocks are now used as standard clocks. Clock which measured the period of rotation of the earth to an exceptionally high order of accuracy and this showed clearly the irregularity in the rate of rotation of the earth. Cesium or atomic clocks are now used as standard clocks. The second is defined as the time for 9192631770 cycles of vibration of a particular radi­ation from the caesium-133 atom.

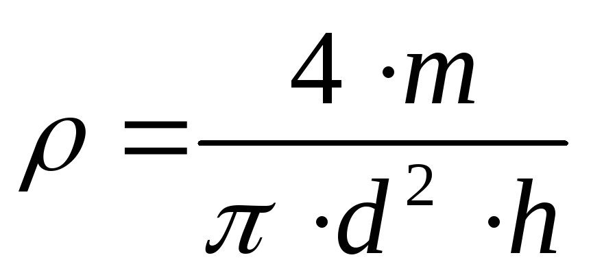
The mass per unit of volume of a substance is called its density:

, (4.1)

where m is the mass of the body and V is its volume. The volume of a parallelepiped equals to:

, (4.2)

where a, b, c are the width, the length and the height of the body. The volume of cylinder equals to:

, (4.3)

where d is the diameter of base of a cylinder; h is the altitude of a cylinder. Thus we can calculate the density of a parallelepiped with the formula:

(4.4)

Or the density of a cylinder with the formula:

(4.5)

where m is the given mass of the body.

Таблиця 3.4 – Густина твердих тіл

Речовина

ρ,103, кг/м3

Плексиглас

1,2

Алюміній

2,7

Цинк

7,1

Залізо

7,7÷7,9

Латунь

8,4 ÷8,7

Мідь

8,9

Срібло

10,5

Вольфрам

19,1

Інструкція складена доцентом кафедри фізики Корнічем В.Г.

Рецензент - доцент кафедри фізики Манько В.К.

Затверджена на засіданні кафедри фізики,

протокол № 3 від 01.12.2008 р.