Материал: LR_HM14_2018

Внимание! Если размещение файла нарушает Ваши авторские права, то обязательно сообщите нам

Рис. 6.Поліноміальні криві

Приклад 6. Програма використання поліноміальних кривих (результат на рис. 6).

x=linspace(0,1,100)';

pi=pimf(x[0.1 0.5 0.7 1.0]);

z=zmf(x[0.2 0.4]);

s=smf(x[0.6 0.8]);

xbasc();

plot2d(x,[pi z s],leg="pi@z@s");

xtitle("Shaped Member Functions Examples","x","mu(x)");

Символ “ ' ” у рядку визначення базової множини x показує транспонованість базової множини.

Крім розглянутих вище функцій, що дозволяють представляти нечіткі множини, в SciFLT можна формувати власні ФП або модифікувати вбудовані.

Операції над нечіткими множинами в модулі SciFlt

Виділяють три основні логічні операції з нечіткими множинами: кон'юнкцію, диз'юнкцію і логічне заперечення.

У модулі SciFLT існує можливість визначати кон'юнктивні і диз'юнктивні оператори різними методами.

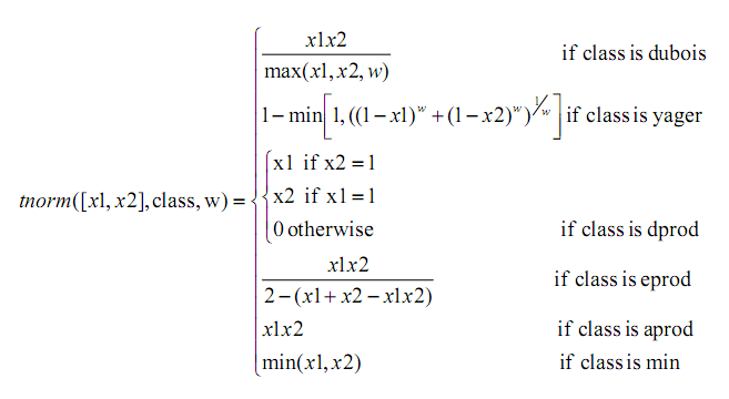
Кон’юнкція або T-норма є знаходженням логічного І і може бути представлена в програмі такими операторами:

Визначення функції: y= tnorm([x1, x2], class [,class_par]), де class – рядок, задає вид T-норми і може приймати наступні значення: «dubois» для T-норми Дюбуа-Прада, «yager» для T-норми Ягера, «dprod» для імовірнісного І, «eprod» для твору Енштейна, «aprod» для алгебраїчного твору і «min» для операції знаходження мінімуму; class_par – скалярна величина, яка використовується в T-нормах «dubois» і «yager».

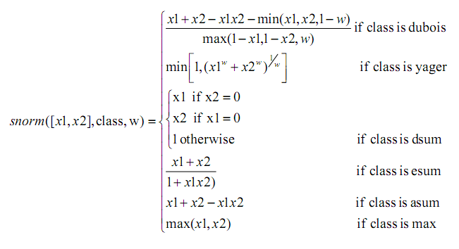
Диз'юнкція або S-конорма є логічною АБО і може бути знайдена за допомогою наступних операторів:

В изначення функції: y=snorm([x1, x2], class [,class_par]), class – рядок, що задає вид S-конорми і може приймати наступні значення: «dubois» для S- конорми Дюбуа-Прада, «yager» для S-конорми Ягера, «dsum» для імовірнісного АБО, «esum» для суми Енштейна, «asum» для алгебраїчної суми і «max» для операції знаходження максимуму; class_par – скалярна величина, яка використовується в S-конормах «dubois» і «yager».

Приклад 7. Програма використання операцій кон'юнкції і диз'юнкції

x=[0:0.1:10]';

y1=gaussmf(x[3 1.2]);

y2=gaussmf(x[7 1]);

yy1=tnorm([y1 y2],'min');

yy2=snorm([y1 y2],'max');

yy3=tnorm([y1 y2],'dprod');

yy4=snorm([y1 y2],'dsum');

xbasc();

subplot(3,1,1);

plot2d(x,[y1 y2],leg='mf1@mf2',rect=[0 -0.1 10 1.1]);

xtitle('Member Function Evaluation','x','mu(x)');

subplot(3,1,2);

plot2d(x,[yy1 yy3],leg='min@dprod',rect=[0 -0.1 10 1.1]);

xtitle('AND OPERATION','x','and(mf1,mf2)'); subplot(3,1,3);

plot2d(x,[yy2 yy4],leg='max@dsum',rect=[0 -0.1 10 1.1]);

xtitle('OR OPERATION','x','or(mf1,mf2)');

Символ “ ' ” у рядку визначення базової множини x показує транспонованість базової множини.

Рис. 7. Результати роботи програми з прикладу 7.

Мінімаксна інтерпретація є найбільш поширеною при побудові нечітких систем. Проте, на практиці досить часто використовується альтернативна імовірнісна інтерпретація кон'юнктивних і диз'юнктивних операторів.

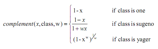
Доповнення нечіткої множини є не що інше, як математичне представлення вербального виразу “НЕ A”, де A – нечітка множина, що описує деяке розмите судження.

Опис функції доповнення: y=complement(x, class [,class_par] ), де class – рядок, що задає вид оператора доповнення і може приймати наступні значення: «one» – для звичайного доповнення, «sugeno» – для доповнення по формулі Сугено і «yager» – для формули Ягера; class_par – скалярна величина, яка використовується в S-конормах «sugeno» і «yager».

Математичний запис функцій доповнення наступний:

Приклад 8. Програма використання операції доповнення.

x=[0:0.1:10]';

y1=gaussmf(x[3 1.2]);

y2=complement(y1,’one’);

xbasc();

plot2d(x,[y1 y2],leg='mf1@Not_mf1',rect=[0 -0.1 10 1.1]);

xtitle('Member Function and Inverse','x','mu(x)');

Символ “ ' ” у рядку визначення базової множини x показує транспонованість базової множини.

Рис. 8. Функція доповнення

1.4. Контрольні запитання

  1. Поняття нечіткої множини та способи її завдання.

  2. Що таке функція приналежності?

  3. Міра нечіткості множини. Індекс нечіткості.

  4. Основні типи функцій належності.

  5. Методи побудови функції належності нечітких множин.

  6. Операції над нечіткими множинами.

  7. Нечіткі оператори (Т-норма, S- норма).

Лабораторна робота №2 Нечіткі числа і інтервали у формі (l-r)-функцій та операції над ними

2.1 Мета роботи

Метою заняття є вивчення методів представлення нечітких величин у формі нечітких чисел та інтервалів та ознайомлення з операціями над нечіткими числами та інтервалами (L-R)-типу.

2.2. Методичні вказівки з організації самостійної роботи студентів

Процес нечіткого моделювання ґрунтується на кількісному представленні вхідних і вихідних змінних системи у формі нечітких множин. Таке уявлення пов'язане з розглядом спеціальних нечітких множин, які задаються на множині дійсних чисел і мають деякі додаткові властивості. Найбільш загальним поняттям в цьому контексті є поняття нечіткої величини.

Найбільший інтерес для нечіткого моделювання представляє конкретизація нечіткої величини у формі нечітких чисел і інтервалів. Вони виявляються вельми зручним засобом для чисельних розрахунків значень відповідних функції приналежності при виконанні арифметичних операцій.

Нечіткі числа і інтервали, які найчастіше використовуються для представлення нечітких множин в нечіткому моделюванні, є нормальними. Проте самі визначення нечіткого числа і нечіткого інтервалу дуже загальні, що утруднює їх практичне використання. З обчислювальної точки зору зручно використовувати конкретніші визначення нечітких чисел і інтервалів у формі аналітичної апроксимації за допомогою так званих (L-R)-функцій. Отримані в результаті нечіткі числа і інтервали у формі (L-R)-функцій дозволяють охопити достатньо широкий клас конкретних функцій приналежності.

Для підготовки до лабораторної роботи слід опрацювати конспект лекцій за темою: «Нечіткі величини, числа, та інтервали» а також відповідний матеріал з переліку рекомендованої літератури [3, 5, 6, 7].

2.3. Методичні вказівки та короткі відомості щодо виконання лабораторної роботи

1. Виконати завдання 1, 2.

2. Оформити звіт за результатами лабораторної роботи та захистити його.

Завдання 1.

При аналізі продажів в чотирьох різних магазинах було встановлено:

  • магазин А забезпечує рівень продажів протягом місяця на суму від 40 до 100 тис. у. о. залежно від попиту, але з найбільшою вірогідністю можна чекати суму продажів від 50 до 70 тис. у. о.;

  • магазин В надійно забезпечує високий рівень продажів на суму від 100 до 110 тис. у. о. в місяць;

  • магазин С ненадійний і забезпечує рівень продажів не більше 20 тис. у. о. в місяць;

  • витрати магазину D складуть близько 50 – 100 тис. у. о., але найбільш вірогідна виплата 80 тис. у.  е.

Таким чином, маємо три джерела доходів і одне джерело витрат. Побудуємо на основі їх описів трапецієвидні функції приналежності для кожної з чотирьох нечітких змінних (табл. 1).

Таблиця 1. Інтерпретація нечітких змінних

Джерела доходу

Функція приналежності

Трапецієвидний нечіткий інтервал

Магазин А

1

40 50 70 100

А=(50, 70, 10, 30)

Магазин В

100 110

В=(100, 110, 0,0)

Магазин С

1

0 20

С=(0, 0, 0, 20)

Магазин D

50 80 100

D=(80, 80, 30, 20)

Після формалізації всіх нечітких змінних, постає завдання визначення суми всіх доходів від продажів, яка також буде нечіткою величиною. Для цього треба вміти виконувати прості арифметичні операції над нечіткими змінними.

Визначення цих операції розглянемо для випадку двох нечітких змінних і (трапецієвидних нечітких інтервалів), які задані параметрично у вигляді:

;

.

Результатом операції буде також трапецієвидний нечіткий інтервал (ТНІ) , параметри якого визначаються залежно від типу арифметичної операції (табл. 2).

Таблиця 2. Арифметичні операції

Операція

Значення параметрів ТНІ

; ; ;

; ; ;

; ; ;

; ; ;