Материал: LK_3

Внимание! Если размещение файла нарушает Ваши авторские права, то обязательно сообщите нам

Класифікація систем виробничого освітлення

2 За конструкцією

природне бічне

(одностороннє) (двостороннє)

верхнє

комбіноване.

Класифікація систем виробничого освітлення

Суміщене

освітлення –

коли до

природного

додається штучне.

На рівень освітленості приміщення при

природному освітленні впливають

світловий клімат;

площа та орієнтація світлових отворів;

ступінь чистоти скла в світлових отворах;

пофарбування стін та стелі приміщення,

глибина приміщення;

наявність предметів, що заступають вікно

як зсередини, так і ззовні приміщення.

Нормування і розрахунок природного

освітлення

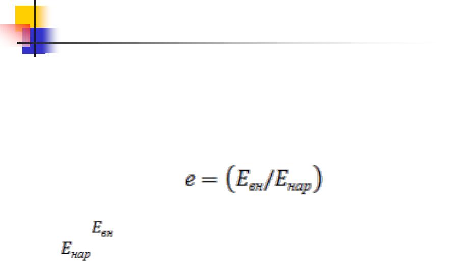
Коефіцієнт природної освітленості (КПО) е являє собою відношення освітленості природним світлом який-небудь точки всередині приміщення до значення зовнішньої освітленості горизонтальної поверхні, що освітлюється дифузним світлом повністю відкритого небосхилу (не прямим сонячним світлом) і виражається у відсотках:

де - освітленість якої-небудь точки всередині приміщення;

- освітленість точки поза приміщенням.