Материал: LK_3

Внимание! Если размещение файла нарушает Ваши авторские права, то обязательно сообщите нам

Охоронне освітлення

Охоронне освітлення влаштовують уздовж кордонів територій, що охороняються спеціальним персоналом. Найменша освітленість в нічний час 0,5 лк.

Сигнальне освітлення застосовують для фіксації кордонів небезпечних зон; воно вказує на наявність небезпеки, або на безпечний шлях евакуації.

Проектування та розрахунок штучного

освітлення виробничих примiщень

1. Обирається система освiтлення.

2. Штучне освiтлення проектується двох систем: загальне та комбiноване Система загального освiтлення застосовується у виробничих примiщеннях з невисоким рiвнем освiтленостi (до 150 лк, V – VIII розряд зорових робiт).

3. В примiщеннях з I-IV розрядом зорових робiт слiд застосовувати, як правило, систему комбiнованого освiтлення. Передбачати для них систему загального освiтлення допускається при технiчної неможливостi або недоцiльностi мiсцевого освiтлення.

4. Обираються нормованi параметри освiтлення (освiтленiсть, якiснi показники освiтлення: коефiцiєнт пульсації, коефiцiєнт нерiвномiрностi освiтлення) згiдно СНиП II-4-79.

5. Обирається тип джерела свiтла та тип свiтильника.

Методи розрахунку штучного освітлення

Метод коефіцієнта використання світлового потоку.

Світловий потік (лм) однієї лампи або групи люмінесцентних ламп

 

одного світильника

 

 

E Szk

 

 

 

 

F

 

 

3

 

 

 

 

 

н

 

 

 

 

 

 

 

 

 

 

 

 

 

 

л

 

 

Nn

 

 

 

 

 

 

 

 

 

u

 

 

 

де Ен - нормована мінімальна освітленість за СНиП 23-05-95, лк;

S - площа освітлюваного приміщення, м2; z - коефіцієнт

 

нерівномірності освітлення, зазвичай z = 1,1 -1,2;

- Коефіцієнт

 

запасу, що залежить від виду технологічного процесу і типу

 

застосовуваних джерел світла, звичайно

= 1,3 -1,8; п - число

 

світильників у приміщенні;

N -

 

число

ламп у

світильнику, -

коефіцієнт використання світлового потоку (від 20% до 80%), він залежить а) від типу світильника;

б) коефіцієнта відбиття від стін, стелі, підлоги і робочих поверхонь

в) індексу приміщення І: I = A * B / Hр * (А + В)

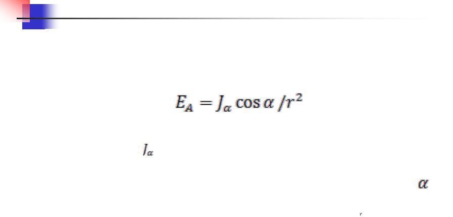
Точковий метод

Для перевірочного розрахунку місцевого освітлення, а також для розрахунку освітленості конкретної точки похилій поверхні при загальному локалізованому освітленні застосовують точковий

метод.

де - освітленість горизонтальної поверхні в розрахунковій точці А, лк; - Сила світла в напрямку від джерела до

розрахункової точці А; визначається за кривою розподілу світлового потоку обираного світильника і джерела світла; -кут між нормаллю до поверхні, якій належить точка, і напрямом вектора сили світла в точку А; r-відстань від світильника до точки А, м.