Анализ полученных соотношений для определения пороговой энергии накачки и выходной энергии моноимпульса рубинового лазера, работающего в режиме модулированной добротности с фототропным затвором, показывает, что они могут быть использованы и для проведения инженерных оценочных расчетов при определении выходной энергии излучения рубинового лазера в режиме свободной генерации [4].
Относительная инверсная населенность уровней в процессе генерации осциллирует около среднего значения, соответствующего пороговому уровню. На основании этого можно записать, что общее число индуцированных переходов за время накачки в единице объема активного элемента
,
(2.48)
а энергия, выделяющаяся в резонаторе,
,
(2.49)
где
-
производная относительной инверсной
населенности по энергии накачки;
– значение производной при энергии
накачки, соответствующей пороговому
уровню. Для определения значения
производной представим выражение (2.12)
в виде
,
(2.50)
где коэффициент Н определяется (2.37). После дифференцирования (2.50) получаем
.
(2.51)
Подставляя
(2.52)
в (2.51), получаем
.
(2.53)
Энергия, выделяющаяся в резонаторе, с учетом (2.41), (2.52) и (2.53) определяется зависимостью
.
(2.54)
Зная энергию, выделяющуюся в резонаторе, и энергетический коэффициент связи В, можно подсчитать выходную энергию излучения:
.
(2.55)
В рассматриваемом случае энергетический коэффициент связи (из (2.9) при t =1)
.
(2.56)
Откуда
.
(2.57)
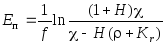
Тогда окончательная формула для проведения оценочных расчетов выходной энергии излучения рубинового лазера в режиме свободной генерации имеет вид
Евых=b(Ен-Еп) , (2.58)
где
,
а пороговая энергия накачки
.
(2.59)
Проанализировать механизм создания инверсных населенностей в трехуровневых схемах. Определить зависимость населенностей уровней от плотности (интенсивности) возбуждающего излучения накачки.
Зарисовать схему энергетических уровней рубинового лазера. Описать принцип работы лазера на рубине.
Описать работу лазера в режиме модулированной добротности.
Рассчитать пороговую энергию накачки, выходную энергию и среднюю за время импульса мощность излучения твердотельного лазера на рубине, работающего в режиме модулированной добротности с пассивным затвором при использовании водяного охлаждения.
Рассчитать выходную энергию излучения и пороговую энергию накачки твердотельного лазера на рубине, работающего в режиме свободной генерации. Энергию накачки выбрать из условия Ен =(1,5–3,5)Еп.
При расчете принять: m=4; g1=4; g2=2; nR1=4,3209×1014Гц; nR2=4,3296×1014Гц; mэ=1,76; mкв=1,5; mср=1,35; k=1,38×10-16эрг×град-1; кс=7,85;× lв=0,6943×10-4см; Т=300К.
Параметры лазера представлены в таблице 3.1
Таблица 3.1 – Параметры лазера
|
Вариант |
lэ, см |
dэ, см |
lа, см |
L, см |
Zp |
s21, 10-20 см2 |
R31 |
t0 |
t |
b |
qсв |
|
1 |
6 |
0,45 |
5,6 |
18 |
0,030 |
2,1 |
0,29 |
0,21 |
0,80 |
0,385 |
0,554 |
|
2 |
6,5 |
0,46 |
6,1 |
19 |
0,031 |
2,2 |
0,30 |
0,22 |
0,81 |
0,390 |
0,559 |
|
3 |
7 |
0,47 |
6,6 |
20 |
0,032 |
2,3 |
0,31 |
0,23 |
0,82 |
0,393 |
0,565 |
|
4 |
7,5 |
0,48 |
7,1 |
21 |
0,033 |
2,4 |
0,32 |
0,24 |
0,83 |
0,395 |
0,569 |
|
5 |
8 |
0,49 |
7,6 |
22 |
0,034 |
2,5 |
0,33 |
0,25 |
0,84 |
0,397 |
0,575 |
|
6 |
8,5 |
0,5 |
8,1 |
23 |
0,035 |
2,6 |
0,34 |
0,26 |
0,85 |
0,385 |
0,579 |
|
7 |
9 |
0,51 |
8,6 |
24 |
0,036 |
2,7 |
0,29 |
0,27 |
0,86 |
0,390 |
0,554 |
|
8 |
9,5 |
0,52 |
9,1 |
25 |
0,037 |
2,8 |
0,30 |
0,28 |
0,87 |
0,393 |
0,559 |
|
9 |
10 |
0,53 |
9,6 |
26 |
0,039 |
2,9 |
0,31 |
0,29 |
0,88 |
0,395 |
0,565 |
|
10 |
6 |
0,54 |
5,6 |
18 |
0,040 |
2,1 |
0,32 |
0,30 |
0,89 |
0,397 |
0,569 |
|
11 |
6,5 |
0,55 |
6,1 |
19 |
0,030 |
2,2 |
0,33 |
0,21 |
0,80 |
0,385 |
0,575 |
|
12 |
7 |
0,45 |
6,6 |
20 |
0,031 |
2,3 |
0,34 |
0,22 |
0,81 |
0,390 |
0,579 |
|
13 |
7,5 |
0,46 |
7,1 |
21 |
0,032 |
2,4 |
0,29 |
0,23 |
0,82 |
0,393 |
0,554 |
|
14 |
8 |
0,47 |
7,6 |
22 |
0,033 |
2,5 |
0,30 |
0,24 |
0,83 |
0,395 |
0,559 |
|
15 |
8,5 |
0,48 |
8,1 |
23 |
0,034 |
2,6 |
0,31 |
0,25 |
0,84 |
0,397 |
0,565 |
|
16 |
9 |
0,49 |
8,6 |
24 |
0,035 |
2,7 |
0,32 |
0,26 |
0,85 |
0,385 |
0,569 |
|
17 |
9,5 |
0,5 |
9,1 |
25 |
0,036 |
2,8 |
0,33 |
0,27 |
0,86 |
0,390 |
0,575 |
|
18 |
10 |
0,51 |
9,6 |
26 |
0,037 |
2,9 |
0,34 |
0,28 |
0,87 |
0,393 |
0,579 |
|
19 |
6 |
0,52 |
5,6 |
18 |
0,039 |
2,1 |
0,29 |
0,29 |
0,88 |
0,395 |
0,554 |
|
20 |
6,5 |
0,53 |
6,1 |
19 |
0,040 |
2,2 |
0,30 |
0,30 |
0,89 |
0,397 |
0,559 |
|
21 |
7 |
0,54 |
6,6 |
20 |
0,030 |
2,3 |
0,31 |
0,21 |
0,80 |
0,385 |
0,565 |
|
22 |
7,5 |
0,55 |
7,1 |
21 |
0,031 |
2,4 |
0,32 |
0,22 |
0,81 |
0,390 |
0,569 |
|
23 |
8 |
0,45 |
7,6 |
22 |
0,032 |
2,5 |
0,33 |
0,23 |
0,82 |
0,393 |
0,575 |
|
24 |
8,5 |
0,46 |
8,1 |
23 |
0,033 |
2,6 |
0,34 |
0,24 |
0,83 |
0,395 |
0,579 |
|
25 |
9 |
0,47 |
8,6 |
24 |
0,034 |
2,7 |
0,29 |
0,25 |
0,84 |
0,397 |
0,554 |
|
26 |
6 |
0,51 |
6,6 |
20 |
0,032 |
2,5 |
0,30 |
0,26 |
0,85 |
0,390 |
0,559 |
|
27 |
6,5 |
0,52 |
7,1 |
28 |
0,039 |
2,6 |
0,31 |
0,27 |
0,86 |
0,385 |
0,565 |
|
28 |
7 |
0,53 |
7,6 |
22 |
0,034 |
2,7 |
0,32 |
0,23 |
0,87 |
0,393 |
0,554 |
|
29 |
7,5 |
0,54 |
8,1 |
23 |
0,035 |
2,8 |
0,33 |
0,29 |
0,88 |
0,397 |
0,575 |
|
30 |
8 |
0,55 |
8,6 |
24 |
0,036 |
2,9 |
0,34 |
0,30 |
0,89 |
0,390 |
0,559 |
Рассчитаем выходную и пороговую энергии твердотельного лазера на рубине, работающего в режиме модулированной добротности с пассивным затвором. Лазер имеет следующие параметры: lэ=7,5 см; dэ=0,52 см; lа=6,6 см; L=21 см; m=4; l=0,6943×10-4 см; Zр=0,035; s21=2,5×10-20 см2; nR1=4,3209×1014 Гц; nR2=4,3296×1014 Гц; g1=4; g2=2; R31=0,32; t0=0,27; t=0,84; b=0,393; qсв=0,569, Т=300К. Коэффициенты и постоянные, используемые при расчете, имеют следующие значения: k=1,38×10-16 эрг×град-1; mэ=1,76; mкв=1,5; кс=7,85; mср=1,35. Используется водяное охлаждение.
1
Определение потерь на излучение при
закрытом затворе
.
Коэффициент отражения торца активного
элемента определяется по формуле (2.18)
.
(4.1)
Коэффициент отражения от передней грани переключателя добротности (2.19)
.
(4.2)
Коэффициент отражения выходного зеркала с учетом интерференционных явлений (2.17)
.
(4.3)
Коэффициент отражения (2.16)
.
(4.4)
Потери
на излучение (2.14)![]()
(4.5)
2 Определение потерь на излучение при открытом затворе (2.15) (в расчете используются данные, полученные в п.1):
.
(4.6)
3 Расчет пассивных потерь в резонаторе. Пассивные потери, обусловленные линзовым эффектом в активном элементе (2.45),
(4.7)
Потери, обусловленные поглощением в активном элементе (2.46б),
.
(4.8)
Пассивные потери в резонаторе (2.47)
.
(4.9)
4 Полные потери в резонаторе при закрытом затворе (2.3а)
.
(4.10)
5 Полные потери в резонаторе при открытом затворе
Kпот=r+Krи=0,049+0,051=0,10 см-1. (4.11)
6 Определение отношения максимальной относительной инверсной населенности к минимальной. Отношение между полными потерями в закрытом резонаторе
Kr = K0пот / Kпот = 0,15/0,10 =1,5. (4.12)
По графику (рис.2.3) находим ln z=0,82, откуда
![]()
.
(4.13)
7 Определение предельного коэффициента усиления. Концентрация активатора (2.41)
n0 =4,55×1020 Zp= 4,55×1020 ×0,035 = 1,6×1019 см-3. (4.14)
Искомое значение (2.21а)
c =s21×n0 = 2,5×10-20×1,6×1019 = 0,4 см-1 . (4.15)
8 Максимальная относительная инверсная населенность (2.30)
dmax= d0 = К0пот /c = 0,15 / 0,4 = 0,375 . (4.16)
9 Минимальная относительная инверсная населенность (2.33)
dmin = d0 / z = 0,375/ 2,27 = 0,165 . (4.17)
10 Определение коэффициента Н. По формуле (2.37) находим
(4.18)
11 Определение максимальной относительной инверсной населенности уровней периферийной части активного элемента. Выражение (2.36) можно представить в виде
=d0пф
=(Ky
- 0,5А)
/ (А+2HKy)
. (4.19)
Коэффициент Ky при жидкостном охлаждении (mср=1,3–1,4) может быть определен по формуле (2.39):
Ky = 0,559;
.
(4.20)
Тогда
d0пф = (0,559-0,5×0,341)/ (0,341+2×0,935×0,559) = 0,28 . (4.21)
12 Эффективная площадь генерирования активного элемента (2.35)
(4.22)
13 Энергетический коэффициент связи между выходной энергией импульса излучения и полной энергией, выделяемой в резонаторе,
![]()
![]()
![]()
![]()
(4.23)
14
Выходная энергия (2.42)
Евых=65,2ZрSэф lа(d0-dmin)/B =
=65,2×0,035×0,146×6,6(0,375-0,165)/2,69=0,173 Дж . (4.24)
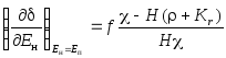
15 Определение пороговой энергии накачки. Функция накачки активного элемента вычисляется по формуле (2.29)
. (4.25)
Фактор связи (2.27)
.
(4.26)
Полученные данные позволяют определить пороговую энергию (2.43)
.
(4.27)
По формулам (2.44), (2.45) определяем длительность импульса и среднюю за импульс мощность излучения.