
R
I
Взаимоиндукция - это явление возникновения электрического тока в соседнем проводнике при изменении магнитного поля соседнего
Энергия магнитного поля -может быть вычислена через работу сил самоиндукции:
Введя понятие плотности
магнитного поля( по аналогии с полем электрическим ) как энергию единицы объёма поля получим:
.
5.2. ФС переменные токи Особенности переменного синусоидального тока. Закон Ома для переменного тока в общем случае. Мощность переменного тока.
Анализируемая ФС: Электромагнитное поле в динамическом режиме |
от |
источника гармонического типа. В проводнике первого рода поле, распространяясь, взаимодействует со свободными электронами. В отличии от постоянного тока, электроны совершают также гармонические колебательные движения.
По закону электромагнитной индукции Фарадея ЭДС для витка, вращающегося в постоянном магнитном поле с угловой скоростью
:
.Колебания напряжения на клеммах источника возбуждает в проводнике волну напряжённости электрического поля
Закон Ома в дифференциальной форме
=
даёт основания полагать, что в любом сечении проводника ток будет также гармонической функцией времени. Запишем формально для тока:
. Это переменный синусоидальный ток. Какими новыми свойствами обладает этот ток по сравнению с постоянным?
Дополнительное предположение. 1. Электромагнитная волна поля имеет период
, ток считается квазистационарным, если время распространения поля (тока) по всей цепи
.
2.Введём параметр падение напряжения на источнике |
вместо э.д.с. |
3.Примем так же, что типичные электрические сети могут быть сведены к трём элементам: активным сопротивлениям R, ёмкостям C и индуктивностям L.
Анализ системы сводится к нахождению закономерностей и связей параметров системы
с параметрами элементов R,C,L.
Рассмотрим последовательно поведение переменного тока в простейших электрических цепях с элементами R,C,L.
1 .Активное сопротивление R в цепи переменного тока.
Прежде всего выясним (в базе данных), что представляет собой активное сопротивление проводника первого рода: сопротивление цилиндрического проводника
зависит от
типа материала (
, длины и поперечного сечения и не зависит от параметров поля и тока. Пусть напряжение источника меняется как U(t)=
t
t 
R
. Закон имеет вид, аналогичный
постоянному при условии квазистационарности. Напряжение и ток изменяются в фазе (∆
), т.е. одновременно принимают свои max и min значения.
Мгновенные значения: U(t)=
t;
.
2. |
2.Ёмкость в цепи переменного тока. |
t. Заряд на ёмкости |
|
|
|
С |
|
|
|
||||
|
Напряжение оставим прежним U(t)= |
|
|
|
||
|
|
|
|
|||
|
(по определению ёмкости). Тогда ток |
|
|
|
|
|
|
|
|
|
|
||
Особенности переменного тока в цепи с ёмкостью.
1)
-–ёмкость обладает сопротивлением переменному току. Постоянному току -
разрыв цепи.
2)
3) Мгновенные значения: U(t)=
t;
.
3.Индуктивность (идеальная)
в цепи переменного тока.
L
Выразим |
ток |
и |
проинтегрируем |
по |
времени |
Особенности индуктивности переменному току:
1)
- дополнительное сопротивление только переменному току.
2)
3)Мгновенные значения: U(t)=
t;
.
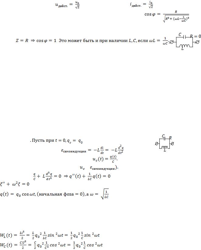
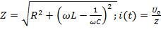
Теперь включим в цепь переменного тока все элементы: постоянное сопротивление, индуктивность и емкость:
Нужно выразить результирующие напряжение через падение напряжения на каждом элементе. Ток при последовательном соединении одинаков, а напряжения сдвинуты
по фазе. Учесть этот сдвиг можно:
1) приписав скалярам напряжений векторный характер
2)
на каждом элементе
U(t) = |
+ |
- |
[R cos |
- |
В |
|
|
|
|
Сначала находи |
|
, Затем слижили с |
. |
|
U(t)=i(t)
cos (
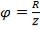
Сдвиг по фазе между током и напряжением :
tg
; или cos
. Здесь
Векторная диограмма напряжений.
Сложение |
мгновенных |
значений |
производим |
по |
формуле: |
cos
. Конечный результат аналогичный:
U(t)=i(t)
Здесь
cos (
Сдвиг по фазе между током и напряжением : cos
.
Мощность в цепи переменного тока. Коэффициент мощности
Пусть у нас есть цепь, содержащая все элементы, то есть рассмотрим общий случай. Тогда: при
,
.
Мощность в цепи переменного тока это произведение тока на напряжение, то есть
Первое слагаемое |
не зависит от времени, это активная мощность . |
|
|||||
Второе слагаемое |
|
зависит от времени, это реактивная мощность |
|
||||
Средняя |
мощность |
за |
период |
равна |
активной |
составляющей |
– |
|
|
|
. |
|
|
|
|
То есть |
|
. |
|
|
|
|
|
С понятием средней мощности связаны некоторые тонкости. |
|
|
|
||||
Во-первых, все приборы построены таким образом, что они измеряют
действующее напряжение |
, аналогично с током – |
. |
Во-вторых, существует такое понятие, как коэффициент мощности – |
. |
|
Он изменяется от 0 до 1. Он показывает, какую максимальную часть мы можем отобрать от источника и использовать на нагрузке (превратить в другие виды энергии).
a) Если
б) Если в цепи только ёмкость или идеальная (R=0) индуктивность, тогда :
Cos
в) Пусть у нас есть идеальный колебательный контур, тогда ток на индуктивности и ёмкости противофазный (
). Максимумы тока (магнитного поля) на индуктивности и напряжения
(электрического поля) на конденсаторе разнесены по времени ровно на пол периода Эта противофазность – необходимое условие возникновения в цепи колебаний.
Раздел 6. Электромагнитные колебания и волны.
6.1. Колебательный контур. Вихревое электрическое поле. Ток смещения. Основные положения теории Максвелла. Электромагнитные волны и их свойства.
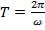
Рассматриваемая ФС в некотором смысле обратна системам исследованных выше: элементы системы в начальный момент находятся в состоянии, способном воспроизвести поля и токи, изменяющиеся во времени.
Модель ФС.
Рассмотрим колебательный контур из идеальных
элементов L,C . Начало разряда конденсатора
сопровождается возникновением
и изменением напряжения на конденсаторе
Применим второе правило Кирхгофа ( |
= |
Следовательно, |
- каноническая форма закона колебания |
. Заряд изменяется по гармоническому закону:
, собственная частота колебательного
контура.
Ток и напряжение ведут себя следующим образом:
,
.
Получим изменение энергии системы в функции времени.(энергетическое состояние системы)
Следовательно,
Суммарная электромагнитная энергия
в идеальном контуре постоянна.
В таком контуре происходят незатухающие гармонические колебания, при этом энергия магнитного поля преобразуется в энергию электрического поля и обратно. При этом, отметим, в пространстве между обкладками конденсатора нет токов проводимости, а цепь токов ведёт себя
как замкнутая, что и способствует возникновению магнитного поля. Рассмотрим это явление подробнее. Как было сказано выше, ток -это упорядоченное движение зарядов. Для токов не обязательно наличие проводников. Например, поток электронов в вакууме также образуют ток.
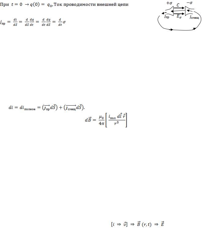
Что выполняет роль тока между обкладками конденсатора, где нет движущихся зарядов? Рассмотрим заряженный конденсатор (например, плоский)
Плотность тока проводимости
По теореме Остроградского-Гаусса между обкладками возникает электрическое поле напряжённости:
.
Следовательно,
.
То есть, линии тока проводимости внешней цепи плавно переходит в линии вектора
внутри конденсатора. Их размерности одинаковы и величина
. был названа Максвеллом
током смещения
. Максвеллом было также показано, что ток смещения по
свойству порождать магнитное поле не отличается от такого же по величине тока проводимости. Следовательно, источниками возникновения магнитного поля следует считать оба тока:
Закон Био-Савара-Лапласа примет вид:
.
Уравнения Максвелла и их физический смысл
Джеймс Кларк Максвелл обобщил известные к тому времени экспериментальные и теоретические данные об электрических и магнитных полях в виде нескольких математических соотношений, известных как «уравнения Максвелла». Введённое им понятие «тока смещения», воспринимается как теоретическое открытие, позволившее Максвеллу дать полную картину электромагнитного поля в форме единой физической системы. Выше мы рассматривали отдельные фрагменты этой системы и находили частные связи между ними.
1.Электро-магнитостатика.
–неподвижные заряды порождают в своей системе только электрическое поле:
;
неподвижные токи порождают только магнитные поля:
2.Электро- и магнито - динамика (движущаяся система или источники).
–движущиеся заряды порождают оба поля: 
– движущиеся токи порождают оба поля: |
(r,t) |
Максвелл объединяет электростатику и электродинамику в одну систему уравнений.
1.Из закона электромагнитной индукции Фарадея,
получим первое уравнение Максвелла:
.