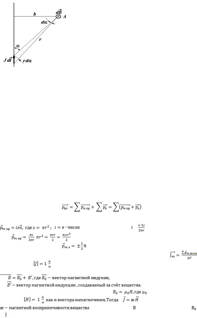
dB o |
|
|
|
|
||
J dl |
r |
|||||
|
|
|
|
|
|
|
|
4 |
|
r 3 |
|
|
|
|
|
||||
где о=4 ∙10–7 Тл∙м/А – магнитная постоянная, характерная для СИ, |
|||||
|
|
|
|
|
|
J – ток в проводнике, dl |
имеет такой же смысл, |
как и в законе |
|||
|
|
|
|
|
|
Ампера, |
r – |
радиус-вектор, проведенный |
из элемента |
||
|
|
|
|
|
|
dl проводника |
в точку |
А пространства, где |
определяется |
||
магнитное поле.
Нетрудно заметить, что линии вектора индукции линейного тока, имеют вид концентрических окружностей с центром на проводнике тока
4.2. Магнитное поле в веществе. Магнитный момент атома. Магнитная проницаемость вещества. Современная теория диа-, пара- и ферромагнетизма.
В этом разделе переходим к исследованию системы, представляющей некоторое вещество, помещённое во внешнее магнитное поле. Таким образом, ФС состоит из двух подсистем: магнитное поле и вещество.
Дополнительных свойств и параметров магнитного поля на начальном этапе не вводим. Магнитное поле полагается статическим и характеризуется в каждой точке пространства параметром
вектором индукции. Для подсистемы «Вещество» введем дополнительные параметры.
Магнитные свойства вещества зависят от магнитных свойств его атомов и молекул.
Атом это система заряженных частиц, находящихся в движении и, следовательно, способных создавать собственное магнитное поле. Так орбитальное вращение электронов можно рассматривать как замкнутый ток, характеризуемый магнитным моментом.
1.Орбитальный магнитный момент – это физическая величина, равная
Момент атома складывается из векторной суммы орбитальных и спиновых магнитных моментов:
Выразим орбитальный магнитный момент атома:
|
|
|
оборотов по орбите за 1с. |
=e |
; |
|
Тогда |
|
. |
|
|
|
|
2. |
Спиновый магнитный момент |
. |
|
|
|
|
3. |
Вектором намагничения характеризуют магнитный момент единицы объёма вещества: |
, --. |
||||
|
Размерность |
- |
|
|
|
|
4. |
По принципу суперпозиции: |
|
|
|
|
|
|
|
|
внешнего магнитного поля, |
|
||
5. |
Введём величину – напряженности магнитного поля Н: |
|
- магнитная постоянная. |
|
||
Размерность |
|
|
. |
Здесь |
|
|
|
|
|
. Результирующее поле |
, таким образом, зависит и от |
и |
|
от |
|
|
|
|
|
|
Запишем эту зависимость в одной размерности: |
+ = (1+ ) .Тогда: |
где
магнитная проницаемость вещества, она показывает во сколько раз магнитное поле в присутствии вещества больше, чем магнитное поле в вакууме:
Формальная классификация магнитных свойств веществ.
1. В результате эксперимента может быть получена 
Такие вещества – диамагнетики. Например, золото, серебро, сера, фосфор.
2. В результате эксперимента может быть получена 
Такие вещества – парамагнетики. Например, щелочные металлы и кислород. 3. В результате эксперимента может быть получена 
Такие вещества – ферромагнетики. Например, железо, кобальт, никель.
Современное объяснение магнитных свойств веществ
Современная теория магнитных свойств вещества основывается на квантовых принципах.
1. Принцип Паули.
«В одной квантовой системе не может быть даже двух электронов с одинаковым набором квантовых чисел».
1. Главное квантовое число n характеризует общую энергию электрона и размер орбиты. Оно принимает
целочисленные значения от 1: n = 1, 2, 3, 4, 5, 6, 7. |
2. Орбитальное квантовое |
число l характеризует форму атомной орбиты и принимает значения от 0 до n-1: 0, 1, 2, 3, …, n-1. |
|
3. Магнитное квантовое число m характеризует количество орбит одинаковой формы и их ориентацию относительно внешнего электрического или магнитного поля. Квантовое число m принимает целочисленные значения в интервале –l, … –1, 0, +1, … +l. Для каждого значения разрешено 2l+1 значений числа m. 4. Спиновое квантовое число s характеризует вращение электрона вокруг своей оси и принимает только 2 значения: +1/2 (↑) и –1/2 (↓).
2. Квантование орбитальный магнитных моментов.
Внешними силами нельзя изменять произвольно взаимную ориентацию орбит, которая определяется магнитным квантовым числом m
Но ориентацию вектора магнитного момента атома изменить можно.
Что же произойдет, если атом вещества поместить в магнитное поле?
Так как внешними силами изменить взаимное расположение орбит нельзя, но магнитное поле, тем не менее, будет действовать на движущиеся заряды атомов. Возможны варианты;
1)
возможна ориентация атома как целого, так что его магнитный момент повернётся по полю.
период (частота
) обращения на орбитах
меняется: ∆ 
Возникающий дополнительный магнитный момент будет направлен против индукции поля, его порождающего. (Возникает прецессия вектора орбитального магнитного момента, которое можно представить как дополнительное вращение электрона)
1. Диамагнетики
Единственное действие магнитного поля на орбиту влечет за собой изменение частоты вращения.
– это диамагнитный эффект. Он присущ всем
орбитам и атомам. Результирующее магнитное поле будет
Необходимым условием
является чётность электронов в атоме, что соответствует парной компенсации спиновых магнитных моментов.
2. |
Парамагнетики |
|
|
Достигается за счёт: |
иамагнитного эффекта |
; 2) ориентации атома |
|
Результирующее |
магнитное |
поле будет |
, если эффект ориентации больше |
диамагнитного. |
|
|
|
Золото, серебро, сера, - таким свойством обладают. |
|
||
3. |
Ферромагнетики |
|
|
У железа Fe имеется 4 не скомпенсированных спиновых магнитных момента. У кобальта Co – 3, а у никеля Ni – 2. В таких системах целые области имеют одинаковые ориентации спиновых магнитных моментов атомов. Эти области называют - доменами. В доменах энергетически
выгодна такая ориентация, если выполняется условие формы
. Здесь d-расстояние
между атомами; R-радиус не скомпенсированных орбит. Для Fe, Co, Ni условие формы выполняется.
Если
, то домены не образуются.:
Атомы такого вещества имеют магнитный момент отличный от нуля как за счет орбитального момента , так и спинового. За счет теплового движения ориентация доменов может быть хаотичной и не проявляет себя. В магнитном поле получаем следующие эффекты:
1.Диамагнитный эффект 
2.Ориентация атома 
3.Ориентация доменов (сильнее 1 и 2
).
Последнее явлений на несколько порядков превосходит два первых, которые могу быть без ущерба опущены.
При снятии внешнего поля, ориентация доменов сохраняется.
Чтобы «размагнитить» ферромагнетик нужно приложить магнитное поле противоположного направления, или нагреть до характерной температуры (точка Кюри).В настоящее время получены сотни самых
разнообразных сплавов, смесей и композитов со свойствами ферромагнетиков с
.
С развитием нанотехнологий получения метаматериалов, получены образцы с уникальными магнитными
свойствами.
Метаматериа́л — композит, имеющий свойства, не встречающиеся в природе, в частности имеющий отрицательную диэлектрическую и магнитную проницаемости, право- и левостороннее преломление и др.
В частности, было показано, что пластина из материала с отрицательным коэффициентом преломления обладает свойством фокусировать прошедшее электромагнитное излучение. Данное научное направление находится в стадии развития, Одно из наиболее привлекательных приложений электродинамики метаматериалов состоит в реализации концепции «невидимости». Невидимость достигается особым способом искривления волновых фронтов излучения внутри метаматериала и вблизи него. В результате, пройдя объект, волновые фронты принимают такое же положение, как будто объекта вообще не было. Метаматериал с близким к нулю показателем преломления (ENZ-среда) способен обеспечить прохождение волн через узкие каналы, распространение волн в которых без ENZ-
среды невозможно. Магнонный кристалл – это объект с периодической структурой, который содержит магнито -упорядоченную компоненту. Благодаря ее присутствию, свойствами магнонных кристаллов можно управлять внешним магнитным полем.
Раздел 5. Явление электромагнитной индукции. Переменный ток.
5.1. Переменное электромагнитное поле, элементы, свойства системы.
Закон электромагнитной индукции Фарадея и его значение. Само– и взаимоиндукция. Энергия магнитного поля.
1.ФС - «Электромагнитное поле + замкнутый проводник». Внешний элемент - некоторый источник энергии, способный менять параметры элементов Системы.
Дополнения в модели ФС.
1.На начальном этапе полагаем, что магнитное поле статическое, но поток вектора магнитной индукции через некоторую площадь есть функция времени.
2.Проводник может приводиться в механическое движение внешним источником.
3.В системе отсчёта, связанной с движущимся проводником возникает электрическое поле особой структуры, не имеющая заряды своим источником (гипотеза Максвелла).
Это первый шаг к анализу динамического электромагнитного поля.
Проводник, источник механической энергии.
1.Тип и характеристики проводника и источника принципиального значения не имеют. Первый служит для технической фиксации возникающего упорядоченного движения зарядов (тока). Второй меняет поток вектора индукции.
Электромагнитная индукция – это явление возникновения электрического тока в замкнутом проводнике при изменении потока вектора магнитной индукции через площадь, ограниченную контуром этого проводника. Закон электромагнитной индукции даёт количественную характеристику явления:
где
Правило Ленца: индукционные ток имеет такое направление, что своим магнитным полем препятствует изменению магнитного поля, породившего этот ток. То есть если, например, магнитное поле
возрастает, то магнитное поле возникающего тока, препятствует его возрастанию. И наоборот.
Механизм явления
Изменение потока
1)Можно сделать, чтобы магнитное поле изменялось во времени 
2)Можно менять площадь
3) можно ме6нять угол |
, Тогда |
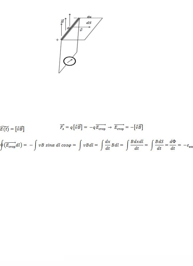
Пусть замкнутый на гальванометр проводник движется внешней силой с постоянной скоростью
ν. Площадь dS=dlvdt=S(t)
1). Когда
, dS=0, а движение электронов хаотично, то и сила Лоренца не может создать направленного движения,
.
1)Если внешняя сила приводит проводник в движение (
), dS(t) и на каждый заряд q действует сила Лоренца
, которая смещает заряды вдоль проводника. На концах
проводника возникает разность потенциалов и во внешней цепи –электрический ток. Казалось бы, что силы магнитного поля разделяют заряды и выступают в роли сторонних сил.
Но сила Лоренца не может совершать работу над зарядом, то есть не может быть сторонней силой. Максвелл предположил, что в системе отсчета, связанной с движущимся проводником, изменяющееся магнитное поле порождает изменяющееся электрическое поле:
. |
Тогда |
Найдем работу сторонней |
силы по замкнутому пути:
Здесь
т.к.
и
;
–угол между 
По определению
.
Таким образом, механизм получения ЭДС индукции представляется по Максвеллу в следующей последовательности: источник механической энергии создаёт некоторую систему отсчёта, в которой магнитное поле является переменной величиной (например, функцией времени). Переменное магнитное поле образует в этой же системе переменное электрическое поле, работа которого по замкнутому пути отлично от нуля. Это и есть ЭСД индукции. Проводник, имеющий в себе свободные заряды, нужен в явлении электромагнитной индукции лишь для наблюдения и количественной оценки результата. Магнитное поле не совершает работы над зарядами, но без него нет и поля вихревого электрического, т.е нет и явления электромагнитной индукции. Магнитное поле выступает в роли катализатора. КОРОТКО: энергия
механического источника посредством ЭЛЕКТРОМАГНИТНОГО поля превращается в энергию электрического тока
Работа механического источника.
Заряд участвует в двух движениях: вдоль проводники и перпендикулярно ему вместе с проводником. Соответственно и силы со стороны электромагнитного поля имеют две составляющие. При этом сила перпендикулярная проводнику направлена против силы механического источника т.е. является тормозящей. Работа механического источника тогда изменяет электромагнитную энергию системы, которая реализуется в виде энергии электрического тока в проводнике точно в эквивалентном количестве..
Самоиндукция, взаимоиндукция. Самоиндукция — это явление возникновения ЭДС индукции (самоиндукции) в проводящем контуре при изменении протекающего через контур тока.
Установлено, что
, тогда
– коэффициент самоиндукции, индуктивность. По определению
. Применяя правило Кирхгофа к замкнутому проводнику во внешнем магнитном поле, получим: