Для описания «Электромагнитного поля» используем свойства и параметры, введённые в
предыдущем разделе.
Для подсистемы «Вещество», воспользуемся как классическими, так и некоторыми квантовомеханическими представлениями:
все вещества состоят из атомов и молекул, находящихся в непрерывном хаотичном движении и взаимодействующих между собой с силами притяжения и отталкивания электромагнитной природы;
в зависимости от внешних условий и внутренних сил взаимодействия, вещество может находиться в трёх агрегатных состояниях;
атом вещества представляет собой систему заряженных частиц (частей): протоны, нейтроны, электроны, (или ядро-электроны);
движущиеся заряды испытывают воздействие внешнего как электрического, так и магнитного полей;
движущиеся заряды порождают собственные электрические и магнитные поля, которые по принципу суперпозиции изменяют внешнее электромагнитное поле.
2. Модель системы.
Разделим исследование системы «Электромагнитное поле – Вещество» на две части: «Электростатическое поле–Вещество» и «Магнитостатическое поле –Вещество».
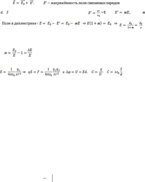
Предположим, что электроны в атоме вещества занимают дискретные значения энергии (постулаты Н. Бора, распределение Ферми-Дирака). С точки зрения квантовой теории это означает, что электроны в веществе могут занимать состояния с энергией от минимальных (внутри атома) до максимальных, при которых они теряют связь с конкретным атомом. Такие электроны называют «свободными». Кроме того, в некоторых веществах существуют значения энергии, которые не могут иметь электроны внутри атома. Эти значения энергии называют «запрещенными». Если на оси энергий отмечать значений энергий всех электронов от самых близких к ядру до свободных, то получим три зоны, условно называемых: зона энергий валентных электронов, зона запрещённых энергий, зона энергий свободных электронов. Обычно их называют: Валентная зона; Запрещённая, Зона проводимости. Волновыми свойствами частиц пренебрегаем.
.В основу классификации веществ по способности зарядов перемещаться в веществе были предложены многие критерии: время «удержания» зарядов на поверхности, скорость «течения» от одной точки до другой и т.п. Примем современную теорию проводимости вещества –зонную теорию
Анализ модели.
2.1. Классификация веществ по энергетическому спектру электронов. Зонная теория проводимости.
Энергетические уровни электронов в атоме вещества образуют энергетический спектр, в зависимости от вида этого спектра, вещества подразделяют на проводники (например, металлы), диэлектрики и полупроводники (их проводимость зависит от температуры – с ее повышением они обретают свойства проводников, при приближении к абсолютному нулю - диэлектриков).
.
|
|
|
|
|
|
|
|
|
|
|
|
|
Зона |
|
|
|
|
|
|
|
|
|
|
|
|
|
|
|
|
|
|
|
|||
|
|
|
|
|
|
|
|
|
|
|
|
|
|
|
|
Зона проводимости |
|
|
|
|
|
|
|
|
||
|
|
|
|
|
|
|
||
Зона проводимости |
|
|
Запрещенная зона |
|||||
|
|
|
|
|
||||
|
|
|
|
|
|
|
||
|
|
|
|
|
|
|
||
|
|
|
|
|
|
|
||
|
|
|
|
|
|
|
|
|
|
|
|
|
|
|
|
Валентная зона |
|
|
|
|
|
Валентная зона |
|
|
||
|
|
|
|
|
|
|||
|
|
|
|
|
|
|||
Валентная зона |
|
|
|
|
||||
|
|
|
|
|
|
|||
|
|
|
|
|
|
|
|
|
|
|
|
|
|
|
|
|
|
|
|
|
|
|
|
|
|
|
Это, соответственно, спектры энергий проводников (или проводников первого рода), диэлектриков и полупроводников (комментировать).
2.2. Проводники в электростатическом поле. Условия равновесия зарядов на проводнике. Электроемкость. Конденсаторы.
Дополнения к физической модели.
полагаем, что свободных электронов в проводнике достаточно много (бесконечно много).
на первом этапе внешнее электрическое поле
проникает в вещество;
|
пренебрегаем хаотичным движением электронов. |
|
|
|
|
|
|
|
|
|
|
|
|
|
|
|
|
|
|
|
|
|
|
|
|
|
|
|
|
|
|
|
|
|
|
|
|
|
|
|
|
||||||
Поместим проводник в электростатическое поле. В |
|
|
|
|
|
|
|
|
|
|
|
|
|
|
|
|
|
|
|
|
|
|
|
|
|
|
|
|
|
|
|
|
|
|
|
|
|
|
|
|
|
||||||
результате |
действия сил электростатического поля, |
|
|
|
|
|
|
|
|
|
|
|
|
|
|
|
|
|
|
|
|
|
|
|
|
|
|
|
|
|
|
|
|
|
|
|
|
|
|
|
|
|
|||||
свободные |
|
электроны |
сместятся |
против |
вектора |
|
|
|
|
|
|
|
|
|
|
|
|
|
|
|
|
|
|
|
|
|
|
|
|
|
|
|
|
|
|
|
|
|
|
|
|
|
|
|
|
||
напряжённости |
|
|
|
|
|
|
|
|
|
|
|
|
|
|
|
|
|
|
|
|
|
|
|
|
|
|
|
|
|
|
|
|
|
|
|
|
|
|
|
|
|
|
|
||||
(e |
В результате перераспределения заряда в проводнике, |
|
|
|
|
|
|
|
|
|
|
|
|
|
|
|
|
|
|
|
|
|
|
|
|
|
|
|
|
|
|
|
|
|
|
|
|
|
|
|
|
||||||
образуется собственное электростатическое поле |
|
|
|
|
|
|
|
|
|
|
|
|
|
|
|
|
|
|
|
|
|
|
|
|
|
|
|
|
|
|
|
|
|
|
|
|
|
|
|
|
|
||||||
Результирующее поле внутри примет вид: |
|
|
|
|
|
|
|
|
|
|
|
|
|
|
|
|
|
|
|
|
|
|
|
|
|
|
|
|
|
|
|
|
|
|
|
|
|
|
|
|
|
|
|||||
Для равновесия внутри проводника необходимы два условия: |
|
|
|
|
|
|
|
|
|
|
|
|
|
|
|
|
|
|
|
|
|
|
|
|
|
|
|
|
|
|
|
|
|
|
|
|
|
|
|
|
|||||||
|
|
|
|
|
|
|
|
|
|
|
|
|
|
|
|
|
|
|
|
|
|
|
|
|
|
|
|
|
|
|
|
|
|
|
|
|
|
|
|
||||||||
1) |
|
|
|
|
|
|
|
|
|
|
|
|
|
|
|
|
|
|
|
|
|
|
|
|
|
|
|
|
|
|
|
|
|
|
|
|
|
|
|
|
|
|
|
|
|
|
|
2) |
|
|
, то есть потенциал внутри постоянен: |
|
|
|
|
|
|
|
|
|
|
|
|
|
|
|
|
|
|
|
|
|
|
|
|
|
|
|
|
|
|
|
|
|
|
|
|
|
|
|
|
||||
Вне тела и вдоль поверхности проводника (r) будет равновесие, если будет |
|||||||||||||||||||||||||||||||||||||||||||||||
выполняться следующее условие |
|
, то |
|
|
|
|
|
|
|
|
|
|
|
|
|
|
|
|
|
|
|
|
|
|
|
|
|
|
|
|
|
|
|
|
|
|
|
|
|
|
|
|
|||||
есть |
|
|
|
Таким образом, чтобы заряд находился |
|
|
|
|
|
|
|
|
|
|
|
|
|
|
|
|
|
|
|
|
|
|
|
|
|
|
|
|
|
|
|
|
|
|
|
|
|
|
|
|
|||
в равновесии, необходимо: |
|
|
|
|
|
|
|
|
|
|
|
|
|
|
|
|
|
|
|
|
|
|
|
|
|
|
|
|
|
|
|
|
|
|
|
|
|
|
|
|
|
|
|
||||
|
|
|
|
|
|
|
|
|
|
|
|
|
|
|
|
|
|
|
|
|
|
|
|
|
|
|
|
|
|
|
|
|
|
|
|
|
|
|
|
|
|
|
|||||
1) |
|
-напряжённость поля внутри проводника; |
|
|
|
|
|
|
|
|
|
|
|
|
|
|
|
|
|
|
|
|
|
|
|
|
|
|
|
|
|
|
|
|
|
|
|
|
|
|
|
|
|
||||
|
|
|
|
|
|
|
|
|
|
|
|
|
|
|
|
|
|
|
|
|
|
|
|
|
|
|
|
|
|
|
|
|
|
|
|
|
|
|
|
|
|
||||||
|
|
|
|
|
|
|
|
|
|
|
|
|
|
|
|
|
|
|
|
|
|
|
|
|
|
|
|
|
|
|
|
|
|
|
|||||||||||||
2) внешняя напряженность перпендикулярна поверхности проводника, |
|
|
|
|
|
|
|
|
|
|
|
|
|
|
|
|
|
|
|||||||||||||||||||||||||||||
3) потенциал на поверхности постоянен. |
|
|
|
|
|
|
|
|
|
|
|
|
|
|
|
|
|
|
|
|
|
|
|
|
|
|
|
|
|
|
|
|
|
|
|
|
|
|
|
|
|
|
|||||
|
|
|
|
|
|
|
|
|
|
|
|
|
|
|
|
|
|
|
|
|
|
|
|
|
|
|
|
|
|
|
|
|
|
|
|
|
|
|
|
|
|
||||||
То есть электростатическое поле перераспределяет заряды в |
|
|
|
|
|
|
|
|
|
|
|
|
|
|
|
|
|
|
|
|
|
|
|
|
|
|
|
|
|
|
|
|
|
|
|
|
|
|
|
|
|||||||
проводнике так, что его поверхность становится эквипотенциальной. |
|
|
|
|
|
|
|
|
|
|
|
|
|
|
|
|
|
|
|
|
|
|
|
|
|
|
|
|
|
|
|
|
|
|
|
|
|
|
|
|
|||||||
Внешнее поле и поле внутреннее также меняется и их силовые линии |
|
|
|
|
|
|
|
|
|
|
|
|
|
|
|
|
|
|
|
|
|
|
|
|
|
|
|
|
|
|
|
|
|
|
|
|
|
|
|
|
|||||||
становятся перпендикулярны поверхности проводника. |
|
|
|
|
|
|
|
|
|
|
|
|
|
|
|
|
|
|
|
|
|
|
|
|
|
|
|
|
|
|
|
|
|
|
|
|
|
|
|
|
|||||||
Все вышеперечисленные рассуждения относились к |
|
|
|
|
|
|
|
|
|
|
|
|
|
|
|
|
|
|
|
|
|
|
|
|
|
|
|
|
|
|
|
|
|
|
|
|
|
|
|
|
|
||||||
нейтральному (не заряженному) проводнику (суммарный заряд в |
|
|
|
|
|
|
|
|
|
|
|
|
|
|
|
|
|
|
|
|
|
|
|
|
|
|
|
|
|
|
|
|
|
|
|
|
|
|
|
|
|||||||
проводнике был равен нулю). Теперь возьмем проводник |
|
|
|
|
|
|
|
|
|
|
|
|
|
|
|
|
|
|
|
|
|
|
|
|
|
|
|
|
|
|
|
|
|
|
|
|
|
|
|
|
|||||||
и начнем его заряжать. Возникает электростатическое поле, которому |
|
|
|
|
|
|
|
|
|
|
|
|
|
|
|
|
|
|
|
|
|
|
|
|
|
|
|
|
|
|
|
|
|
|
|
|
|
|
|
|
|||||||
|
можно поставить в соответствие напряженность и потенциал. |
|
|
|
|
|
|
|
|
|
|
|
|
|
|
|
|
|
|
|
|
|
|
|
|
|
|
|
|
|
|
|
|
|
|
|
|
|
|
|
|
||||||
|
|
|
|
Чем больше заряд, вносимый в проводник, тем больше его потенциал, то есть имеется |
|||||||||||||||||||||||||||||||||||||||||||
|
|
|
|
прямо пропорциональная зависимость между этими двумя величинами: |
|||||||||||||||||||||||||||||||||||||||||||
|
|
|
|
причем коэффициент пропорциональности |
не зависит ни от потенциала, ни от |
||||||||||||||||||||||||||||||||||||||||||
|
|
|
|
материала проводника, а зависит лишь от размеров и формы проводника. Этот |
|||||||||||||||||||||||||||||||||||||||||||
|
|
|
|
коэффициент – электроемкость (емкость) уединенного проводника: |
|||||||||||||||||||||||||||||||||||||||||||
=
Возникает естественный вопрос: как повысить емкость проводника? Это можно сделать (при постоянном заряде) за счет уменьшения потенциала, то есть уменьшения работы по переносу заряда. Вспомним пример с двумя бесконечными разноименно заряженными пластинами. Если мы возьмем положительно заряженную пластину (проводник), то у нее будет один потенциал, но если мы поместим рядом с ней пластину с тем же зарядом по величине, но противоположным по знаку, то потенциал поля вне промежутка между пластинами станет меньше (в идеале равен нулю). Таким образом, система из разноименно заряженных проводников – конденсатор. Тогда емкость плоского конденсатора можно будет посчитать по формуле:
где
– напряжение,
– расстояние между пластинами конденсатора.
Энергия электрического поля.
Рассмотрим работу в механическом смысле: |
. |
|
|
|
||
Затем возьмем маленький заряд |
и будем его переносить от |
к |
. |
|
||
В процессе переноса напряжение меняется следующим образом: |
|
|
|
|||
Запишем соотношение: |
|
|
. Отсюда получим |
|
||
|
|
(значение возьмем по модулю, так как знак нас не интересует). |
||||
Или, если подставить в соотношение |
не |
, а , то получим: |
|
. |
|
|
Таким образом, можем получить ещё одну формулу: |
|
|
|
|||
Обобщим полученный результат на любые поля. Возьмем |
|
и |
. Так как мы имеем дело с |
|||
однородным полем, то |
с точностью до знака. |
|
|
|
||
Тогда получим: |
|
, где |
- это объем, занимаемый полем. Теперь мы можем ввести |
|||
плотность энергии |
. |
|
|
|
|
|
Если ввести понятие некоторой плотности как функции координат, то 
Отсюда, мы можем получить энергию следующим образом: 
С помощью этого метода можно найти энергию любого поля.
2.3. Диэлектрики в электростатическом поле. Поляризация молекул. Диэлектрическая проницаемость вещества. Дополнения к физической модели.
Молекулы диэлектрика делятся на полярные, неполярные и ионные Рассмотрим полярные и неполярные молекулы более внимательно: 1. Полярные молекулы образуют систему разноимённых зарядов:
Такая система называется диполь. Этой системе соответствует дипольный момент: 
Примером может служить H2O.
2.Неполярные молекулы Если внесем в электростатическое поле
неполярную молекулу,
то разноимённые заряды сместятся в разные стороны - получим упругий диполь. В неполярном диполе
, ( Е-напряжённость поля,
где находится диполь).
где – коэффициент поляризуемости.
Для того, чтобы охарактеризовать поляризацию не одной молекулы, а вещества, вводится вектор поляризации: 
Напряжённость поля внутри диэлектрика по принципу суперпозиции |
|
|
|
равна: : |
, где |
|
. |
Для простоты возьмём диэлектрик в виде плоскопараллельной пластины с размерами |
|||
и . Тогда поле, образованное связанными зарядами. |
, или |
здесь |
|
диэлектрическая восприимчивость вещества.
В данном соотношении
– диэлектрическая проницаемость вещества. Она
показывает во сколько раз напряжённость электростатического поля в вакууме больше, чем в диэлектрике. Диэлектрическая восприимчивость тогда характеризует относительное изменение поля в диэлектрике
Возьмем плоский конденсатор и заполним промежуток между пластинами диэлектриком с проницаемостью
. Тогда напряжённость поля
взаимодействия зарядов диэлектрике и разность потенциалов уменьшилась в
раз. Емкость конденсатора увеличивается во столько же раз.
2.4. Полупроводники. Собственная и примесная проводимость Дополнения к физической модели:
атомы кристаллических полупроводников связаны ковалентными связями, при которых валентные электроны становятся общими для соседних атомов;
при температурах близких к абсолютному нулю в п/п нет свободных электронов;
при возрастании температуры энергия (всех) электронов растет. Валентные электроны могут покинуть атом, в результате растет число свободных электронов и их энергия;
априори можно утверждать, что главным свойством п/п является рост проводимости с температурой и с уменьшением ширины запрещенной зоны,
Укристаллов полупроводников ширина запрещенной зоны между полностью заполненной (валентной) и пустой (свободной) зонами при абсолютном нуле температуры существенно меньше, чем у диэлектриков. Например, у кремния эта величина составляет около 0,7 эВ, у германия – примерно 1,1 эВ, а у бинарного раствора GaAs – около 1,5 эВ. При повышении температуры такого кристалла наиболее «горячие» электроны заполненной (валентной) зоны могут преодолеть запрещенную зону и переместиться по энергетической шкале в свободную зону – зону проводимости.
Среднее значение энергии теплового движения электронов при комнатной температуре составляет примерно 0,04 эВ:
3 |
kT |
|
2 |
||
|
T 300 K |
0,624 10 |
20 |
Дж |
|
|||
|
|
|
0,039
эВ
.
Но распределение электронов по энергиям неравномерно. Некоторые электроны могут обладать энергией, существенно большей указанного среднего значения. Такие электроны способны преодолеть запрещенную зону с шириной 0,7…1,5 эВ и оказаться в свободной зоне. Чем выше температура кристалла, тем больше электронов переходит из валентной в свободную зону.
При наложении на полупроводник внешнего электрического поля попавшие в свободную зону электроны имеют возможность приобрести добавочную кинетическую энергию и двигаться упорядоченно, то есть обеспечить электропроводность химически чистого полупроводника. Поэтому такую энергетическую зону называют зоной проводимости. Но в валентной зоне теперь образовались вакансии – пустые места от ушедших в зону проводимости электронов. В силу того что электрон – достаточно свободная частица, вакансии могут быть заняты соседними валентными электронами, что можно трактовать как движение вакансий. Очевидно, что в химически чистом полупроводнике число вакансий должно равняться числу электронов, покинувших валентную зону и попавших в зону проводимости. Для
удобства математического описания процесс токопереноса электронами валентной зоны, «дырки» моделируют с помощью движения вакансий, то есть введением условной частицы, несущей положительный заряд (+е), – «дырки». Таким образом, условно принимается, что в полупроводниках есть два носителя электричества – электроны в зоне проводимости и дырки в валентной зоне, а проводимость полупроводников подразделяют на электронную (проводимость n-типа) и дырочную (проводимость р-
типа). Химически чистые полупроводники называют собственными полупроводниками, а их
способность проводить электрический ток – собственной проводимостью полупроводника.
С ростом температуры (до определенного предела) концентрации электронов проводимости и дырок в собственных полупроводниках очевидно растет. Поэтому и электропроводность собственных полупроводников растет с ростом температуры.
Вклады в электропроводность полупроводников электронов зоны проводимости и дырок различны, в первую очередь, из-за их различного энергетического состояния. Электрон проводимости может достаточно свободно двигаться по решетке, а дырка способна перемещаться только последовательно от узла к узлу, дожидаясь, когда очередной электрон валентной зоны займет вакантное место.
Ge |
Ge |
Ge |
Ge
Возникает вопрос: а как можно повысить количество свободных электронов и дырок или того или другого в полупроводнике? Из приближённой формулы для концентрации носителей следует, чтобы повысить электропроводность, необходимо:
1)Повысить температуру: одна проблема: нельзя повышать температуру бесконечно, это технически дорого
аиногда и невозможно.
2)Уменьшить
(этот параметр постоянен для конкретного материала – но можно ввести примесь)
Атомы примеси должны быть:
1)Они должны занимать место на энергетических уровнях ближе к зоне проводимости исходного вещества. Тогда увеличится
, но хотелось бы при этом, чтобы было меньше дырок.
2)Валентность примеси должна быть больше собственной валентности, тогда получим без дырочный переход электронов в зону проводимости.
|
|
|
|
|
|
|
|
|
|
|
|
|
|
Например, к четырех валентному германию |
|
|
|
|
|
|
|
|
|
|
|
|
|
|
добавить примесь пяти валентного фосфора: |
|
|
|
|
|
|
|
|
|
|
|
|
|
|
|
|
|
|
|
|
|
|
|
|
|
|
|
|
У фосфора валентность больше, поэтому образуется |
|
|
|
|
|
|
|
|
|
|
|
|
|
|
||
Ge |
|
|
|
P |
|
|
один не занятый связью с германием электрон .Если |
|||||||
|
|
|||||||||||||
|
|
|
|
|
|
|
|
|
|
|
|
|
выполняются оба условия, упомянутые выше, то |
|
|
|
|
|
|
|
|
|
|
|
|
|
|
||
|
|
|
|
|
|
|
|
|
|
|
|
|
тогда |
– получили полупроводник n-типа, в |
|
|
|
|
|
|
|
|
|
|
|
|
|
||
|
|
|
|
|
|
|
|
|
|
|
|
|
|
|
котором основными носителями заряда являются электроны.
Такая примесь называется донорной.
Если разрешенные уровни примеси ближе к валентной зоне собственного полупроводника и при этом валентность примеси меньше, то примесь забирает электроны из
валентной зоны основного полупроводника и там образуются дырки.