Эта примесь называется акцепторной.
Ge
In Основные носители заряда в этом проводнике – валентные электроны, то 


есть «дырки» есть производная от перехода валентных электронов от атома к атому.
В модели это эквивалентно движению положительного заряда в обратном направлении.
Так получается полупроводник p-типа.
Связи нет, следовательно, образуется «дырка»
Есть две величины, характеризующие, соответственно, заряд и ток в проводнике:
1)Плотность заряда: 
2)Плотность тока:
= 
Здесь n,q,v
-электропроводность
полупроводника.
Введение новых параметров для системы «Электрическое поле - Вещество» характеризует новые свойства рассматриваемой системы - способность перемещать заряда силами электростатического поля.– Упорядоченное движение зарядов называют «Электрический ток»
Раздел 3. Постоянный электрический ток.
3.1. Ток проводимости, наведённый ток Основные параметры тока и элементов электрической цепи. Законы Ома, Джоуля-Ленца. Сверхпроводимость.
Дополнения к рассматриваемой модели системы «Электростатическое поле–Вещество» касаются в основном параметров зарядов и проводящих цепей.
Токи. По определению-это упорядоченное движение зарядов. Для токов не обязательно наличие проводников. Например, поток электронов в вакууме также образуют ток. Различают:
1.Ток проводимости
. Это направленное движение реальных зарядов от источника по цепи (каналу) к потребителю.
2.Наведенный ток – это механизм преобразования энергии
источника в энергию токов или электромагнитных колебаний во внешней цепи.
Пусть заряд
от некоторого источника влетает в пространства,
ограниченное двумя металлическими поверхностями (сетками).
Известно, что заряд наводит на металлической поверхности заряды противоположного знака. Поле двойного заряженного слоя 
Тогда во внешней цепи только за счет наведенных зарядов возникает разность потенциалов, а в следствие этого возникает ток, называемый наведенным. В отличии от тока проводимости, заряд
при этом не обязательно должен попасть в цепь наведённых токов.
Условия возникновения тока:
1)Нужны носители тока, то есть заряды (свободные или почти свободные).
В проводниках первого рода (металлах)-это свободные электроны. В полупроводниках-электроны и «дырки» (валентные электроны). В электролитахионы. В плазме-свободные электроны и положительные ионы и т.д.
2)Надо нарушить равновесие заряда в проводящей среде (либо
, либо
)
Если на заряд действует сила, то заряд должен двигаться с ускорением, но они двигаются с равномерной скоростью. Можно сделать вывод, что движение зарядов происходит в среде с сопротивлением. Классическая электронная теория проводимости связывает сопротивление с столкновениями электронов проводимости с узлами кристаллической решетки проводника Параметры тока:
1)Сила тока (ток):
2)Плотность тока: . Плотность тока имеет смысл в точке (скорость зависит от
выбора точки пространства)
.
1 |
2 |
Если сила тока не меняется ни по величине, ни по направлению с течением времени, то ток – постоянный
Если потенциал точки |
больше , то напряженность |
направлена от1 к 2 как во внешней, так и во внутренней цепи источника. Положительные заряды во внешней цепи, приходя в т.2, повышают её потенциал. Разность потенциалов меняется, сила тока тоже.
Как не допустить возрастания потенциала? Необходимо из точки 2 в точку 1 внутри источника перемещать положительные заряды, то есть переносить их против электростатического поля. Участок цепи, на котором перенос зарядок происходит против электростатического поля – источник (перенос осуществляется благодаря сторонним силам).
3). Физическая величина, численно равная работе сторонней силы по переносу единичного положительного заряда внутри источника – электродвижущая сила (ЭДС): 
Законы Ома
R
Рассмотрим следующую схему:
- закон Ома для однородного участка цепи
1) |
– закон Ома для неоднородной цепи |
|
|
|
|
|
|
||||
|
|
|
|
|
|
2)– закон Ома для замкнутой цепи
В общем случае:
. Закон Ома можно записать в
дифференциальной форме
-= заряду, проходимому в единицу времени через единичное сечение проводники. Если заряды разных знаков и имеют разные параметры,
то |
. |
Но дрейфовая скорость заряда пропорциональна |
напряженности электрического поля
. Здесь
подвижность носителя заряда.
- применим для расчёта токов в случаях неравномерного распределения по сечению проводника
Закон Джоуля-Ленца
Если в проводнике устанавливается равновесие, то работа электрического тока должна быть равна потерям энергии на этом участке цепи. Тогда мы получаем закон Джоуля-Ленца:
.
Этот закон сохранения энергии при прохождения тока по проводнику.. Закон Джоуля-Ленца может быть записан в диф. форме ω = j • E = ϭ E²,
где ω — количество тепла, выделяемого в ед. объема;
E и j – напряжённость и плотность, соответственно, электрического полей; σ — проводимость среды.
Другие формы:
=
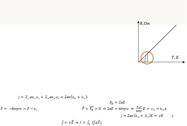
/ Сопротивление различных
материалов зависит от его температуры. Некоторые вещества обладают свойством «сверхпроводимости».
На графики зависимости сопротивления от температуры показано явление сверхпроводимости, то есть резкого падения сопротивления при низкой температуре, это чисто квантовый эффект.
3.2.Электрический ток в электролитах и газах. Закон электролиза Фарадея.
Электролиты – это вещества, расплавы или растворы, которые проводят электрический ток вследствие диссоциации на ионы, однако сами вещества не проводят электрический ток .Пример:
.Валентность
– заряд иона. Положительный заряд иона -
, отрицательный заряд иона -
.Плотность тока
. Если возьмем электролиты, то
получим: |
Направленная скорость |
электрона |
имеет порядок |
несколько |
||
миллиметров в секунду. На электрон действует |
сила Кулона: |
(1).А также |
вспомним |
закон |
Стокса: |
|
(2).Из (1) и (2) следует, что |
|
|
|
. Это скорость в |
||
поле единичной напряженности. Теперь получим закон Ома для электролитов: |
|
, |
где |
– |
удельная |
|
электропроводность электролитов. Тогда |
|
|
|
|
|
|
Закон Фарадея (закон электролиза)
Заряд:
, а масса переносимого вещества:
Тогда
Получим закон
Фарадея:
Ток в газах. Газы не могут проводить электрический ток, но он становится проводим, если газ ионизировать. Ток в газах – это направленное движение положительных ионов и отрицательных электронов. При определенной концентрации ионов и электронов вещество переходит в состояние плазмы (например, шаровая молния). Различают низкотемпературную плазму (~10000) и высокотемпературную плазму (>60000).
Раздел 4. Магнитное поле.
ФС «Электромагнитное поле». Как отмечалось выше, ФС «Электромагнитное поле» в предположении что параметры состояния поля являются функциями только координат:
(
) и
(
может быть представлено в виде двух подсистем: статическое электрическое поле зарядов и статическое магнитное поле токов.
4.1. Свойства магнитного поля. Вектор магнитной индукции. Закон Ампера. Сила Лоренца. Закон Био-Савара-Лапласа.
Магнитостатическое поле, как и электрическое, не поддается определению через составляющие его элементы. Поэтому опишем его свойства:
1)Это особое состояние материи, способное полностью заполнять пространство и проникать в другие поля и вещества.
2)Магнитное поле действует ориентирующе на магнитную стрелку.
3)Магнитное поле действует ориентирующе на замкнутый ток (рамка, виток).
4)Магнитное поле действует с некоторой силой на линейный ток.
5)Магнитное поле действует с некоторой силой на движущийся заряд.
Для общности, отметим некоторые свойства динамического магнитного поля:
6)Изменяющееся во времени магнитное поле создает электрическое поле.
7). Установлено, что магнитное поле обнаруживается вблизи токов, движущихся зарядов и в пространстве, изменяющегося во времени электрического поля Параметр магнитного поля должен носить векторный характер (в силу свойств поля). Назовем этот параметр
вектором магнитной индукции -
.
За направление
принимается направление магнитной стрелки в данной точке поля от южного конца к северному.
Чтобы определить численное, значение
, воспользуемся третьим свойством.
На изображенный виток |
в магнитном поле действует некоторый |
механический момент |
|
Замкнутый ток |
принято характеризовать |
магнитным моментом: : |
. Экспериментально установлено, что отношение механического момента к |
|
магнитному |
|
|
характеристику (модуль) индукции
=
Полученное определение модуля вектора индукции не лишено недостатков. Прежде всего оно не точно определяет индукцию в точке поля, а некоторое его среднее значение по площади витка. Более точное
определение можно получить из действия поля на линейный ток. |
|
|
|
||
Сила Ампера. Как установил Ампер, магнитное поле действует на элемент |
тока длины |
с |
|||
силой |
. Здесь α угол между вектором индукции и направлением течения тока. В качестве |
||||
коэффициента пропорциональности можно взять модуль вектора индукции. |
. Для |
более |
|||
точного определения индукции магнитного поля , возьмём малый элемент тока |
расположив его |
||||
перпендикулярно |
к |
вектору |
индукции: |
||
Закон Ампера в векторной форме имеет вид:
-индукция магнитного поля численно равна силе, действующей на
единичный элемент тока, помещённого в поле, перпендикулярно вектору индукции.
Сила Ампера перпендикулярна плоскости В,l Если 
Если взять рамку с током, то силы Ампера создадут момент сил и рамка начинает поворачиваться в магнитном поле. Если установить по кругу несколько витков, то они поочерёдно будут поворачиваться. На этом принципе устроены электродвигатели.
|
Сила Лоренца |
Подставим
– сила Лоренца. 
Сила Лоренца перпендикулярна скорости и вектору индукции (из свойств векторного произведения).
Тогда:
. Сила Лоренца не может совершить работу над зарядом, она может лишь изменить направление вектора его скорости.
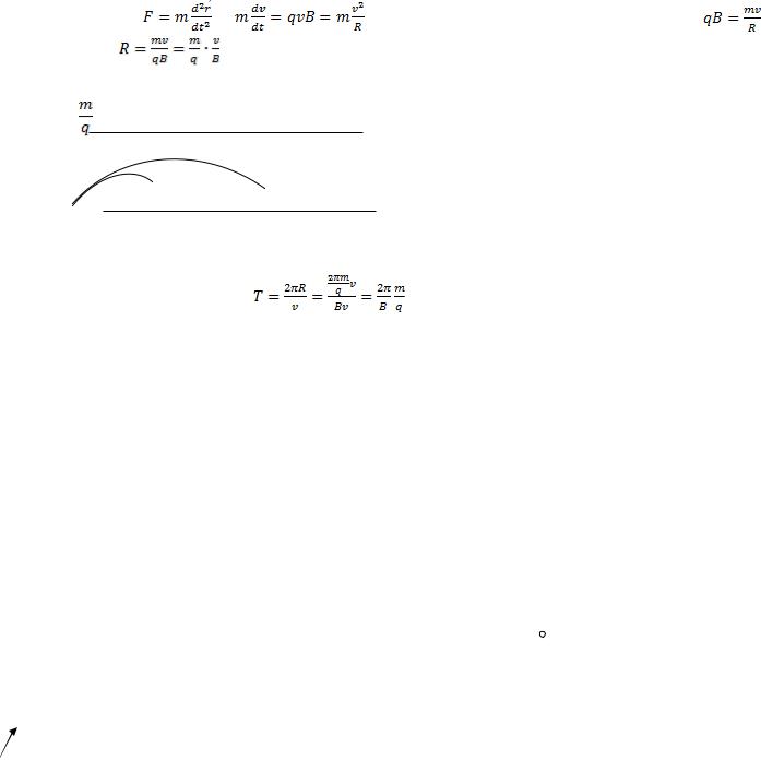
Пусть в постоянное поле с индукцией
влетает частица с массой
и зарядом 
Тогда: |
(так как ускорение только нормальное), Отсюда |
1) |
– на основе этого соотношения работают масс-спектрометры (в них поток частиц |
«сортируется» в зависимости от их массы, радиус их движения зависит от соотношения
)
2) |
- период обращения заряда по окружности не зависит от |
|
скорости влета. |
3)Из закона Лоренца можно получить самое точное определение модуля вектора индукции магнитного поля
– численно равен силе, действующей на единичный заряд, влетающий с единичной скоростью перпендикулярно вектору индукции.
Закон Био-Савара-Лапласа: Устанавливает связь магнитного поля с источником-током.
Закон Био – Савара – Лапласа был получен экспериментально Жаном Батистом Био и Феликсом Саваром в 1820 году. Лаплас придал ему математическую формулировку в виде количественной связи между индукцией магнитного поля в некоторой точке пространства и порождающим ее элементом тока.
Био и Савар экспериментально исследовали магнитные поля, порождаемые токами, текущими по тонким проводникам различной формы. Полученный ими экспериментальный материал теоретически анализировал Лаплас. В основе анализа лежал принцип суперпозиции. Лаплас считал, что в каждом случае
Био и Савар наблюдали поле, образованное всеми элементами конкретного проводника с током, то есть |
|
||
|
|
|
|
В |
dB |
(7.7) |
|
|
|
, |
|
|
L |
|
|
где |
dB – индукция магнитного поля, создаваемого в данной точке пространства элементом |
контура L с током J.
dl замкнутого
Витоге Лаплас нашел формулу, связывающую dB и Jdl , такую, что после их подстановки в (7.7) и
интегрирования получались результаты, совпадающие с опытными данными Био и Савара. Эта формула и получила название закона Био – Савара – Лапласа. В СИ закон Био – Савара –Лапласа имеет вид: